206.反转链表
题目:
给你单链表的头节点 head ,请你反转链表,并返回反转后的链表。
示例:
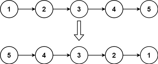
示例 1:

输入:head = [1,2,3,4,5] 输出:[5,4,3,2,1]
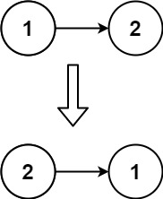
示例 2:

输入:head = [1,2] 输出:[2,1]
示例 3:
输入:head = [] 输出:[]
提示:
- 链表中节点的数目范围是
[0, 5000] -5000 <= Node.val <= 5000
整体思路:
pre cur next
nullptr ->1 ->2 ->3 ->4 ->5
将所有cur->next原向右指指向next全都变成向左指也就是指向pre,再将cur、pre、next依次向后移动,循环前面的思路,直至cur为空此时next为空,pre指向原链表中的最后一个节点,即反转链表后的头节点,箭头也将向右都指向了向左,输出头节点。
代码:
/**
* Definition for singly-linked list.
* struct ListNode {
* int val;
* ListNode *next;
* ListNode() : val(0), next(nullptr) {}
* ListNode(int x) : val(x), next(nullptr) {}
* ListNode(int x, ListNode *next) : val(x), next(next) {}
* };
*/
class Solution {
public:
ListNode* reverseList(ListNode* head) {
if(!head) return nullptr;//判空
ListNode *pre = nullptr, *cur = head;//定义一个虚头节点实现指针反转
ListNode *next = head -> next;//定义next 来存储“下一个节点”,否则查找不到循环后的下一个节点(链断开了)
while(cur != nullptr){
cur -> next = pre;
pre = cur;
cur = next;
if(next) next = next -> next;
}
return pre;
}
};

1231

被折叠的 条评论
为什么被折叠?



