题目:
给你单链表的头节点
head,请你反转链表,并返回反转后的链表。
示例 1:
输入:head = [1,2,3,4,5]
输出:[5,4,3,2,1]
示例 2:
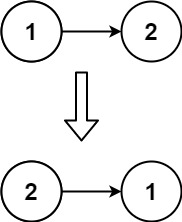
输入:head = [1,2]
输出:[2,1]
示例 3:
输入:head = []
输出:[]
提示:
链表中节点的数目范围是
[0, 5000]
-5000 <= Node.val <= 5000
代码:
class Solution {
public ListNode reverseList(ListNode head) {
ListNode pre = null;
ListNode temp;
while (head != null) {
temp = head.next;
head.next = pre;
pre = head;
head = temp;
}
return pre;
}
}
解释:
通过设置中间变量用来存储头结点的下一个结点,这样转换过方向后还能找到之后的结点。然后依次向后移动即可,循环到头结点的位置走到最后。


2193

被折叠的 条评论
为什么被折叠?



