1、数据来源:Wind
2、时间跨度:2008-2019年
3、区域范围:全国31省(区分了东中西部地区)
4、指标说明:
包含如下指标:
| 省级规模以上工业企业R&D经费 |
| 省级规模以上工业企业R&D人员全时当量 |
| 省级规模以上工业企业R&D项目数 |
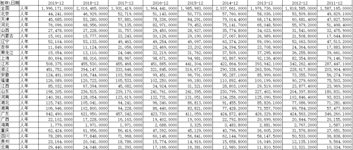
部分数据如下:

相关研究:
[1]王庆元, 张杰军, 张赤东. 我国创新型企业研发经费与发明专利申请量关系研究[J]. 科学学与科学技术管理, 2010, 31(11):8.
[2]王再进, 方衍. 企业研发费加计扣除政策实施问题及对策研究[J]. 科研管理, 2013, 34(1):5.
[3]梅波. 异质环境下研发费用投入的价值效应差异分析——基于倾向得分匹配法(PSM)的分析[J]. 华东经济管理, 2019, 33(1):9.
[4]程瑶, 闫慧慧. 税收优惠对企业研发投入的政策效应研究[J]. 数量经济技术经济研究, 2018, 35(2):15.
download链接: 工业企业R&D数据2008-2019.zip-数据集文档类资源-优快云下载
该博客详细探讨了2008年至2019年间全国31省份的工业研发投入情况,重点关注省级规模以上企业的R&D经费、人员全时当量和项目数。研究还涵盖了区域划分(东中西部)、政策影响以及相关研究文献,提供了全国范围内研发活动的深入洞察。
676

被折叠的 条评论
为什么被折叠?



