【大家好,我是爱干饭的猿,本文重点介绍推荐系统涉及的数学知识、推荐系统涉及的概率统计知识。
后续会继续分享其他重要知识点总结,如果喜欢这篇文章,点个赞👍,关注一下吧】
上一篇文章:《【推荐系统】了解推荐系统的生态(重点:推荐算法的主要分类)》
2. 推荐算法数学基础
本章回顾并梳理了学习算法必需的数学知识和统计学知识,帮助大家巩固基础,平滑过渡,为后面学习推荐算法做铺垫。
汗流浃背了吧老弟,全是大学高数和概率论知识!!!
2.1 推荐系统涉及的数学知识
向量
- 既有长度又有方向

向量和矩阵的关系
- 由有限个向量组可以构成一个矩阵
- 向量是矩阵的—部分

向量的和


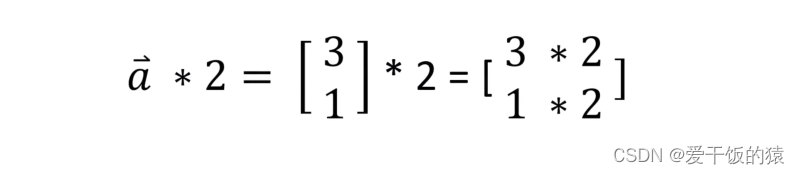
向量和常量的乘法


向量乘积

矩阵与矩阵相乘

- 第一个矩阵的列数必须等于第二个矩阵的行数
- 相乘获得的矩阵行数是第一个矩阵的行数,列数是第二个矩阵的列数
矩阵
- 方阵,单位矩阵
- 矩阵的转置:A^T
- 矩阵的逆矩阵:A^-1
- 矩阵的秩
导数
- 导数是用来分析变化的
- 一次函数(直线)的求导,得到的是斜率
- 二次函数(曲线)的求导,得到的是各点切线的斜率
偏导数
- 当存在多个自变量和一个因变量
- 假设其他自变量不变
- 当只有一个自变量变化时,因变量也会随之变化
方向导数
- 一个函数沿指定方向的变化率
梯度
- 梯度是偏导向量的方向
- 沿着偏导向量的方向导数能够取得最大值
- 梯度就是变化最快的方向
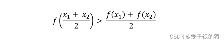
凸函数和凹函数


2.2 推荐系统涉及的概率统计知识
均值
- 反映一组数据集中趋势的统计量
- 算术平均数、加权平均数、中位数
数学期望
- 掷骰子游戏,规定掷出1点得到1元,2点得到2元,以此类推
- 求:掷一次它的期望值

方差
- 方差是一种特殊的期望
- 是衡量源数据和期望值相差的度量值
- 方差是计算每一个观察值和总体均数之间的差异

- A: 40,100,120,70,30。平均成绩=72
- B: 73,70,72,75,70。平均成绩= 72
样本标准差
- 样本标准差=方差的算术平方根
- 方差是数据的平方,与检测值本身相差太大,难以直观的衡量
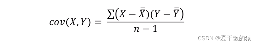
协方差
- 协方差是度量两个随机变量关系的统计量

相关系数
- X、Y的协方差除以X的标准差和Y的标准差的乘积


概率密度函数
-
离散型变量:取值可以——列出,且总数确定
-
连续型变量:取值无法——列出,且总数不确定
-
概率分布:给出了所有值及其概率,只对离散型变量有意义
-
概率函数:是对概率分布的描述,只对离散型变量有意义
-
概率分布函数:给出了x落在某区间内的概率
-
概率密度函数:给出了x落在某区间内的概率变化快慢
均匀分布
- 任意相同间隔所对应的概率分布都相等

正态分布(高斯分布)

中心极限定理
- 正太分布为什么常见,原因是中心极限定理
- 大量相互独立的随机变量,当采样次数足够大
- 不管随机变量呈现什么分布,抽取样本的均值接近正太分布
置信区间
- 标准正太分布是均值为0,标准差为1

条件概率公式
- A,B是两个事件,在B发生的条件下,A发生的概率

贝叶斯公式
- 贝叶斯公式就是建立在条件概率基础上寻找事件发生的原因

本文介绍了推荐系统中涉及的数学基础知识,如向量、矩阵运算、导数、概率统计概念(均值、方差、概率密度函数、正态分布及中心极限定理),为后续深入理解推荐算法打下基础。
10万+

被折叠的 条评论
为什么被折叠?



