2 问题描述
WSoSPP问题可以描述为一个简单的形式:在给定预算和风险约束的情况下,当
t
=
0
t=0
t=0时,从
M
M
M种武器系统中选择
K
K
K种武器系统,以最大化满足
N
N
N种CR(capability requirement);当
t
>
0
(
t
∈
N
+
)
t>0(t\in N_+)
t>0(t∈N+)时,以最小代价调整
K
K
K种武器系统的决策变量,以适应CR的演化。
问题一:如何选择和规划WSoS?武器系统与能力之间的对应关系复杂,解空间庞大,约束条件多,不同规划方案的比较标准未定。
问题二:如何调整和更新WSoS?随着任务的变化,CR的种类、数值以及需求的时间也会发生变化,CR演进的方式和趋势可以用概率来进行描述,但不能完全具体地说明。
3 演进CR的分析
为了对CR进行定量描述,我们约定,在
t
=
t
0
t=t_0
t=t0时,一共有
N
N
N种CR记为
C
i
,
i
=
1
,
2
,
.
.
.
,
n
C_i,i=1,2,...,n
Ci,i=1,2,...,n,每种
C
i
C_i
Ci对应两个需求:数值
a
i
a_i
ai和需求时间
t
k
t_k
tk,表示在时间
t
k
t_k
tk时,
C
i
C_i
Ci的数值达到
a
i
a_i
ai。
CR的演进意味着随着任务的该边,在未来的一个或者几个离散的决策点处CR会进行动态的自适应调整。调整主要可以归结为两点:一是CR的变化是离散的而非连续的;二是可以预测和推断CR演进的类型,但并不能确定。演进类型分为四种:1)CR种类的增加;2)CR种类的减少;3)任一CR的对应数值变化;4)任一CR的对应需求时间变化。
4 WSoSPP
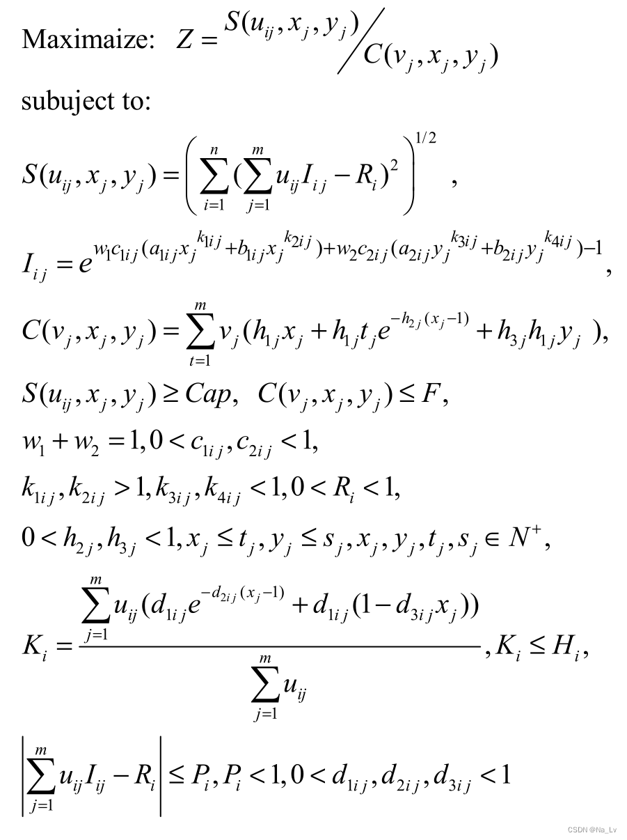
基于TOPSIS方法,我们将目标函数记为满足CR条件的解的费用与理想解之间的加权欧氏距离:

其中,如果选择武器系统
j
j
j,则
v
j
v_j
vj取值1,否则取0;
x
j
x_j
xj和
y
j
y_j
yj分别为每种武器系统研制的数量和时间。
S
S
S是WSoSPP的一个备选方案的能力要求综合满意度(SSDoCR),
C
C
C是实施该备选方案的成本;
R
i
R_i
Ri是一种能力要求(SKCR),即
C
R
i
CR\ \ i
CR i;
I
i
j
I_{ij}
Iij是武器系统
j
j
j满足
C
R
i
CR\ \ i
CR i的程度;Cap是SSDoCR的约束,
F
F
F是成本约束;如果武器系统
j
j
j被选为支持
C
R
i
CR\ \ i
CR i,则二进制变量
u
i
j
u_{ij}
uij取1,否则取0;
K
i
K_i
Ki是一个WSoSPP方案满足
C
R
i
CR\ \ i
CR i的风险,它与各类武器系统的研制时间有关;
H
i
H_i
Hi是满足
C
R
i
CR\ \ i
CR i的风险约束;
P
i
P_i
Pi是单类能力需求满意度(SDSKCR)的约束,以避免产生冗余或较差的能力。
5 基于DE的求解算法
Step1生成初始种群:采用多维实数向量作为编码方式表示武器系统的研制时间和研制数量,研制时间位取值为0表示该武器系统未被选中:
研制时间:
x
1
,
x
2
,
.
.
.
,
x
i
,
.
.
.
,
x
m
x_1,x_2,...,x_i,...,x_m
x1,x2,...,xi,...,xm
研制数量:
y
1
,
y
2
,
.
.
.
,
y
i
,
.
.
.
,
y
m
y_1,y_2,...,y_i,...,y_m
y1,y2,...,yi,...,ym
Step2计算目标函数值:首先对函数C和S的值进行编程计算,然后计算初始种群的目标函数值,最后记录全局最优值。
Step3基于DE的变异:
Step4基于DE的交叉:以一定的概率选择上一代的每一位来替换当前一代的对应位
Step5修正约束外:随机生成开发时间位和开发数量位来替换每个个体中违反约束的位,以满足约束条件。
Step6基于竞争的生存策略:如果先前的个体和现在的个体都满足约束,则选择目标函数值最大的个体作为新个体;如果先前的个体和现在的个体之一违反约束,则选择没有违反约束的个体;如果先前的个体和现在的个体都违反约束,则选择违反约束最小的个体。
Step7重复迭代:更新全局优化的值。重复步骤3至6,直到获得最大迭代次数或所需解。
6 案例研究
7 结论
WSO研究的一个重要方面是支持上层规划者在国防预算、风险等约束下计划和规划开发的种类、类型、时间和数量。同时,基于能力的规划是WSoS研究中不可或缺的一部分,能力需求和系统体系的演化是客观存在的。因此,本文的研究思路之一就是基于组合优化和组合规划的WSoS规划,以满足CR的需求,完成各种任务。另一种研究思路是基于不确定规划和多阶段规划来规划WSoS,以增强WSO的健壮性和适应性。
基于上述思想,本文对面向WSoSPP的能力需求演化进行了初步研究。提出了武器系统的能力需求及其演化模式,构建并设计了武器系统能力规划的模型和算法,为武器系统的长期规划和规划提供决策支持。如何将不确定规划和多阶段规划方法应用于WSoSPP中,以增强WSoSPP在开发过程中的初期稳健性和适应性,是今后的研究方向
本文探讨了武器系统能力需求(WSoSPP)的问题,涉及在预算和风险约束下选择和调整武器系统以最大化满足能力要求(CR)。CR随任务演变,其变化离散且难以精确预测。提出了基于TOPSIS的优化模型,并设计了一种基于差分进化(DE)的求解算法,用于寻找最佳武器系统配置。案例研究验证了方法的有效性,未来研究将关注不确定性和多阶段规划在WSoSPP中的应用。
974

被折叠的 条评论
为什么被折叠?



