Tensorflow2笔记(二)——常用函数
常用函数
- 强制tensor转换为该数据类型
tf.cast(张量名, dtype=数据类型) - 计算张量维度上元素的最小值
tf.reduce_min(张量名) - 计算张量维度上元素的最大值
tf.reduce_max(张量名)
**axis**在一个二维张量或数组中,axis=0表示对列的操作,axis=1表示对行的操作
- 计算张量沿指定维度的平均值`tf.reduce_mean(张量名, axis=操作轴)`
- 计算张量沿着指定维度的和`tf.reduce_sum(张量名, axis=操作轴)`
- 若不指定axis,则对所有数据进行操作
tf.Variable()将变量标记为“可训练”的,被标记的变量会在反向传播中记录梯度信息。神经网络训练中,经常使用该函数标记待训练参数
数学运算函数
- 四则运算
tf.add,tf.subtract,tf.multiply,tf.divide - 平方、次方、开方
tf.square(张量名),tf.pow(张量名, n次方数),tf.sqrt(张量名) - 矩阵乘
tf.matmul(矩阵1, 矩阵2)
只有维度相同的张量才可以做四则运算
tf.add(张量1, 张量2)
tf.data.Dataset.from_tensor_slices()
- 特征与标签配对
features = tf.constant([12, 23, 10, 17])
labels = tf.constant([0, 1, 1, 0])
dataset = tf.data.Dataset.from_tensor_slices((features, labels))
print(dataset)
for element in dataset:
print(element)
tf.GradientTape
- 使用
with结构记录计算过程,gradient求出张量的梯度 - with结构记录计算过程,gradient求出张量的梯度
with tf.GradientTape() as tape:
...若干计算过程..
grad = tape.gradient(函数, 对谁求导)
- 实现损失函数loss对参数w的求导
with tf.GradientTape() as tape:
w = tf.Variable(tf.constant(3.0))
loss = tf.pow(loss, w)
grad = tape.gradient(loss, w)
print(grad)
enumerate
- 遍历每个元素(如列表、元组或字符串),并给每个元素配上索引,组合为:索引 元素,常在for循环中使用
seq = ['one', 'two', 'three']
for i, element in enumerate(seq):
print(i, element)
tf.one_hot
- 独热编码(one-hot encoding):在分类问题中,常用独热码作为标签,标记类别:1表示是,0表示非
tf.one_hot(待转换数据, depth=几分类)
classes = 3
labels = tf.constant([1, 0, 2]) # 输入的元素最小为0,最大为2
output = tf.one_hot(labels, depth=classes)
print(output)
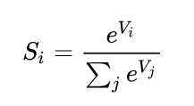
tf.nn.softmax(x)
- 使输出符合概率分布

- 当n分类的n个输出(y0, y1, y2 …)通过softmax()函数,变为概率分布
y = tf.constant([1.01, 2.01, -0.66])
y_pro = tf.nn.softmax(y)
print(y_pro)
assign_sub
- 赋值操作,更新参数的值并返回
- 调用
assign_sub之前,先用tf.Variable定义变量w为可训练
# w自减1,初始值为4
w = tf.Variable(4)
w.assign_sub(1)
print(w)
tf.argmax
- 返回张量沿着指定维度最大值的索引
import numpy as np
test = np.array([1, 2, 3], [2, 3, 4], [5, 4, 3], [8, 7, 2])
print(test)
print(tf.argmax(test, axis=0)) # 返回每一行最大值的索引
print(tf.argmax(test, axis=1)) # 返回每一列最大值的索引
这篇博客详细介绍了TensorFlow2中的常用函数,包括张量的类型转换、求最小值、最大值、平均值、求和,以及Variable、GradientTape等核心概念。还涉及数学运算、矩阵乘法、数据集创建、独热编码、softmax函数和参数更新。通过示例代码展示了如何在实际操作中应用这些函数和技巧。
2132

被折叠的 条评论
为什么被折叠?



