本文详解paper “A Tutorial on HMMs and Selected Applications in Speech Recognition"并进行matlab实现(尽量用其他编程语言通用的实现)
**为方便阅读代码,注释部分用python的”#"
实现HMM模型用于简单的曲线分类
先定义HMM变量
曲线在T个时刻取值
observation定义为曲线可以取的值,这里先把曲线做归一化,然后从0到1之间以0.1为间隔切为10个区间,依次标号1到10,那么observation就有10个,为1到10的值
train_data定义为训练的曲线集,集中到一个矩阵,每行为一个observation序列,行数为train_data的数量
N为state数,这里设为5
maxIter = 100; #迭代次数
N = 5; #number of states
M = 10; #number of observations
T = size(train_data, 2); #training data列数应一致
初始化HMM参数,可以用均匀分布,也可以用随机数



这里pai和A用均匀分布,B用随机分布
pai = 1/N * ones(N,1);
A = 1/N * ones(N,N); #state transition matrix
B = rand(N,M); #row: states, col: observations
初始化计算过程中的变量alpha, beta, gamma, xi
xi的size本来应该是state * state * T
但注意在计算aij时只用到了xi的1到T-1时刻求和,因此减掉一个维度T,直接定义为1到T-1时刻求和的xi, 变量定义为xi_sumT_1

alpha = zeros([N, T]); #row: states, col: time, for calculating problem 1
beta = zeros([N, T]); #row: states, col: time, for calculating problem 1
gamma = zeros([N, T]); #row: states, col: time, for calculating problem 2
#xi = zeros([N*N, T-1]); #row: state*state, col:time-1, for calculating problem 3
xi_sumT_1 = zeros(N, N); #直接对t时刻求和 row:states, col:states, for calculating problem 3
trainNum = size(train_data, 1);
另外一些辅助变量
iter = 1; #迭代次数计数器
converged = 0; #0:未收敛 1:收敛
previous_loglik = -inf; #记录前一次likelihood
converge_thres = 1e-4; #判断收敛的阈值
HMM设计的3个基本问题:
- 给定一个HMM模型,一个观测信号序列,估计出序列的概率
给出observation序列, 模型lambda=(A,B,pi), 计算P(O | lambda)
即模型与Observation有多匹配 - 决定最好的模型states
给出observation序列,模型lambda=(A,B,pi), 选择state序列Q=q1q2…qT
即探索隐性状态 - 调整模型参数来最好地解释观测到的信号
调整lamba=(A,B,pi)使P(O | lambda)最大
即用observation进行训练
这里要训练的HMM模型是用来识别曲线的,每个曲线类型都要训练一个模型(problem3),而后输入测试曲线,计算在每个模型下的概率(problem1),概率最大的为匹配类型,达到分类效果
每个类型的模型训练都是相同的方法,因此具体写一个类型的train_data
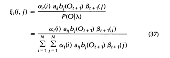
problem3中需要用到的变量为xi

而计算xi需要用到状态转移矩阵A,state下observation概率矩阵b, problem1中的alpha和beta
state下observation概率矩阵b的计算:
根据state下observation概率矩阵B
给定一个训练曲线,这个曲线在1到T时刻有值,取值范围在observation内
那么根据每个时刻t处的observation, 和指定的state,可以在B矩阵中查找到概率,可以知道b的size为state * T, 例如state为j, 时刻t时的值为bj(Ot)
for t=1:T
b(:,t) = B(:, train_data

本文深入解析了HMM模型,并通过Matlab实现其在语音识别中的应用。文章详细介绍了HMM模型的三个基本问题,包括如何估计观测信号序列的概率、确定最佳模型状态以及调整模型参数以解释观测信号。
最低0.47元/天 解锁文章
2万+

被折叠的 条评论
为什么被折叠?



