论文地址:https://arxiv.org/abs/2310.11511
项目主页:https://selfrag.github.io/
Self-RAG学习检索、生成和批评,以提高 LM 的输出质量和真实性,在六项任务上优于 ChatGPT 和检索增强的 LLama2 Chat。
尽管大型语言模型(LLM)具有非凡的能力,但由于它们完全依赖于它们所封装的参数知识,因此通常会产生包含事实不准确的响应。他们经常产生幻觉,尤其是在长尾方面,他们的知识已经过时,并且缺乏归因。
检索增强是否是银弹
检索增强生成 (RAG) 是种临时方法,通过检索相关知识来增强 LM,减少此类问题,并在 QA 等知识密集型任务中显示出有效性。然而,不加区别地检索和合并固定数量的检索到的段落,无论检索是否必要,或者段落是否相关,都会降低 LM 的多功能性或可能导致生成无用的响应。此外,并不能保证所引用的证据会影响几代人。
Self-RAG的概念
自反思检索增强生成(Self-RAG)是个新框架,通过检索和自反思来提高LM的质量和事实性。我们的框架训练单个任意LM,该LM可以自适应地按需检索段落(例如,可以在生成过程中多次检索或完全跳过检索),并使用称为反思令牌的特殊标记生成并反映检索到的段落及其自己的生成。生成反射令牌使LM在推理阶段可控,使其能够根据不同的任务要求调整其行为。
Self-RAG的好处
实验表明,Self-RAG(7B和13B参数)在各种任务上显着优于最先进的LLM和检索增强模型。具体来说,Self-RAG在开放域QA、推理和事实验证任务上优于ChatGPT和检索增强的Llama2-chat,并且相对于这些模型,它在提高长格式生成的事实性和引用准确性方面显示出显着的收益。
1. 基本思想
自我反思检索增强生成(Self-RAG),通过按需检索和自我反思来提高LLM的生成质量,包括其事实准确性,而不损害其通用性。以端到端方式训练任意LLM,使其学会在任务输入时,通过生成任务输出和间歇性特殊标记(即反思标记)来反思自己的生成过程。反思标记分为检索标记和批判标记,分别表示检索需求和生成质量。
Self-RAG是个新的框架,通过自我反思令牌(Self-reflection tokens)来训练和控制任意LM。它主要分为三个步骤:检索、生成和批评。
- 检索:Self-RAG首先解码检索令牌(retrieval token)以评估是否需要检索,并控制检索组件。如果需要检索,LM将调用外部检索模块查找相关文档。
- 生成:如果不需要检索,模型会预测下一个输出段。如果需要检索,模型首先生成批评令牌(critique token)来评估检索到的文档是否相关,然后根据检索到的段落生成后续内容。
- 批评:如果需要检索,模型进一步评估段落是否支持生成。最后,一个新的批评令牌(critique token)评估响应的整体效用。

具体来说,在给定输入提示和前几代的情况下,SELF-RAG 首先会判断用检索到的段落来增强继续生成是否有帮助。
- 如果有帮助,它就会输出一个检索标记,按需调用检索模型(步骤 1)。
- 随后,Self-RAG 同时处理多个检索到的段落,评估它们的相关性,然后生成相应的任务输出(步骤 2)。
- 然后,它生成批判标记来批判自己的输出,并从事实性和整体质量方面选择最佳输出(第 3 步)。
这一过程不同于传统的 RAG(图 1 左),后者无论检索的必要性如何(例如,下图示例不需要事实性知识),都会持续检索固定数量的文档进行生成,而且从不对生成质量进行二次检查。
此外,SELF-RAG 还会为每个段落提供引文,并对输出结果是否得到段落支持进行自我评估,从而更容易进行事实验证。

SELF-RAG 通过将任意 LM 统一为扩展模型词汇表中的下一个标记预测,训练其生成带有反射标记的文本。
在SELF-RAG框架中,“检索令牌”、“批评令牌”和“自我反思令牌”是特殊设计的元信息单元,它们被嵌入到模型的词汇表中,作为模型生成过程的一部分,帮助模型进行更智能、更有针对性的操作和自我评估。
- 检索令牌:当模型在处理输入和已生成文本时,会预测是否需要检索外部知识库以获得相关信息。若模型预测结果为“需要检索”,则会触发检索模块去实时查找相关信息。检索令牌代表了模型在生成过程中是否应结合外部知识源来优化生成内容。
- 批评令牌:模型在生成每个输出段落之后,会生成一种或多种批评令牌来评估生成内容的质量、相关性和信息支持程度。比如,模型可能会生成“ISREL”、“ISSUP”等令牌来评判所检索到的段落是否相关,生成的段落内容是否完全、部分或没有得到检索段落的支持。
- 自我反思令牌:这类令牌涵盖上述提到的检索和批评功能,总体来说是对模型生成内容的整体评估和反馈。在SELF-RAG中,自我反思令牌的生成贯穿于模型生成全过程,不仅用于决定何时检索,还用于分析所生成内容与检索到的信息之间的联系,以及生成内容本身的有用性和价值。通过生成这些令牌,模型能够自我检查和改进生成文本的事实准确性,确保生成答案符合证据或事实依据,并可以根据不同的任务需求和用户偏好动态调整模型的行为。
所有这些令牌都是由模型在训练阶段通过对原始语料库离线插入的方式学习而来,其中插入工作由预先训练好的批评模型完成,而模型本身是在带有这些插入的多样化文本集合上进一步训练的。这样,在推理阶段,模型就能根据生成的不同反思令牌预测结果来实施灵活的解码算法,调整检索频率或遵循特定约束,进而产生更加准确、有据可查并且适合不同应用场景和用户需求的高质量文本输出。
2. 实现详情
SELF-RAG 通过检索和自我反思来提高 LLM 的质量和事实性,同时又不牺牲 LLM 的原始创造性和多功能性。

端到端训练可以让 LMM 在必要时根据检索到的段落生成文本,并通过学习生成特殊标记对输出进行批判。
这些反思标记(表 1)表示需要检索或确认输出的相关性、支持性或完整性。相比之下,常见的 RAG 方法会不加区分地检索段落,而无法确保引用来源的完整支持。

2.1 问题形式化和概述
形式上,给定输入 x,训练 M 按顺序生成由多个片段 y=y1,…,yT 组成的文本输出 y,其中 yt 表示第 t 个片段的标记序列。

首先看推理阶段。图 1 和算法 1 展示了 SELF-RAG 的推理情况。
对于每一个 x 和前序生成结果 y<t,模型都会解码一个检索标记,以评估检索的效用。如果不需要检索,模型就会像标准 LM 一样预测下一个输出段落。如果需要检索,模型就会生成一个评论标记,用于评估检索段落的相关性,然后生成下一个回复段落以及一个评论标记,用于评估回应段中的信息是否得到段落的支持。
SELF-RAG 并行处理多个段落以生成每个段落,并使用自己生成的反射标记对生成的任务输出执行软约束或硬控制。例如:
在上图中,由于 d2 没有提供直接证据(ISREL 为不相关),且 d3 输出仅得到部分支持,而 d1 得到完全支持,因此在第一个时间步骤中选择了检索到的段落 d1。
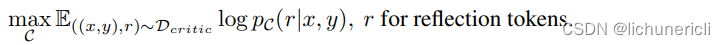
2.2 训练阶段

Self-RAG的训练包括三个模型:检索器(Retriever)、评论家(Critic)和生成器(Generator)。
- 首先,训练评论家,使用检索器检索到的段落以及反思令牌增强指令 - 输出数据。
- 然后,使用标准的下一个 token 预测目标来训练生成器 LM,以学习生成自然延续 (continuations) 以及特殊 tokens (用来检索或批评其自己的生成内容)。
下面介绍两个模型的监督数据收集和训练,即批判者 C 和生成器 M。
2.2.1 训练批判者模型
数据收集。对每个片段的反射标记进行人工标注的成本很高。最先进的 LLM(如 GPT-4)可有效用于生成此类反馈。然而,依赖这种专有的 LLM 可能会提高 API 成本并降低可重复性,通过促使 GPT-4 生成反射标记来创建监督数据,然后将其知识提炼为内部 C:{Xsample,Ysample}∼{X,Y}。

如表 1 所示,不同的反射标记组有不同的定义和输入,因此我们对它们使用不同的指令提示。反射标记定义如下:
- 按需检索(Retrieve):给定输入和前一步生成(如适用)后,LM 会确定续篇是否需要事实依据。no 表示不需要检索,因为序列不需要事实基础或可能不会通过知识检索得到加强;yes 表示需要检索。continue 表示一个模型可以继续使用之前检索到的证据。例如,一段话可能包含丰富的事实信息,因此 SELF-RAG 会根据这段话生成多个片段。
- 相关性(ISREL):检索到的知识不一定总是与输入相关。这一方面表明证据是否提供了有用的信息(相关)。
- 支持 (ISSUP):归因是指输出是否得到某些证据的充分支持。这一方面判断的是输出中的信息有多少是由证据所包含的,归因分为三个等级:完全支持、部分支持和不支持 / 矛盾。
- 有用(ISUSE):将感知到的有用性定义为回复是否是对查询有帮助且信息丰富的答案,而与回复是否符合事实无关,这也可视为可信度。对于有用性,采用五级评价(1 为最低,5 为最高)。
以” 检索” 为例。向 GPT-4 发送了一条特定类型的指令(” 给定指令,请判断从网络上查找一些外部文档是否有助于生成更好的回复。”),然后用 fewshot 演示了 I 的原始任务输入 x 和输出 y,以预测适当的反映标记文本:p(r|I,x,y)。
其针对每个标记,都设定了一些 prompt,这块是整个数据的关键:
表 8 显示了初始检索标记的指令和示例。

表 9 显示了用于收集” 检索给定指令”、” 前面的句子” 和” 以前检索过的段落” 三路输出标记的指令和示例。

表 10 显示了用于收集 ISREL 三路输出标记的指令和示例。

表 11 显示了用于收集 ISREL 三路输出标记的指令和示例。

表 12 显示了用于收集 ISUSE 的五路输出标记的指令和示例。

人工评估结果表明,GPT-4 的反射标记预测与人工评估结果具有很高的一致性,所以为每种类型收集了 4k-20k 个有监督的训练数据,并将它们组合起来形成 C 的训练数据,样式如下:

训练数据的样式如下:

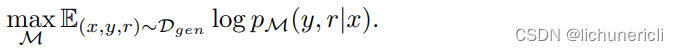
批判学习。在收集到训练数据 Dcritic 之后,用预先训练好的 LM 对 C 进行初始化,并使用标准的条件语言建模目标–最大化似然–对其进行训练:
![]()
最大化似然(Maximum Likelihood Estimation,MLE)是一种统计方法,用于估计一个概率模型的参数。这种方法通过寻找能够使观察到的数据出现概率最大的参数值来实现。在统计推断中,我们通常有一个概率模型,这个模型能够描述我们认为产生观测数据的随机过程。模型的参数通常是未知的,我们的目标是通过观测数据来估计这些参数。最大化似然的思路是这样的:
- 假设模型:首先,我们假设数据是由某个概率分布生成的,比如正态分布、二项分布等,这个分布由一些未知参数确定。
- 构建似然函数:似然函数是给定模型参数下观测数据出现的概率。如果数据是独立同分布的,似然函数就是所有数据点概率的乘积。
- 最大化似然函数:我们的目标是找到一组参数,使得似然函数达到最大值。这组参数就是我们对原始模型参数的最佳估计。
- 求解参数:通常通过求导数并令其等于零来找到似然函数的极大值点,从而得到参数的估计值。
2.2.2 训练生成器模型
数据收集。给定一对输入 - 输出(x,y),使用检索模型和批判者模型来增强原始输出 y,以创建精确模拟 SELF-RAG 推理时间过程的监督数据。对于每个语段 yt∈y,运行 C 来评估额外的语段是否有助于增强生成。如果需要检索,则添加检索特殊标记 Retrieve=yes,然后 R 检索前 K 个段落 D。对于每个段落,C 进一步评估该段落是否相关,并预测 ISREL。如果段落相关,C 会进一步评估该段落是否支持模型生成,并预测 ISSUP。
其中,批判标记 ISREL 和 ISSUP 会附加在检索到的段落之后。在输出 y(或 yT)结束时,C 会预测总体效用标记 ISUSE,并将包含反射标记和原始输入对的增强输出添加到 Dgen 中。

生成器学习。使用标准的下一个标记目标,在添加了反射标记 Dgen 的编辑语料库上训练生成器模型 M:

M 与 C 训练不同,M 学习预测目标输出和反射标记。在训练过程中会屏蔽掉检索到的文本块以计算损失,并用一组反射标记 {Critique,Retrieve} 来扩展原始词汇 V。
2.3 推理阶段
Self-RAG 通过学习生成反思令牌,使得在不需要训练 LMs 的情况下为各种下游任务或偏好量身定制模型行为。特别是:
- 它可以适应性地使用检索令牌进行检索,因此模型可以自发判断是不是有必要进行检索。
- 它引入了多种细粒度的批评令牌,这些令牌用于评估生成内容的各个方面的质量。在生成过程中,作者使用期望的批评令牌概率的线性插值进行 segment 级的 beam search,以在每一个时间步骤中确定最佳的 K 个续写方案。
在推理阶段,Self-RAG 通过生成反射标记来自我评估输出结果,从而使其行为适应不同的任务要求。
对于要求事实准确性的任务,目标是让模型更频繁地检索段落,以确保输出结果与可用证据密切吻合。在开放性较强的任务中,如撰写个人经历文章,重点则转向减少检索次数,优先考虑整体创造性或实用性得分。
因此,在推理过程中需要实施控制以满足这些不同目标。方法如下:
带阈值的自适应检索。SELF-RAG 通过预测” 检索”(Retrieve)来动态决定何时检索文本段落。另外还允许设置阈值。具体来说,如果在 Retrieve 的所有输出标记中生成 Retrieve=Yes 标记的概率超过了指定的阈值,就会触发检索:

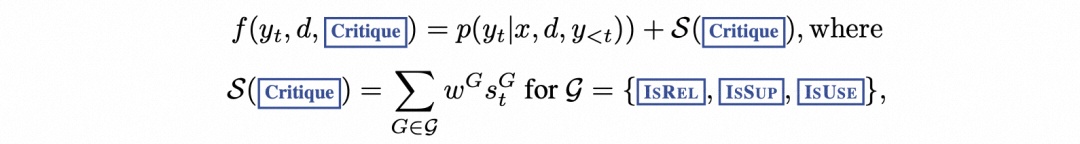
带批判标记的树状解码。在每个分段步骤 t,当需要根据硬条件或软条件进行检索时,R 会检索 K 个段落,生成器 M 会并行处理每个段落,并输出 K 个不同的候选续篇。进行分段级波束搜索(波束大小 = B),以获得每个时间戳 t 的前 B 个分段连续性,并在生成结束时返回最佳序列。
每个段落 yt 相对于段落 d 的得分都会用批判者得分 S 更新,该得分是每个段落 yt 和段落 d 的归一化概率的线性加权和。
对于每个批判标记组 G(如 ISREL),将其在时间戳 t 的得分记为 sGt,并按如下方式计算片段得分:

3.实验设置与结果分析
3.1 任务和数据集
该工作在一系列下游任务上对 SELF-RAG 和各种基线进行了评估,用旨在评估整体正确性、事实性和流畅性的指标对输出进行了整体评估。
封闭集任务包括两个数据集,即关于公共卫生的事实验证数据集(PubHealth)和根据科学考试创建的多选推理数据集(ARC-Challenge),使用准确率作为评估指标,并对测试集进行报告。
两个开放域问题解答(QA)数据集:PopQA 和 TriviaQA-unfiltered,其中系统需要回答有关事实知识的任意问题。
长式生成任务包括传记生成任务和长式质量保证任务 ALCE-ASQA,使用 FactScore 来评估传记,并使用基于 MAUVE 的官方指标正确性、流畅性以及引用精度和召回率来评估 ASQA。
3.2 实验结果
表 2(上)列出了相关对比效果:

如表 2(下)所示:
在 PubHealth 和 ARC-Challenge 上,有检索功能的基线与没有检索功能的基线相比,性能提升并不明显。
大多数带检索的基线模型在提高引用准确率方面都很吃力。
在实际精确度的度量上,SELF-RAG7B 偶尔会优于 13B,这是因为较小的 SELF-RAG 通常倾向于生成精确且较短的输出。
Llama2-FT7B 是在与 SELF-RAG 相同的指令 - 输出对上训练的基准 LM,不进行检索或自我反省,仅在测试时进行检索增强,它落后于 SELF-RAG。这一结果表明,SELF-RAG 的收益并非完全来自训练数据,并证明了 SELF-RAG 框架的有效性。


Self-RAG 在六项任务中均超越了原始的 ChatGPT 或 LLama2-chat,并且在大多数任务中,其表现远超那些广泛应用的检索增强方法。以上是一些消融实验,可以看到:每一个组件和技术在 Self-RAG 中都起到了至关重要的作用。调整这些组件可以显著影响模型的输出性质和质量,这证明了它们在模型中的重要性。
综上所述,Self-RAG 作为一种新型的检索增强生成框架,通过自适应检索和引入反思令牌,不仅增强了模型的生成效果,还提供了对模型行为的更高程度的控制。这项技术为提高开放领域问答和事实验证的准确性开辟了新的可能性,展示了模型自我评估和调整的潜力。
4. 总结
SELF-RAG,即自我反思式检索增强生成模型,是一种新的框架,旨在通过动态检索相关知识和自我反思机制来提升大型语言模型(LLMs)的生成质量和事实准确性。传统的LLMs由于仅依赖其参数化的内部知识,在生成文本时常常出现事实性错误。为了改善这个问题,已经提出了检索增强生成(RAG)方法,它将外部来源的相关片段引入LLMs的输入中以减少错误。
然而,常规RAG方法在生成过程中不论是否需要或所检索到的内容是否相关,都会固定数量地检索并整合文档,这可能限制LLMs的多功能性,并可能导致生成低质量或者不相关的响应。针对这一问题,SELF-RAG框架训练一个单一的任意大小的LLM,使其能够根据任务需求适应性地按需检索相关段落,并利用特殊的“反思令牌”对检索到的内容以及自身生成的部分进行生成和评价。
在SELF-RAG中,模型会生成不同类型(如检索和批判类型)的反思令牌,这些令牌用于指示是否需要执行检索操作,以及评估生成部分的质量、相关性和完整性。例如,在处理一个问题或生成一段文本时,模型首先判断是否有必要调用检索模块来获取额外的知识支持。如果决定需要检索,则输出特定的“检索”令牌触发检索步骤,接着并发处理多个检索到的文档,评估它们的相关性,并基于此生成相应的文本输出。然后,模型还会生成批判类型的令牌,用来批评自己的输出,并从中选择最准确、最有根据的答案。
整个过程包含了灵活调整下游应用中检索频率的能力,同时利用反思令牌实现用户偏好定制,例如在分段级使用带权重线性求和的反思令牌概率作为分段得分来进行束搜索,从而引导模型行为满足硬性或软性约束条件。
实验表明,SELF-RAG框架在多样化的任务上显著优于现有的最先进的LLMs及基于检索增强的方法,特别是在开放域问答、推理、事实验证任务中表现突出,并且对于长篇文本生成的准确性与引文准确性有显著提高。此外,SELF-RAG通过离线插入由训练好的批评模型生成的反思令牌来指导模型训练,降低了与强化学习中的在线奖励模型训练相比的成本,并且能够在推理阶段保持模型可控性。
4892

被折叠的 条评论
为什么被折叠?



