牛顿法
牛顿法是为了求解函数值为零的时候变量的取值问题的,具体地,当要求解 f(θ)=0时,如果 f可导,那么可以通过迭代公式。

当θ是向量时,牛顿法可以使用下面式子表示:

其中H叫做海森矩阵,H (-1) 表示的是海森矩阵的逆矩阵 ,其实就是目标函数对参数θ的二阶导数。
牛顿法的优点:
牛顿法收敛速度相比梯度下降法很快,而且由于海森矩阵的的逆在迭代中不断减小,起到逐渐缩小步长的效果。
缺点:
牛顿法的缺点就是计算海森矩阵的逆比较困难,消耗时间和计算资源。因此有了拟牛顿法。
-
网上一个牛顿法求解的例子:

海森矩阵的定义:

- 代码实现:
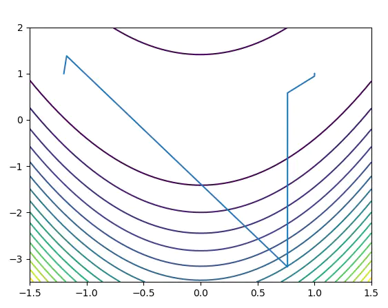
用牛顿法求解 f = 100 * (x2-x1** 2) ** 2 + (1-x1)**2
import numpy as np
import matplotlib.pyplot as plt
#梯度的公式
def tidu(x):
return np.array([-400*x[0]*(x[1]-x[0]**2)-2*(1-x[0]),200*(x[1]-x[0]**2)])
#海森矩阵的公式
def hessian(x):
return np.array([[-400*(x[1]-3*x[0]**2)+2,-400*x[0]],[-400*x[0],200]])
#牛顿法
def newton(x):
print("初始点为 : ",x)
res=[]
res.append(x)
i = 1
imax = 1000
delta = 1
#迭代的条件是小于imax,或者是更新的距离小于一个很小的数值
while i<imax and delta>10**(-5):
p = -np.dot(np.linalg.inv(hessian(x)),tidu(x))
x_new = x + p
res.append(x_new)
delta = sum((x-x_new)**2) # 更新的距离
print("初始点为 : ",x_new)
i=i+1
x=x_new # 更新x
return np.array(res)
if __name__ =="__main__":
# 用牛顿法求解 f=100*(x2-x1**2)**2+(1-x1)**2
X1=np.arange(-1.5,1.5+0.05,0.05)
X2=np.arange(-3.5,2+0.05,0.05)
[x1,x2]=np.meshgrid(X1,X2)
f=100*(x2-x1**2)**2+(1-x1)**2; # 给定的函数
plt.contour(x1,x2,f,20) # 画出函数的20条轮廓线
x0 = np.array([-1.2,1])
res=newton(x0)
res_x=res[:,0]
res_y=res[:,1]
plt.plot(res_x,res_y)
plt.show()

作者:zhaozhengcoder
链接:https://www.jianshu.com/p/0f864a4c3b38
来源:简书
著作权归作者所有。商业转载请联系作者获得授权,非商业转载请注明出处。
由于牛顿法是基于当前位置的切线来确定下一次的位置,所以牛顿法又被很形象地称为是"切线法"。牛顿法的搜索路径(二维情况)如下图所示:

3107

被折叠的 条评论
为什么被折叠?



