牌的识别实验报告
一:实验背景
在交通管理过程中,通常采用视频监控方式对闯红灯和超速等违章车辆进行监督。对违章车辆,需要自动检测车牌信息,提取车牌号码,以便查找车主信息和监督管理。
二:实验原理及方法
通常车牌识别的过程包括图像的预处理、车牌定位、车牌分割、车牌识别四部分。
2.1 车牌预处理
在车牌识别系统中我们通过采集得到的图片一般是彩色图片,在加上实际环境以及硬件设施的影响,图片质量不高,图像的背景噪声等会影响字符的分割与识别,因此我们在车牌分割及识别之前一般会进行图像的预处理。
本实验中,车牌图像的预处理包括图像灰度化,图像均衡化以及图像中值滤波。
- 图像灰度化
将彩色图像转化成为灰度图像的过程成为图像的灰度化处理。灰度图像的描述与彩色图像一样仍然反映了整幅图像的整体和局部的色度和亮度等级的分布和特征。
本实验中根据YUV的颜色空间中,Y的分量的物理意义是点的亮度,由该值反映亮度等级,根据RGB和YUV颜色空间的变化关系可建立亮度Y与R、G、B三个颜色分量的对应:Y=0.299R+0.587G+0.114B,以这个亮度值表达图像的灰度值。 - 图像均衡化
均衡化原理是将原图像通过某种变换,得到一幅灰度直方图为均匀分布的新图像的方法。设图像均衡化处理后,图像的直方图是平直的,即各灰度级具有相同的出现频数(大体相同),那么由于灰度级具有均匀的概率分布,图像看起来就更清晰了。

均衡化数学原理,已知一种重要的变换函数:累积分布函数(CDF),就是随机变量的概率分布函数,即: ,T(r)在区间0≤r ≤1中为单值且单调递增,
当0≤r ≤1时, 0≤ T(r)≤1。上式表明,当变换函数为r的累积直方图函数时,能达到直方图均衡化的目的。
均衡化步骤:(1)计算各灰度级出现的概率。(2)根据变换函数求新的灰度。(3)与灰度级拟合。(4)求新的灰度级出现的概率。
- 图像均值滤波
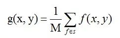
噪声对图像处理的影响很大,它影响图像处理的输入、采集和处理等各个环节以及输出结果。因此,在进行其它的图像处理前,需要对图像进行去噪处理。均值滤波方法是,对待处理的当前像素,选择一个模板,该模板为其邻近的若干个像素组成,用模板的均值来替代原像素的值的方法。

权系数矩阵模

最低0.47元/天 解锁文章
1092

被折叠的 条评论
为什么被折叠?



