原文:Simplified swarm optimization with initialization scheme for dynamic weapon–target assignment problem
摘要:动态武器目标分配(DWTA)问题是军事作战研究领域的一个关键问题,该问题约束条件多,因此使用进化方法来解决DWTA问题往往会遇到大量不可行的解,导致计算负担过高。为了加快求解过程,提高求解质量,本文提出了一种改进的简化群优化算法(Simplified Swarm Optimization with Deterministic initialization scheme and a Target exchange scheme)SSODT,采用了确定性初始化和目标交换两种新方案。种群初始化采用确定性初始化方案,并利用DWTA的问题特定知识,生成具有较大全局进化潜力的有前途的可行解,从而加快SSODT的收敛速度。目标交换方案是一种局部搜索更新可行解的方法,在不违背交战可行性的前提下交换变量,以增强SSODT的开发能力。在36个人工问题上对所提方法进行了实证验证,并与其他进化方法进行了比较。结果表明,该算法在求解质量和效率方面均优于同类算法。
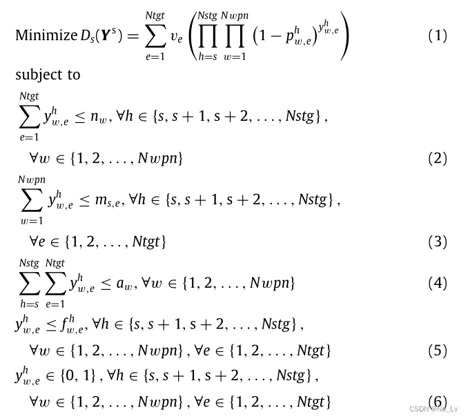
问题建模

目标函数(1)表示所有阶段后目标的总威胁值最小;
约束(2)表示每个阶段每个武器的打击目标数有限(通常设为1);
约束(3)表示每个阶段每个目标被打击的武器数量有限;
约束(4)表示在所有阶段每个武器打击的总弹药量不会超过武器的弹药容量上限;
约束(5)表示的是时间按上的交战可行性。
算法部分
1、原始SSO流程

其中,Eq.7为:
其中ρ\rhoρ是服从正态分布的随机数,CgC_gCg,CpC_pCp,CrC_rCr都是提前预设的参数。
记上述update方式为UM0UM_0UM0,本文则提出了UMfUM_fUMf,将上述式(7)替换为:

2、本文提出的算法
1)初始化
为每个阶段的每个武器构建可行性目标列表LwhL_w^hLwh,该列表实为该武器在当前阶段可打击的目标集合(包含0);
另外解的编码方式为:用一个长度为“阶段数x武器数”的向量表示,如(1,0,3,4,6;2,6,5,0,1)表示一共两个阶段5个武器,第二阶段第一个武器的打击目标为2。其中每个阶段可以解码为矩阵,如下:

2)确定性初始化(DIS)

该过程只产生一个保证可行的解,价值最高的目标最优先选择杀伤概率最大的武器和相应阶段,更新满足公式(3)、(4)的参数:αw\alpha_wαw表示武器www剩余的弹药数量,μσ,τ\mu_{\sigma, \tau}μσ,τ表示在该阶段该目标的剩余可被打击次数,直至所有目标都被安排完。
3)目标函数
引入惩罚函数:
其中λ=100\lambda =100λ=100。
4) 目标交换方法(TES)
简要来说,上述过程是将已有可行解重新排列后依次尝试交换顺序,并及时检验是否满足武器与目标打击关系的可行条件,最后只保留满足可行条件的新解。
5)SSODT

6)复杂度分析
SSO的计算复杂度为Tini+(Teva+Tumo)xNnfe,即O(D⋅Nnfe)O(D\cdot N_{nfe})O(D⋅Nnfe);增加DIS与TES后计算复杂度为TDIS+(Teva+Tumo+TTES)xNnfe,也即O(D⋅Nnfe)O(D\cdot N_{nfe})O(D⋅Nnfe),因此并未增加复杂度。
实验部分
本文的实验主要分为两个部分:EX-1和EX-2,EX-1主要观察的是本文引入的方法DIS和TES的作用,并选择出最合适的参数Ndis和Ntes;EX-2主要是比较最优参数配置下的SSODT与其他常见进化算法进行比较(包括GA、PSO、PSA、TSA)
问题集设置:
武器数:5、10、20、50
目标数:武器数x2,武器数x3,武器数x4
阶段数:3、4、5

EX-1:
4个问题大小:武器数:5、10、20、50;目标数:3x武器数;阶段数:5。
10种情况:Ndis=0/1;Ntes=0/0.1/0.4/0.7/1
实验结果:
因此后续的实验中我们选择DIS=1,Ntes = 0.4。
EX-2:
对比GA、PSO、PSA、TSA、SSO、SSODT在36组实验上的计算结果和运行时间,并对结果进行非参数统计检验,证明了新算法的有效性。
总结
SSODT将DIS和TES两种新方案集成到现有的SSO中,有效地优化DWTA。DIS是一个确定性过程,在这个过程中,具有最高预期威胁值的目标总是优先于对该目标具有最高杀伤概率的武器的交战。该方法在初始化阶段为SSODT生成了一个很有前景的可行初始解。在演化阶段,TES被设计为局部搜索,在交战可行性约束下,从可行解中随机选择两个三元组进行目标交换,从而提高了SSODT在DWTA中的开发能力。
1万+

被折叠的 条评论
为什么被折叠?



