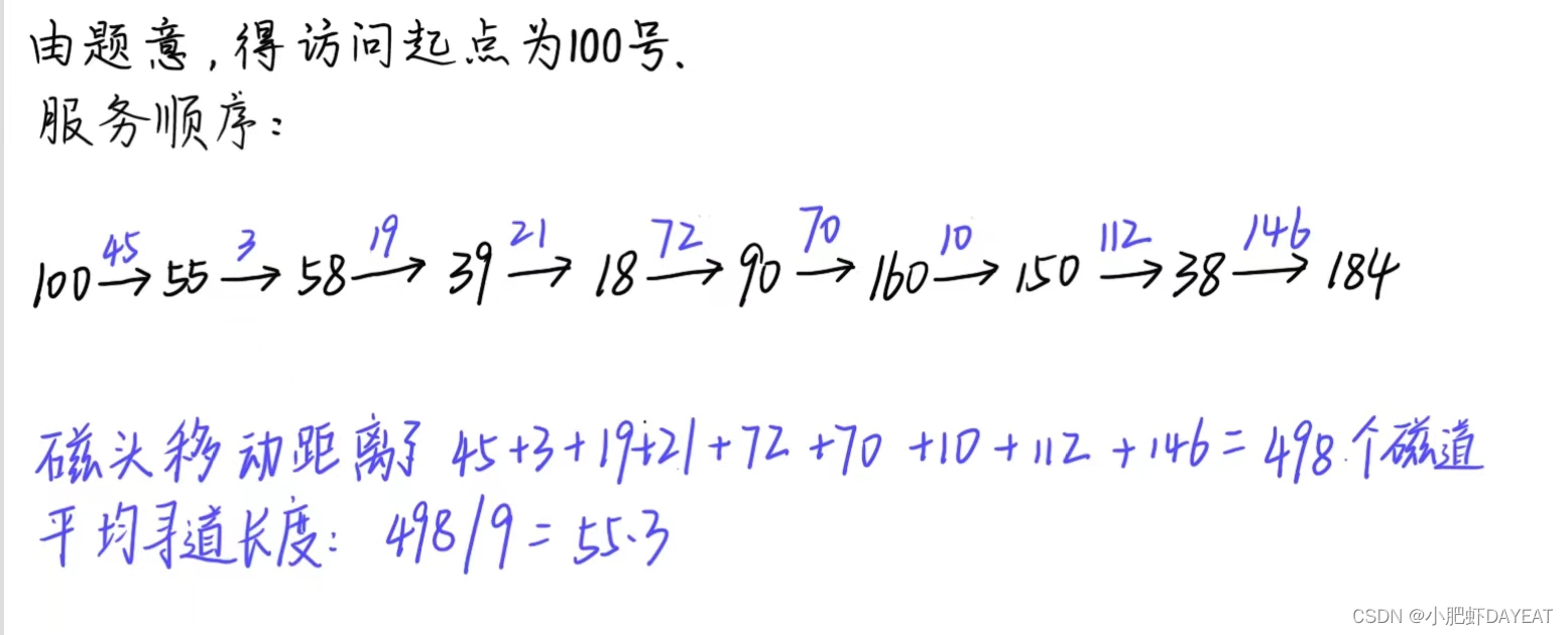
假定某磁盘共有200个柱面,编号为0-199,如果在为访问100号柱面的请求服务后,同时有若干请求者在等待服务,它们每次要访问的柱面号为55,58,39,18,90,160,150,38,184。求总寻道长度和平均寻道长度。
总长=每次寻道距离之和
平均寻道长度=总长/移动次数
目录
一、先来先服务(FCFS)
先来先服务,先来的先访问

二、最短寻道时间调度算法(SSTF)
访问离上一次柱面号最近的柱面号,例如题目刚访问完100,离100最近的是90,故访问90;接下来访问离90最近的是58,访问58,照此往下访问。
三、扫描调度算法(SCAN)
向磁道号减少的方向访问,访问到最小的磁道号,又从剩下的磁道号中最小的开始,向减少方向访问。

四、循环扫描(CSCNA)
与SCAN一样,从磁道号减少的方向访问,不同点为:访问到最小磁道号后,又从剩下的磁道号中最的大开始,向减少方向访问。

五、电梯调度算法

电梯调度算法与最短寻道时间调度算法的区别:
(1)最短寻道谁离的最近就访问谁
(2)电梯调度算法,若服务顺序为从减小方向,下一个访问的就是减小方向上离得最近的柱面。
本文探讨了在给定柱面访问序列下,如何使用不同的磁盘调度算法(FCFS、SSTF、SCAN、CSCNA和电梯算法)计算总寻道长度和平均寻道长度,重点在于算法原理和应用实例。

4747






