KL散度(Kullback-Leibler Divergence,简称KL散度)包含交叉熵损失(Cross-Entropy Loss, 简称CE损失)的原因在于它们的数学表达和目标非常相似,且交叉熵损失是KL散度的一部分。我们可以通过它们的公式推导来解释为什么KL散度包含CE损失。
1. 交叉熵损失的定义
交叉熵损失用于度量两个概率分布之间的距离,通常用于分类任务中的目标类别与模型预测概率分布之间的差异。交叉熵损失的公式如下:

其中:
- p(i)p(i)p(i) 是真实标签的概率分布(通常是one-hot编码,正确类别为1,其他类别为0)。
- q(i)q(i)q(i) 是模型的预测概率分布。
交叉熵损失的目标是使模型的预测 q(i)q(i)q(i) 尽可能接近真实分布 p(i)p(i)p(i)。
2. KL散度的定义
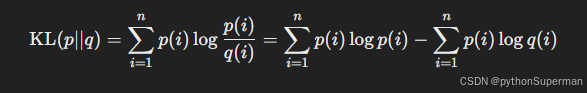
KL散度是一种衡量两个概率分布之间差异的度量,通常用于计算一个概率分布相对于另一个分布的"额外"信息。KL散度的公式如下:

其中:
- p(i)p(i)p(i) 是真实分布(目标分布),
- q(i)q(i)q(i) 是模型的预测分布。
KL散度的目标是衡量模型预测 q(i)相对于真实分布 p(i) 的差异。如果 p(i) 和 q(i) 完全一致,则 KL散度为0。
3. KL散度与交叉熵的关系
KL散度可以拆解为两部分:交叉熵损失和真实分布的熵。我们可以通过公式推导出这种关系:

其中:
- 第一项
是真实分布 ppp 的熵(Entropy)。 - 第二项
是真实分布 p 和预测分布 q之间的交叉熵(Cross-Entropy)。
因此,KL散度可以写成:

注意,真实分布的熵 Entropy(p)\text{Entropy}(p)Entropy(p) 是一个固定的值,与模型的预测无关。因此,在优化过程中,最小化KL散度实际上等价于最小化交叉熵损失。
4. KL散度包含交叉熵损失的原因
从公式推导可以看出,KL散度实际上是交叉熵损失加上一个常数项(真实分布的熵)。由于真实分布的熵是固定的,因此最小化KL散度与最小化交叉熵损失是等价的。
- 交叉熵损失:度量模型预测与真实分布之间的距离。
- KL散度:在交叉熵损失的基础上,还考虑了真实分布本身的信息量(熵),但这个信息量是固定的。
因此,KL散度包含交叉熵损失,KL散度的最小化过程实际上也在最小化交叉熵损失。
5. 实际应用中的例子
在知识蒸馏中,KL散度常用于将学生模型的预测分布与教师模型的预测分布对齐,因为KL散度能够捕捉到两个概率分布之间的细微差异。而交叉熵损失更多用于将模型的预测与真实标签对齐。
- 知识蒸馏中的KL散度:用于衡量学生模型预测分布和教师模型预测分布之间的差异。
- 分类任务中的交叉熵损失:用于衡量模型预测分布与真实标签之间的差异。
总结
KL散度包含交叉熵损失的原因在于它们的公式结构,KL散度的计算中包含了交叉熵损失部分,加上一个固定的熵项。优化KL散度的过程中,也在优化交叉熵损失。
1033

被折叠的 条评论
为什么被折叠?



