深浅拷贝
这也是一个python面试经常会被问到的问题,一般人的简单理解就是浅拷贝会影响原对象而深拷贝不会,其实这道题是有坑的,深拷贝之后对原对象不产生影响基本问题不大,但是浅拷贝一定要分三种情况来讨论
1.拷贝不可变对象:只是增加一个指向原对象的引用,改变会互相影响。
>>> a = (1, 2, [3, 4])
>>> b = copy.copy(a)
>>> b
... (1, 2, [3, 4])
# 改变一方,另一方也改变
>>> b[2].append(5)
>>> a
... (1, 2, [3, 4, 5])
2.拷贝可变对象(一层结构):产生新的对象,开辟新的内存空间,改变互不影响。
>>> import copy
>>> a = [1, 2, 3]
>>> b = copy.copy(a)
>>> b
... [1, 2, 3]
# 查看两者的内存地址,不同,开辟了新的内存空间
>>> id(b)
... 1833997595272
>>> id(a)
... 1833997595080
>>> a is b
... False
# 改变了一方,另一方关我卵事
a = [1, 2, 3] b = [1, 2, 3]
>>> b.append(4)
>>> a
... [1, 2, 3]
>>> a.append(5)
>>> b
... [1, 2, 3, 4]
3.拷贝可变对象(多层结构):产生新的对象,开辟新的内存空间,不改变包含的子对象则互不影响、改变包含的子对象则互相影响。
>>> import copy
>>> a = [1, 2, [3, 4]]
>>> b = copy.copy(a)
>>> b
... [1, 2, [3, 4]]
# 查看两者的内存地址,不同,开辟了新的内存空间
>>> id(b)
1833997596488
>>> id(a)
1833997596424
>>> a is b
... False
# 1.没有对包含的子对象进行修改,另一方关我卵事
a = [1, 2, [3, 4]] b = [1, 2, [3, 4]]
>>> b.append(5)
>>> a
... [1, 2, [3, 4]]
>>> a.append(6)
>>> b
... [1, 2, [3, 4], 5]
# 2.对包含的子对象进行修改,另一方也随之改变
a = [1, 2, [3, 4]] b = [1, 2, [3, 4]]
>>> b[2].append(5)
>>> a
... [1, 2, [3, 4, 5]]
>>> a[2].append(6)
>>> b
... [1, 2, [3, 4, 5, 6]]
python垃圾回收机制
-
引用计数
- 原理
- 当一个对象的引用被创建或者复制时,对象的引用计数加1;当一个对象的引用被销毁时,对象的引用计数减1.
- 当对象的引用计数减少为0时,就意味着对象已经再没有被使用了,可以将其内存释放掉。
- 优点
- 引用计数有一个很大的优点,即实时性,任何内存,一旦没有指向它的引用,就会被立即回收,而其他的垃圾收集技术必须在某种特殊条件下才能进行无效内存的回收。
- 缺点
- 引用计数机制所带来的维护引用计数的额外操作与Python运行中所进行的内存分配和释放,引用赋值的次数是成正比的,
- 显然比其它那些垃圾收集技术所带来的额外操作只是与待回收的内存数量有关的效率要低。
- 同时,因为对象之间相互引用,每个对象的引用都不会为0,所以这些对象所占用的内存始终都不会被释放掉。
- 原理
-
标记-清除
- 它分为两个阶段:第一阶段是标记阶段,GC会把所有的活动对象打上标记,第二阶段是把那些没有标记的对象非活动对象进行回收。
- 对象之间通过引用(指针)连在一起,构成一个有向图
- 从根对象(root object)出发,沿着有向边遍历对象,可达的(reachable)对象标记为活动对象,不可达的对象就是要被清除的非活动对象。
- 根对象就是全局变量、调用栈、寄存器。

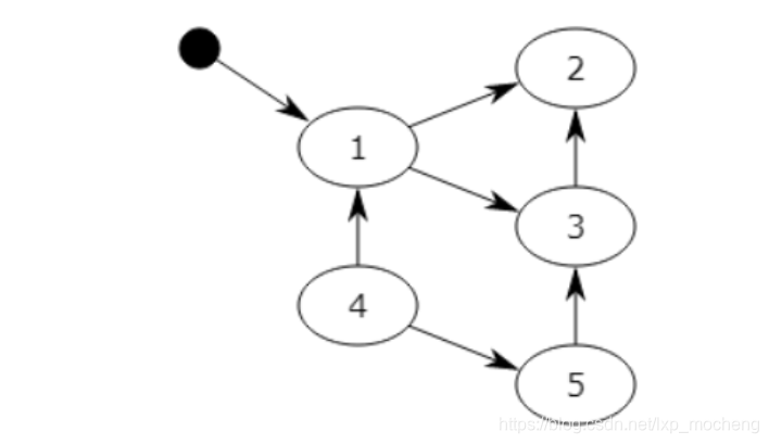
- 在上图中,可以从程序变量直接访问块1,并且可以间接访问块2和3,程序无法访问块4和5
- 第一步将标记块1,并记住块2和3以供稍后处理。
- 第二步将标记块2,第三步将标记块3,但不记得块2,因为它已被标记。
- 扫描阶段将忽略块1,2和3,因为它们已被标记,但会回收块4和5。
-
分代回收
- 分代回收是建立在标记清除技术基础之上的,是一种以空间换时间的操作方式。
- Python将内存分为了3“代”,分别为年轻代(第0代)、中年代(第1代)、老年代(第2代)
- 他们对应的是3个链表,它们的垃圾收集频率与对象的存活时间的增大而减小。
- 新创建的对象都会分配在年轻代,年轻代链表的总数达到上限时,Python垃圾收集机制就会被触发
- 把那些可以被回收的对象回收掉,而那些不会回收的对象就会被移到中年代去,依此类推
- 老年代中的对象是存活时间最久的对象,甚至是存活于整个系统的生命周期内。
with语句
什么是with语句
- with是一种上下文管理协议,目的在于从流程图中把 try,except 和finally 关键字和资源分配释放相关代码统统去掉,简化try….except….finlally的处理流程。
- 所以使用with处理的对象必须有enter()和exit()这两个方法
- with通过enter方法初始化(enter方法在语句体执行之前进入运行)
- 然后在exit中做善后以及处理异常(exit()方法在语句体执行完毕退出后运行)
with语句使用场景
- with 语句适用于对资源进行访问的场合,确保不管使用过程中是否发生异常都会执行必要的“清理”操作,释放资源
- 比如文件使用后自动关闭、线程中锁的自动获取和释放等。
- with处理文件操作的实例
with open('/etc/passwd') as f:
for line in f:
print(line)
# 这段代码的作用:打开一个文件,如果一切正常,把文件对象赋值给f,然后用迭代器遍历文件中每一行,当完成时,关闭文件;
# 而无论在这段代码的任何地方,如果发生异常,此时文件仍会被关闭。
Python深浅拷贝、垃圾回收与with语句解析
本文介绍了Python中的深浅拷贝概念,包括对不可变对象、可变对象(一层结构)和可变对象(多层结构)的拷贝情况。接着探讨了Python的垃圾回收机制,如引用计数、标记-清除和分代回收的原理与优缺点。最后,详细阐述了with语句的作用和工作原理,及其在资源管理中的应用,如文件操作的自动关闭。
3万+

被折叠的 条评论
为什么被折叠?



