首先我们要知道,线性代数的核心问题就是:线性方程组的求解问题。
一般来说,将线性方程组分为齐次线性方程组和非齐次线性方程组。
齐次线性方程组等式的右边全部为0,且该方程组一定有解;
非齐次线性方程组等式的右边不全为0,且该方程组不一定有解。
目录
一、行列式
行列式在考研线代中不属于重要部分,却是我们学习线性代数的基本功,也是们掌握线性代数计算的基本功。
1、n阶行列式的定义
1)、排列及其逆序数
排列:譬如1,2,3,...,n.形成的有序数组,称为n元排列。
n元排列共有n!种排列方式。
逆序:在一个n元排列中,一个大数排在一个小数前面,则二者构成一对逆序。
逆序数:逆序的总数成为逆序数。()
若逆序数为奇数,则称该n元排列为奇排列。
若逆序数为偶数,则称该n元排列为偶排列。
例:在三元排列(1 3 2)中,第一个数字为1,1的后面面没有比其更小的数字;第二个数字为3,2的后面有一个比其更小的数字;第三个数字为2,2为最后一个数字,故后面没有比其更小的数字。所以,在此三元排列中,逆序数=0+1+0=1。


2)、n阶行列式的定义
n阶行列式的定义:如图所示,共有n行,n列个元素。
n阶行列式的计算方法:将既不同行也不同列的元素的乘积求和。
其符号的判断为: 在行数确定的情况下(将行数正序排列),观察列数的逆序数,若为奇数,则为负号,若为偶数,则为正号。
注意事项:
①n阶行列式共有n!项。
②在计算时,先将行数进行正序排列,在求列的逆序数。
③在计算中,正负项各一半。
④一阶行列式丨a11丨=a11。

几种特殊的行列式
①:主/副对角线行列式及其推广

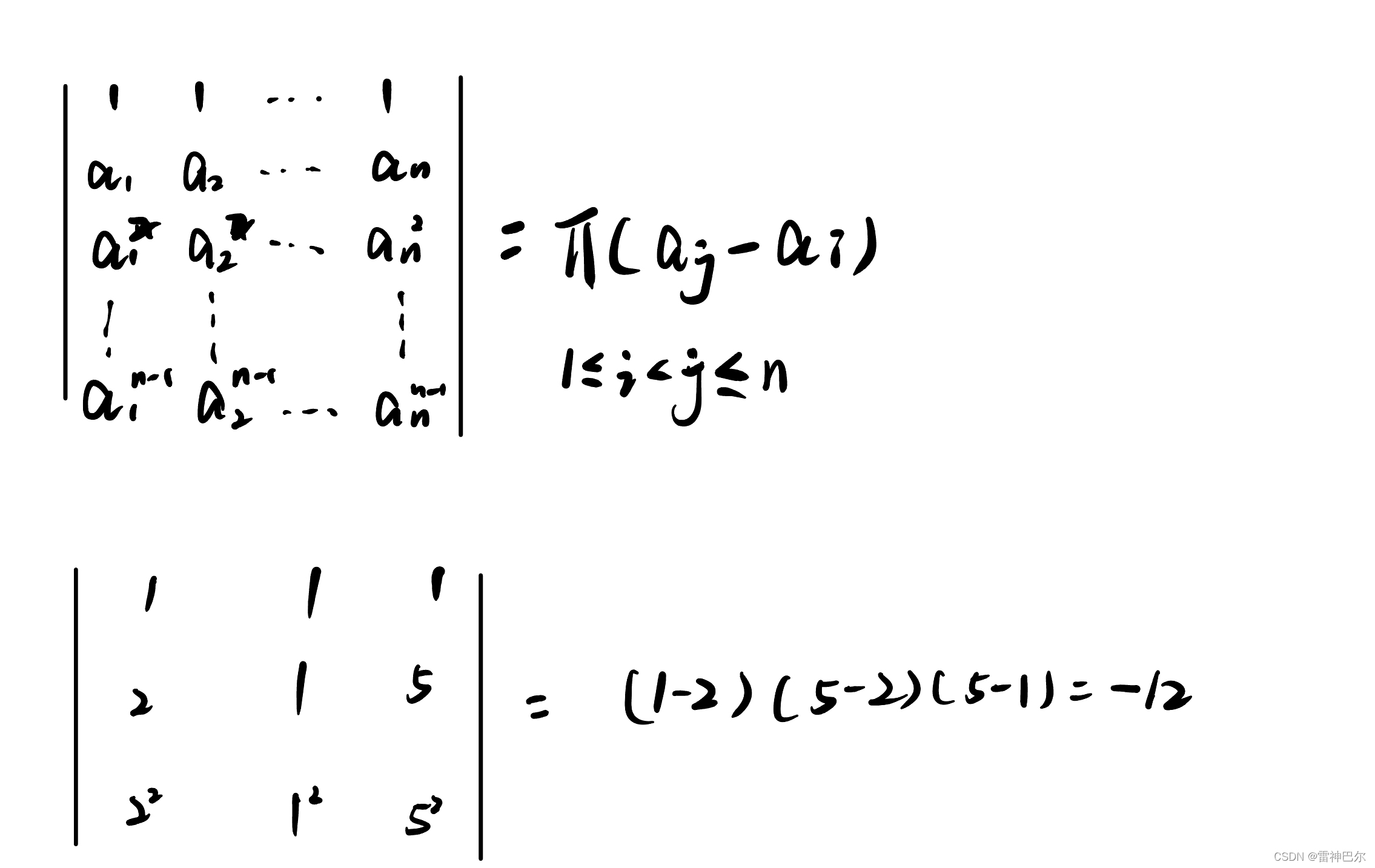
②范德蒙行列式
当行列式中首行/首列为1,且对应的列/行成等比数列,则称为范德蒙行列式。
其计算方法为:将高列/行的公比减去低列/行的公比再求积。
2、行列式的性质
1)行列式的性质
转置不变性:
转置:将行列式中的行变成列,将列变成行。

注:在行列式中,行和列的地位相同。
换行/换列后,需要将行列式反号
若在行列式中,有两行/两列相同,则将此两行/列进行换行,发现与原行列式一致,但符号相反,故得到推论:若行列式中有相同的两行/列,则行列式的计算结果为0。
数与行列式相乘

成比例为0:若某两行/列成比例,则计算结果为0。
行列式拆分性质:每次只能对一行/列进行拆分

加倍不变性 :将某行/列*k再加至另一个行/列上,行列式不变。;
例题如下:

3、行列式按行按列展开
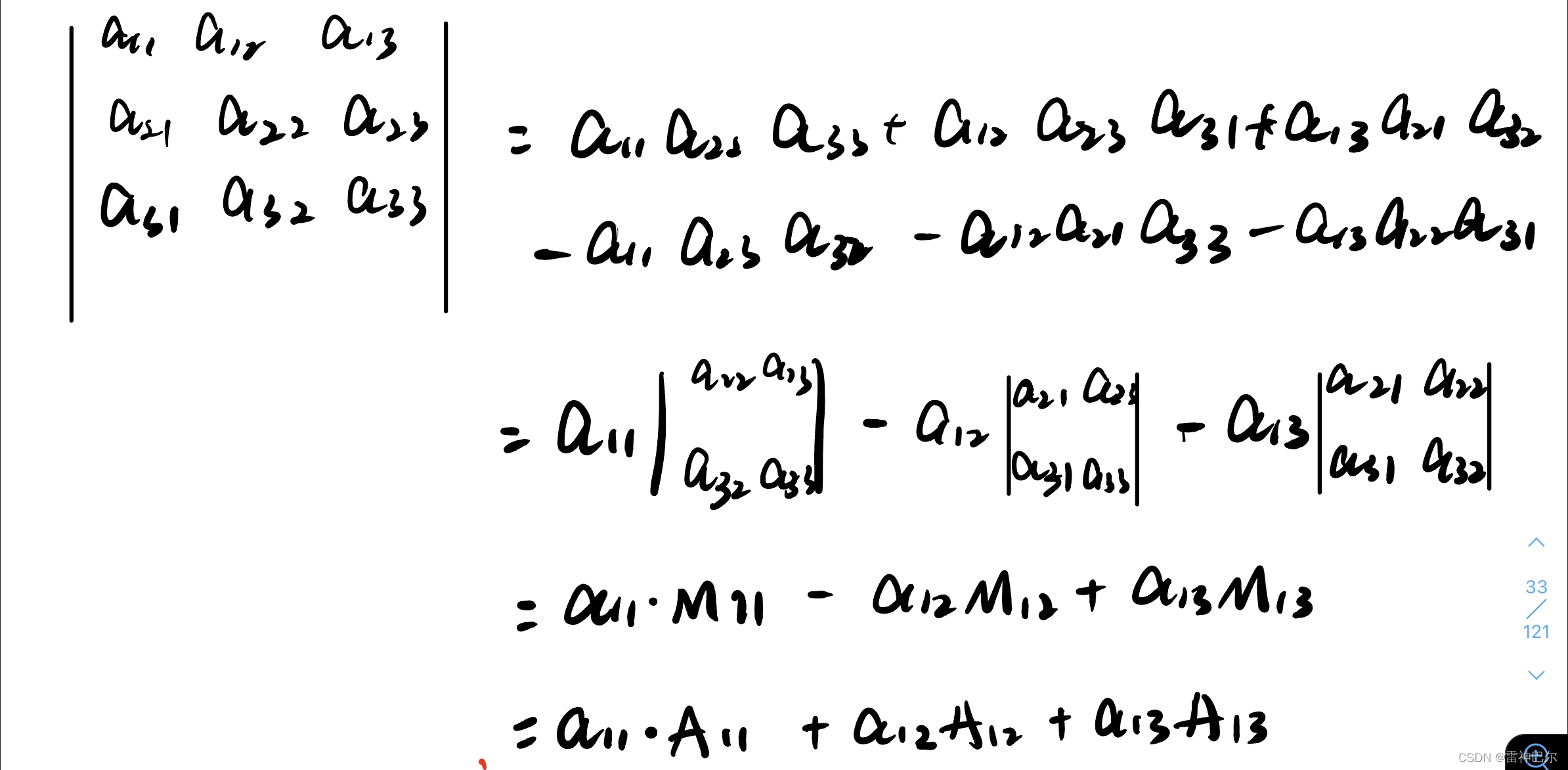
1)、余子式和代数余子式
余子式:n阶行列式,将第i行,第j列元素全部去掉,剩下的元素形成n-1阶行列式,则该行列式成为的余子式,记作
。
代数余子式:*
=
其中,
与
无关。

2)、行列式按行/列展开定理

由此可知,行列式按行/列展开之后,就可以将行列式化简为该行/列各元素与其代数余子式的乘积之和。在计算中我们需要注意,展开行列式时,通常寻找0元素最多的行或列进行展开,更有利于计算。
推论:若则

4、 行列式的计算
1)、低阶无特点行列式的计算
思路:利用性质进行消除元素、消除零再化简成易算行列式或将其展开。(可将其化简为上三角行列式或者下三角行列式)

2)、爪形行列式的计算
思路:将其化简为上三角行列式,再对主对角线进行相乘,这样只有第一行第一列的元素较为复杂,其他元素都会比较好算。
5、克莱姆法则
此法则是利用行列式对齐次线性方程组和非齐次线性方程组进行计算的重要法则。
一般将第一列的数字换为等式右边的数字,再对行列式进行求解,新行列式与原行列式的比值则为一个解。具体操作如图所示:
当时,方程存在唯一解。
当时,方程无解或有无穷多个解且不能解出。
结语
经过以上的学习,我们发现克莱姆法则具有非常大的局限性①只能解有n个方程,n个未知数的方程组;②只能判断并求解唯一解;③计算量大。
对于行列式的计算也是非常的复杂。
我们下节将进行矩阵的学习,再后面我们将逐渐进入线性代数的核心章节。
本文从线性方程组的背景引入,详细讲解了n阶行列式的定义,包括排列、逆序数、行列式的性质、行列式按行按列展开的计算方法,以及克莱姆法则的应用。行列式是线性代数基础,为后续的矩阵学习打下基础。
2051





