文章目录
初赛
so large e
题目:
from Crypto.Util.number import *
from Crypto.PublicKey import RSA
from flag import flag
import random
m = bytes_to_long(flag)
p = getPrime(512)
q = getPrime(512)
n = p*q
e = random.getrandbits(1024)
assert size(e)==1024
phi = (p-1)*(q-1)
assert GCD(e,phi)==1
d = inverse(e,phi)
assert size(d)==269
pub = (n, e)
PublicKey = RSA.construct(pub)
with open('pub.pem', 'wb') as f :
f.write(PublicKey.exportKey())
c = pow(m,e,n)
print('c =',c)
print(long_to_bytes(pow(c,d,n)))
#c = 6838759631922176040297411386959306230064807618456930982742841698524622016849807235726065272136043603027166249075560058232683230155346614429566511309977857815138004298815137913729662337535371277019856193898546849896085411001528569293727010020290576888205244471943227253000727727343731590226737192613447347860
读取公钥得到n,e,
e = 113449247876071397911206070019495939088171696712182747502133063172021565345788627261740950665891922659340020397229619329204520999096535909867327960323598168596664323692312516466648588320607291284630435682282630745947689431909998401389566081966753438869725583665294310689820290368901166811028660086977458571233
n = 116518679305515263290840706715579691213922169271634579327519562902613543582623449606741546472920401997930041388553141909069487589461948798111698856100819163407893673249162209631978914843896272256274862501461321020961958367098759183487116417487922645782638510876609728886007680825340200888068103951956139343723
根据代码,获悉
0.25
≤
d
n
=
0.263
≤
0.292
0.25 \le \frac{d}{n} = 0.263\le0.292
0.25≤nd=0.263≤0.292
满足 Boneh and Durfee attack
直接套用模板,修改一下delta 和m即可
其中delta = 0.263,m = 5
exp:
#sage
from __future__ import print_function
import time
############################################
# Config
##########################################
"""
Setting debug to true will display more informations
about the lattice, the bounds, the vectors...
"""
debug = True
"""
Setting strict to true will stop the algorithm (and
return (-1, -1)) if we don't have a correct
upperbound on the determinant. Note that this
doesn't necesseraly mean that no solutions
will be found since the theoretical upperbound is
usualy far away from actual results. That is why
you should probably use `strict = False`
"""
strict = False
"""
This is experimental, but has provided remarkable results
so far. It tries to reduce the lattice as much as it can
while keeping its efficiency. I see no reason not to use
this option, but if things don't work, you should try
disabling it
"""
helpful_only = True
dimension_min = 7 # stop removing if lattice reaches that dimension
############################################
# Functions
##########################################
# display stats on helpful vectors
def helpful_vectors(BB, modulus):
nothelpful = 0
for ii in range(BB.dimensions()[0]):
if BB[ii,ii] >= modulus:
nothelpful += 1
print(nothelpful, "/", BB.dimensions()[0], " vectors are not helpful")
# display matrix picture with 0 and X
def matrix_overview(BB, bound):
for ii in range(BB.dimensions()[0]):
a = ('%02d ' % ii)
for jj in range(BB.dimensions()[1]):
a += '0' if BB[ii,jj] == 0 else 'X'
if BB.dimensions()[0] < 60:
a += ' '
if BB[ii, ii] >= bound:
a += '~'
print(a)
# tries to remove unhelpful vectors
# we start at current = n-1 (last vector)
def remove_unhelpful(BB, monomials, bound, current):
# end of our recursive function
if current == -1 or BB.dimensions()[0] <= dimension_min:
return BB
# we start by checking from the end
for ii in range(current, -1, -1):
# if it is unhelpful:
if BB[ii, ii] >= bound:
affected_vectors = 0
affected_vector_index = 0
# let's check if it affects other vectors
for jj in range(ii + 1, BB.dimensions()[0]):
# if another vector is affected:
# we increase the count
if BB[jj, ii] != 0:
affected_vectors += 1
affected_vector_index = jj
# level:0
# if no other vectors end up affected
# we remove it
if affected_vectors == 0:
print("* removing unhelpful vector", ii)
BB = BB.delete_columns([ii])
BB = BB.delete_rows([ii])
monomials.pop(ii)
BB = remove_unhelpful(BB, monomials, bound, ii-1)
return BB
# level:1
# if just one was affected we check
# if it is affecting someone else
elif affected_vectors == 1:
affected_deeper = True
for kk in range(affected_vector_index + 1, BB.dimensions()[0]):
# if it is affecting even one vector
# we give up on this one
if BB[kk, affected_vector_index] != 0:
affected_deeper = False
# remove both it if no other vector was affected and
# this helpful vector is not helpful enough
# compared to our unhelpful one
if affected_deeper and abs(bound - BB[affected_vector_index, affected_vector_index]) < abs(bound - BB[ii, ii]):
print("* removing unhelpful vectors", ii, "and", affected_vector_index)
BB = BB.delete_columns([affected_vector_index, ii])
BB = BB.delete_rows([affected_vector_index, ii])
monomials.pop(affected_vector_index)
monomials.pop(ii)
BB = remove_unhelpful(BB, monomials, bound, ii-1)
return BB
# nothing happened
return BB
"""
Returns:
* 0,0 if it fails
* -1,-1 if `strict=true`, and determinant doesn't bound
* x0,y0 the solutions of `pol`
"""
def boneh_durfee(pol, modulus, mm, tt, XX, YY):
"""
Boneh and Durfee revisited by Herrmann and May
finds a solution if:
* d < N^delta
* |x| < e^delta
* |y| < e^0.5
whenever delta < 1 - sqrt(2)/2 ~ 0.292
"""
# substitution (Herrman and May)
PR.<u, x, y> = PolynomialRing(ZZ)
Q = PR.quotient(x*y + 1 - u) # u = xy + 1
polZ = Q(pol).lift()
UU = XX*YY + 1
# x-shifts
gg = []
for kk in range(mm + 1):
for ii in range(mm - kk + 1):
xshift = x^ii * modulus^(mm - kk) * polZ(u, x, y)^kk
gg.append(xshift)
gg.sort()
# x-shifts list of monomials
monomials = []
for polynomial in gg:
for monomial in polynomial.monomials():
if monomial not in monomials:
monomials.append(monomial)
monomials.sort()
# y-shifts (selected by Herrman and May)
for jj in range(1, tt + 1):
for kk in range(floor(mm/tt) * jj, mm + 1):
yshift = y^jj * polZ(u, x, y)^kk * modulus^(mm - kk)
yshift = Q(yshift).lift()
gg.append(yshift) # substitution
# y-shifts list of monomials
for jj in range(1, tt + 1):
for kk in range(floor(mm/tt) * jj, mm + 1):
monomials.append(u^kk * y^jj)
# construct lattice B
nn = len(monomials)
BB = Matrix(ZZ, nn)
for ii in range(nn):
BB[ii, 0] = gg[ii](0, 0, 0)
for jj in range(1, ii + 1):
if monomials[jj] in gg[ii].monomials():
BB[ii, jj] = gg[ii].monomial_coefficient(monomials[jj]) * monomials[jj](UU,XX,YY)
# Prototype to reduce the lattice
if helpful_only:
# automatically remove
BB = remove_unhelpful(BB, monomials, modulus^mm, nn-1)
# reset dimension
nn = BB.dimensions()[0]
if nn == 0:
print("failure")
return 0,0
# check if vectors are helpful
if debug:
helpful_vectors(BB, modulus^mm)
# check if determinant is correctly bounded
det = BB.det()
bound = modulus^(mm*nn)
if det >= bound:
print("We do not have det < bound. Solutions might not be found.")
print("Try with highers m and t.")
if debug:
diff = (log(det) - log(bound)) / log(2)
print("size det(L) - size e^(m*n) = ", floor(diff))
if strict:
return -1, -1
else:
print("det(L) < e^(m*n) (good! If a solution exists < N^delta, it will be found)")
# display the lattice basis
if debug:
matrix_overview(BB, modulus^mm)
# LLL
if debug:
print("optimizing basis of the lattice via LLL, this can take a long time")
BB = BB.LLL()
if debug:
print("LLL is done!")
# transform vector i & j -> polynomials 1 & 2
if debug:
print("looking for independent vectors in the lattice")
found_polynomials = False
for pol1_idx in range(nn - 1):
for pol2_idx in range(pol1_idx + 1, nn):
# for i and j, create the two polynomials
PR.<w,z> = PolynomialRing(ZZ)
pol1 = pol2 = 0
for jj in range(nn):
pol1 += monomials[jj](w*z+1,w,z) * BB[pol1_idx, jj] / monomials[jj](UU,XX,YY)
pol2 += monomials[jj](w*z+1,w,z) * BB[pol2_idx, jj] / monomials[jj](UU,XX,YY)
# resultant
PR.<q> = PolynomialRing(ZZ)
rr = pol1.resultant(pol2)
# are these good polynomials?
if rr.is_zero() or rr.monomials() == [1]:
continue
else:
print("found them, using vectors", pol1_idx, "and", pol2_idx)
found_polynomials = True
break
if found_polynomials:
break
if not found_polynomials:
print("no independant vectors could be found. This should very rarely happen...")
return 0, 0
rr = rr(q, q)
# solutions
soly = rr.roots()
if len(soly) == 0:
print("Your prediction (delta) is too small")
return 0, 0
soly = soly[0][0]
ss = pol1(q, soly)
solx = ss.roots()[0][0]
#
return solx, soly
def example():
############################################
# How To Use This Script
##########################################
#
# The problem to solve (edit the following values)
#
# the modulus
N = 116518679305515263290840706715579691213922169271634579327519562902613543582623449606741546472920401997930041388553141909069487589461948798111698856100819163407893673249162209631978914843896272256274862501461321020961958367098759183487116417487922645782638510876609728886007680825340200888068103951956139343723
# the public exponent
e = 113449247876071397911206070019495939088171696712182747502133063172021565345788627261740950665891922659340020397229619329204520999096535909867327960323598168596664323692312516466648588320607291284630435682282630745947689431909998401389566081966753438869725583665294310689820290368901166811028660086977458571233
# the hypothesis on the private exponent (the theoretical maximum is 0.292)
delta = .263 # this means that d < N^delta
#
# Lattice (tweak those values)
#
# you should tweak this (after a first run), (e.g. increment it until a solution is found)
m = 5 # size of the lattice (bigger the better/slower)
# you need to be a lattice master to tweak these
t = int((1-2*delta) * m) # optimization from Herrmann and May
X = 2*floor(N^delta) # this _might_ be too much
Y = floor(N^(1/2)) # correct if p, q are ~ same size
#
# Don't touch anything below
#
# Problem put in equation
P.<x,y> = PolynomialRing(ZZ)
A = int((N+1)/2)
pol = 1 + x * (A + y)
#
# Find the solutions!
#
# Checking bounds
if debug:
print("=== checking values ===")
print("* delta:", delta)
print("* delta < 0.292", delta < 0.292)
print("* size of e:", int(log(e)/log(2)))
print("* size of N:", int(log(N)/log(2)))
print("* m:", m, ", t:", t)
# boneh_durfee
if debug:
print("=== running algorithm ===")
start_time = time.time()
solx, soly = boneh_durfee(pol, e, m, t, X, Y)
# found a solution?
if solx > 0:
print("=== solution found ===")
if False:
print("x:", solx)
print("y:", soly)
d = int(pol(solx, soly) / e)
print("private key found:", d)
else:
print("=== no solution was found ===")
if debug:
print(("=== %s seconds ===" % (time.time() - start_time)))
if __name__ == "__main__":
example()
计算得到d

d = 663822343397699728953336968317794118491145998032244266550694156830036498673227937
最后RSA解密得到flag
#sage
c = 6838759631922176040297411386959306230064807618456930982742841698524622016849807235726065272136043603027166249075560058232683230155346614429566511309977857815138004298815137913729662337535371277019856193898546849896085411001528569293727010020290576888205244471943227253000727727343731590226737192613447347860
d = 663822343397699728953336968317794118491145998032244266550694156830036498673227937
n = 116518679305515263290840706715579691213922169271634579327519562902613543582623449606741546472920401997930041388553141909069487589461948798111698856100819163407893673249162209631978914843896272256274862501461321020961958367098759183487116417487922645782638510876609728886007680825340200888068103951956139343723
m = pow(c,d,n)
flag = bytes.fromhex(hex(m)[2:])
print(flag)
#DASCTF{6f4fadce-5378-d17f-3c2d-2e064db4af19}
决赛
JIGE
题目:
from gmpy2 import *
from hashlib import md5
from Crypto.Util.number import *
from sympy import *
message=XXXXXX
flag = 'DASCTF{'+md5(message).hexdigest()+'}'
p = getPrime(256)
q = getPrime(256)
assert p > q
n = p * q
e = 0x10001 #65537
m = bytes_to_long(message)
c = pow(m, e, n)
N = pow(p, 11) * q
d1 = getPrime(2000)
d2 = nextprime(d1 + getPrime(1000))
e1 = invert(d1, (pow(p, 10) * (p - 1) * (q - 1)))
e2 = invert(d2, (pow(p, 10) * (p - 1) * (q - 1)))
print(f'c = {c}')
print(f'N = {N}')
print(f'e1 = {e1}')
print(f'e2 = {e2}')
'''
c = 1206807362850301500412872994631699583002892289904471476523412128137773618173466272359196256671175708216503443050872032061782739223138420055283507423416014
N = 2769972268494457422626756881035680365791374852650158574600757210295514312723202376005992652087072745127197622954236101990451854162917559723722518981897097628959272185981219794883530767584841881112435651621934537571083225349949311621207409183741363444346000402562578450456645711882560128619242711698327278980081266684521150227771637075686195050487818614035674633610096137625035790732645845723462391311298302637686542232835581871746884130013070996968184596449672622781116306181302392813217024411730226953994648038878074679828551669837254152265441513617958229372943240214088399450834487541147274643124286983672414825675492669859487862886608989862491581277404219285561282275675102529309186029976081969486912697417132568798720377963032348920342675126756050513673101405664709184620104181654397512121633023592966498206439167017063802120497727043888826589401745202319033829767714724756122673441156732069183201569766204472097988081541
e1 = 2019789551019093124420297272384567741634310853673511749178611164072776295834811119450621861426097251426338761387400947669712980885171825246712129400923345045714062211913328737569990247227840399725205366257333392335095407072561983345874628219982166479392648454069496646733709717240335264301129096508037181465890164627276692696540046415077712807666335629672257696160380799064676194674815656129599632459744438651570247278542393673849808278202966914757001771181720554604666343205509941102540930522715083963211556704973593626830060515529201025992233193710032293801887064920491994892731059564016729184073592209700547810374523193198684464611594086849851216947777536116800375704509948170375971236541467019409313469504630988967011023280553412399918851721362010464793913169072750314771104456079550196999871385309352503595586614818585704007635869697001268017638044593755012233245211072647051603150602669710674109645174749520576295708163
e2 = 1583703592049684873685114339953437401553059969077370065722292597953883761416746559834892164581234164438330080827740800363198430396478731634782581595240544469072569584848085012992026166904750154014378216852052182115039653650262042887676171319128137818446568464062868113062233139620367603439600244722942659267734053620937005194939432606278744697609503707934576549002757520737074102321078418822923889399221127593632747782118004212766847803779185975309956970980280169387201657554918144244843463689062591309308003163435148432749203807727111886042271473627935482161154494976464303547129663586810973936239964669196142557977332701367619795730332662446023712262922190841226239360097490311533265953167562594634954870494720064733019963379137130620318351648747992348207245430288065933286523588168735037017481803349125024025183996822657547245651094947702268545834292593852409172743667084611813423926836813703374530071303810930647531379459
'''
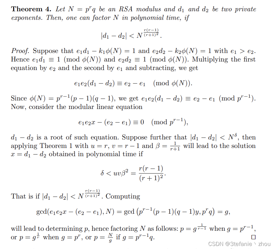
考察论文New attacks on RSA with Moduli N = p^rq

根据论文,可以构建如下多项式
e
1
e
2
(
d
1
−
d
2
)
≡
e
2
−
e
1
m
o
d
ϕ
(
n
)
e_1e_2(d_1-d_2) \equiv e_2-e_1 \space mod \space \phi(n)
e1e2(d1−d2)≡e2−e1 mod ϕ(n)
因为
ϕ
(
n
)
=
p
r
−
1
(
p
−
1
)
(
q
−
1
)
\phi(n) = p^{r-1}(p-1)(q-1)
ϕ(n)=pr−1(p−1)(q−1),所以上式子可以变为
e
1
e
2
x
−
(
e
2
−
e
1
)
≡
0
m
o
d
p
r
−
1
e_1e_2x-(e_2-e_1) \equiv0 \space mod \space p^{r-1}
e1e2x−(e2−e1)≡0 mod pr−1
当
∣
d
1
−
d
2
∣
<
n
r
(
r
−
1
)
(
r
+
1
)
2
|d_1-d_2|<n^\frac{r(r-1)}{(r+1)^2}
∣d1−d2∣<n(r+1)2r(r−1)时,在多项式时间内可解
copper出x,也就是d1-d2
计算
g
c
d
(
e
1
e
2
x
−
(
e
2
−
e
1
)
,
n
)
=
g
c
d
(
y
×
p
r
−
1
(
p
−
1
)
(
q
−
1
)
,
p
r
q
)
=
g
gcd(e_1e_2x-(e_2-e_1),n) = gcd(y\times p^{r-1}(p-1)(q-1),p^rq) = g
gcd(e1e2x−(e2−e1),n)=gcd(y×pr−1(p−1)(q−1),prq)=g
p的值按如下情况取
w
h
e
n
g
=
p
r
−
1
,
p
=
g
1
r
−
1
(
1
)
when \space g = p^{r-1},p = g^{\frac{1}{r-1}} \hspace {2cm} (1)
when g=pr−1,p=gr−11(1)
w
h
e
n
g
=
p
r
,
p
=
g
1
r
(
2
)
when \space g = p^{r},p = g^{\frac{1}{r}} \hspace {2.5cm} (2)
when g=pr,p=gr1(2)
w
h
e
n
g
=
p
r
−
1
q
,
p
=
n
g
(
3
)
when \space g = p^{r-1}q,p = \frac{n}{g} \hspace {2.1cm} (3)
when g=pr−1q,p=gn(3)
在本题中,我们得到的g为2560bit,p为256bit,那么
g
=
p
11
−
1
=
p
10
g = p^{11-1} = p^{10}
g=p11−1=p10
直接开10次方得到p,进而q = n//p^11,最后RSA解密再计算明文的md5摘要即可获得flag
exp:
#sage
import gmpy2
from hashlib import *
c = 1206807362850301500412872994631699583002892289904471476523412128137773618173466272359196256671175708216503443050872032061782739223138420055283507423416014
n = 2769972268494457422626756881035680365791374852650158574600757210295514312723202376005992652087072745127197622954236101990451854162917559723722518981897097628959272185981219794883530767584841881112435651621934537571083225349949311621207409183741363444346000402562578450456645711882560128619242711698327278980081266684521150227771637075686195050487818614035674633610096137625035790732645845723462391311298302637686542232835581871746884130013070996968184596449672622781116306181302392813217024411730226953994648038878074679828551669837254152265441513617958229372943240214088399450834487541147274643124286983672414825675492669859487862886608989862491581277404219285561282275675102529309186029976081969486912697417132568798720377963032348920342675126756050513673101405664709184620104181654397512121633023592966498206439167017063802120497727043888826589401745202319033829767714724756122673441156732069183201569766204472097988081541
e1 = 2019789551019093124420297272384567741634310853673511749178611164072776295834811119450621861426097251426338761387400947669712980885171825246712129400923345045714062211913328737569990247227840399725205366257333392335095407072561983345874628219982166479392648454069496646733709717240335264301129096508037181465890164627276692696540046415077712807666335629672257696160380799064676194674815656129599632459744438651570247278542393673849808278202966914757001771181720554604666343205509941102540930522715083963211556704973593626830060515529201025992233193710032293801887064920491994892731059564016729184073592209700547810374523193198684464611594086849851216947777536116800375704509948170375971236541467019409313469504630988967011023280553412399918851721362010464793913169072750314771104456079550196999871385309352503595586614818585704007635869697001268017638044593755012233245211072647051603150602669710674109645174749520576295708163
e2 = 1583703592049684873685114339953437401553059969077370065722292597953883761416746559834892164581234164438330080827740800363198430396478731634782581595240544469072569584848085012992026166904750154014378216852052182115039653650262042887676171319128137818446568464062868113062233139620367603439600244722942659267734053620937005194939432606278744697609503707934576549002757520737074102321078418822923889399221127593632747782118004212766847803779185975309956970980280169387201657554918144244843463689062591309308003163435148432749203807727111886042271473627935482161154494976464303547129663586810973936239964669196142557977332701367619795730332662446023712262922190841226239360097490311533265953167562594634954870494720064733019963379137130620318351648747992348207245430288065933286523588168735037017481803349125024025183996822657547245651094947702268545834292593852409172743667084611813423926836813703374530071303810930647531379459
e = 65537
a = e1 * e2
b = (e2 - e1)
R.<x> = PolynomialRing(Zmod(n))
f = a*x - b
f = f.monic()
res = f.small_roots(2^2000,beta = 0.4)
ans = int(res[0])
tmp = GCD(a*ans - b,n)
p = gmpy2.iroot(tmp,10)[0]
q = n//(p**11)
phi = (p-1)*(q-1)
d = inverse_mod(e,phi)
m = pow(c,d,p*q)
plain = bytes.fromhex(hex(m)[2:])
#YOU MUST BE A XIAOHEIZI
flag = 'DASCTF{'+md5(plain).hexdigest()+'}'
print(flag)
#DASCTF{4ed94d288633e880f9d8a53039247805}
【世上伤病千百种,情伤病入膏肓,心病无药可救。】
博客介绍了RSA密码题初赛和决赛的解题思路。初赛根据给定条件满足Boneh and Durfee attack,套用模板修改参数计算d,再进行RSA解密得flag;决赛依据论文构建多项式,在特定条件下求解,根据不同情况确定p值,最后RSA解密并计算md5摘要获flag。
388

被折叠的 条评论
为什么被折叠?



