
龙年伊始,有三个小伙子,同时爱上了一个姑娘。
为了娶到这个姑娘,他们决定:
用手枪,进行一次决斗。
阿武的命中率是30%,小胡的命中率是50%,而老郭是神枪手,他从不失误,命中率是100%。
为了公平一些,姑娘让他们按这样的顺序决斗:
阿武先开枪,小胡第二,老郭最后。
然后不断循环,直到,只剩下一个人。
那么,这三个人中,谁最有可能活下来,娶到姑娘呢?


血战到底


忽略这诡异的血战到底的设定,不难发现,这是一道很有意思的概率推理题。
别急,我们慢慢来捋一捋思路:
首先,阿武作为第一个开枪的人,他肯定不会去打小胡,因为如果小胡不幸中弹身亡,接下来老郭就会开枪打自己,那自己必死无疑。
所以,阿武肯定会选择先开枪打老郭。
其次,如果老郭能活到开枪的时候,并且这时候阿武和小胡都还没死,那老郭肯定会选择先把命中率更高的小胡打死;
所以,小胡肯定会希望老郭活不到开枪的时候,因此小胡也会选择先打老郭。
确定这两点以后,我们就可以开始分类讨论了:

首先,我们来看看神枪手老郭获胜的概率,根据上面的思维导图,只有一种情况下,老郭能够获胜:
阿武和小胡都没打中老郭,老郭先开枪命中了小胡,然后阿武又没打中老郭,老郭又开枪命中了阿武,这样,老郭的获胜概率就是:
70%*50%*70%=24.5%
接下来,我们来看看阿武获胜的概率:
①:阿武和小胡打老郭都没打中,小胡被老郭打中,然后老郭被阿武打中,这时候阿武胜,概率是:70%*50%*30%=10.5%;
接下来的情况,最后都是只剩下阿武和小胡两个人对决,由于他们都不是百发百中的神枪手,所以问题进入了不断循环:

如果彼此都一直打不中对方,他们俩可以相互开枪,一直到地老天荒....
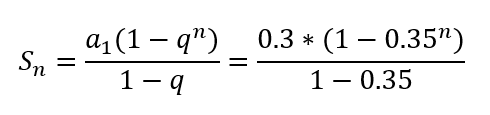
因此,如果单算只剩阿武和小胡两个人后,阿武向小胡开枪,最后阿武获胜的概率:
30%+70%*50%*30%+70%*50%*70%*50%*30%+....+
不难发现,这就是一个等比数列的求和,最后整个概率总和就是:





当n趋于无穷的时候,整个值的极限就是46.2%;
这时候,我们再考虑上前提条件,老郭提前出局,轮到阿武先向小胡开枪,一共有两种情况:
①:阿武打中老郭,小胡没打中阿武,最后阿武和小胡循环交战,阿武胜的概率是:30%*50%*46.2%=6.9%
②:阿武没打中老郭,小胡打中了老郭,然后又开始阿武和小胡的循环交战,于是阿武胜的概率是:70%*50%*46.2%=16.2%
所以,阿武获胜的总概率就是三种情况相加:
10.5%+6.9%+16.2%=33.6%
最后,我们来看看小胡获胜的概率,理论上我们用100%减去阿武和老郭的获胜概率,那就应该是小胡的获胜概率,但万一我们上面算错了呢?
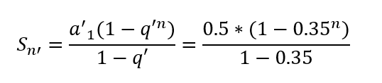
保险起见,我们还是来具体算一下,思路和阿武的类似,假设小胡先开枪打阿武,最后小胡胜:





当n趋于无穷的时候,整个值的极限就是76.9%;
最后会变成小胡向阿武开枪,进入循环对战的情况,一共也就两种,概率相加就是:
30%*76.9%+70%*50%*70%*76.9%=41.9%
至此,我们总结一下:
阿武获胜概率是33.6%;
小胡获胜概率是41.9%;
老郭获胜概率是24.5%。
三者相加概率是100%,也侧面验证了,小编应该没有算错?
所以,最有可能活到最后的,并不是神枪手,而是只有50%命中率的小胡。


蓝眼岛问题


假设小胡真的活到了最后,如愿娶到了心爱的姑娘。
他们来到一个岛上,进行蜜月旅行。
这个岛上住着100个人,其中有3个红眼睛,97个蓝眼睛。
对于这100个岛民而言,有三个奇怪的规则约束着他们:



1:他们不能照镜子,不知道自己眼睛的颜色。
2:他们不能告诉别人对方的眼睛是什么颜色。
3:一旦有人确定了自己是红眼睛,他就必须在当天夜里自杀。


这天,小胡在和全岛人一起狂欢的时候,不留神就说了一句话:你们这里有红眼睛的人。
问题来了:
假设这个岛上的人足够聪明,每个人都可以做出缜密的逻辑推理。请问,这个岛上将会发生什么?
这是一道很经典的逻辑推理题。
这种推理都不能泛泛而谈,要从最特殊的视角出发,代入思考,才能最快得到答案。
我们不妨假设红眼睛的三个人分别是A,B,C,那么对于红眼睛C而言,他看到了两个红眼人A和B,他就会这样想:

同样的,红眼人A在等着B和C第二天自杀,红眼人B在等着A和C第二天自杀,结果第二天谁也没自杀。
于是,根据他们缜密的推理逻辑,三个红眼人都会在第三天确认自己也是红眼睛,选择在第三天夜里同时自杀。
所以,正常情况下,故事的结果就是:
第三天夜里,三个红眼人同时自杀。
看上去,小胡说的这句话并没有更多信息。
他没说一共有多少个红眼人,也没说谁是红眼睛,为什么最后红眼人就自杀了呢?
这就涉及到逻辑学中的共有知识和公共知识。
共有知识,是一个群体的每个人都知道的事实,但是不知道其他人是否知道;
公共知识指一个群体的每个人不仅知道这个事实,而且每个人都知道该群体的其他人也知道这个事实,并且其他人也知道其他的每个人都知道这个事实.....
这么说可能比较抽象,举个不是很严谨的例子:
高中的时候,中午最后一节课一般到11点40。
有的时候老师会拖堂,大家都意识到老师拖堂了,但不知道其他同学有没有注意到,不敢提醒老师,又担心食堂没饭吃。
这时候,有个同学提醒道:”老师,已经下课了。"
这下,大家心里就都清楚了,原来其他人也意识到老师拖堂了。
老师拖堂这件事情,就从共有知识,变成了公共知识。
同样的,在这里,岛民都知道岛上有红眼睛的人,但不知道其他人是否知道,这时候,“岛上有红眼睛的人”叫做共有知识。
当小胡把这句话喊出来后,这句话就变成了公共知识,所有人都知道了“岛上有红眼睛的人”,并且也知道了其他人也知道“岛上有红眼睛的人”。
所以,最后,那些红眼睛的人,才会自杀。
这在现实生活中,其实很常见。
一支股票,大家觉得垃圾。有权威机构发文,认定这是垃圾股,大家跟帖讨论也都觉得这是垃圾股,这就会变成公共知识,这支股票就会一路狂跌,没人愿意接盘。
你看了这篇推送,觉得逻辑学真有意思,认为这文章很不错,然后你看到下面的评论也都在这样说,于是,”这是篇优秀的科普文“就成了公共知识,小编就会很快乐!


小试牛刀


刚刚我们分析的这两道题,其实都涉及了分类假设和概率计算。
毋庸置疑,在物理研究中,逻辑思维也是很重要的。
在研究晶体结构和性质的对应关系时,我们需要从晶格、轨道、电荷、自旋等多个角度分类解析;在生长出的材料性能不好时,我们需要从结果倒推可能的原因。甚至,我们从初中物理就开始用到的控制变量法,也蕴含着很典型的逻辑思维。
所以,做一些有趣的逻辑思维题,并不是浪费时间,这能够帮助我们灵活思维,寻找新的科研思路。所以,今天还是中科院物理所(逻辑所)!
这里还有一道很经典的过桥问题(小学奥数题),大家可以在走亲访友嗑瓜子的时候,来思考一下:
春节了,小明一家要去河对岸拜年,需要过一座桥,过桥时是黑夜,所以必须拿着唯一的灯过桥。
已知,小明过桥要1秒,弟弟要3秒,爸爸要6秒,妈妈要8秒,爷爷要12秒。每次过桥最多可过两人,而过桥的速度依过桥最慢者而定,而且灯在点燃后30秒就会熄灭,并且不能再点燃。
问:小明一家过桥,至少需要多长时间?
欢迎在评论区留下你的答案!
祝大家新年新气象,逻辑推理一年更比一年强!

我们是谁:
MatheMagician,中文“数学魔术师”,原指用数学设计魔术的魔术师和数学家。既取其用数学来变魔术的本义,也取像魔术一样玩数学的意思。文章内容涵盖互联网,计算机,统计,算法,NLP等前沿的数学及应用领域;也包括魔术思想,流程鉴赏等魔术内容;以及结合二者的数学魔术分享,还有一些思辨性的谈天说地的随笔。希望你能和我一起,既能感性思考又保持理性思维,享受人生乐趣。欢迎扫码关注和在文末或公众号留言与我交流!



扫描二维码
关注更多精彩
魔术《4 Kings 折纸》的三重境界(四)——魔术效果的突破

点击阅读原文,往期精彩不错过!
本文通过一场看似决斗实则概率与逻辑的游戏,探讨了在不同情况下,人物的生存概率和策略。最终揭示出,小胡凭借50%的命中率而非神枪手老郭,成为最有可能活到最后的人。文中还穿插了逻辑学概念如公共知识的应用,以及一个经典的过桥问题,展示了逻辑思维在生活中的实际应用。
1664

被折叠的 条评论
为什么被折叠?



