5.2 图的遍历
5.2.1 广度优先搜索
概念
广度优先搜索(也称宽度优先搜索,缩写BFS)是连通图的一种遍历算法这一算法也是很多重要的图的算法的原型。Dijkstra单源最短路径算法和Prim最小生成树算法都采用了和宽度优先搜索类似的思想。其别名又叫BFS,属于一种盲目搜寻法,目的是系统地展开并检查图中的所有节点,以找寻结果。换句话说,它并不考虑结果的可能位置,彻底地搜索整张图,直到找到结果为止。基本过程,BFS是从根节点开始,沿着树(图)的宽度遍历树(图)的节点。如果所有节点均被访问,则算法中止。一般用队列数据结构来辅助实现BFS算法。
基本步骤
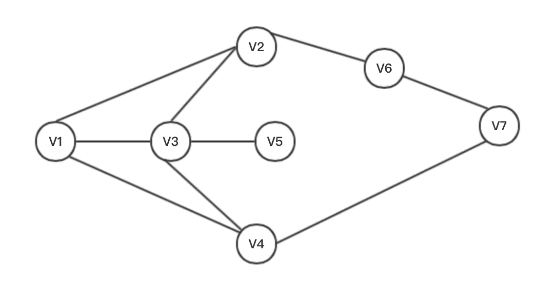
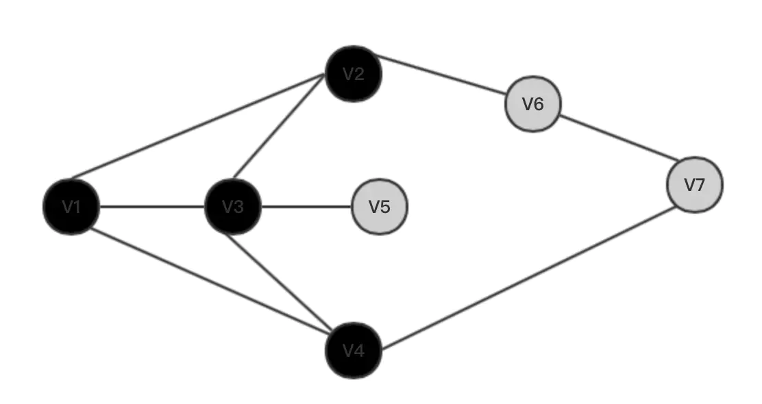
- 给出一连通图,如图,初始化全是白色(未访问);

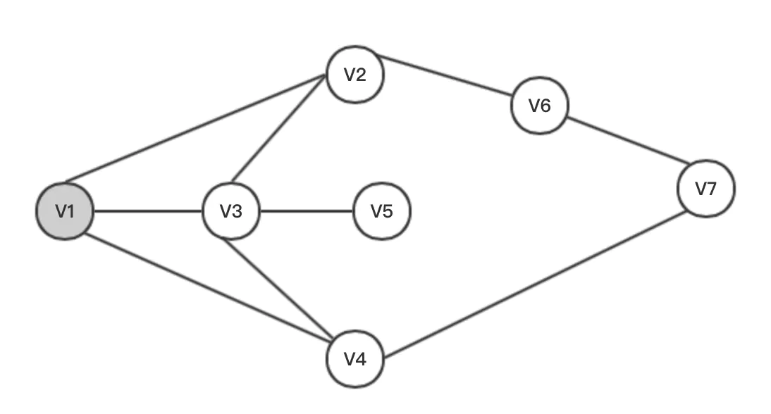
- 搜索起点V1(灰色);

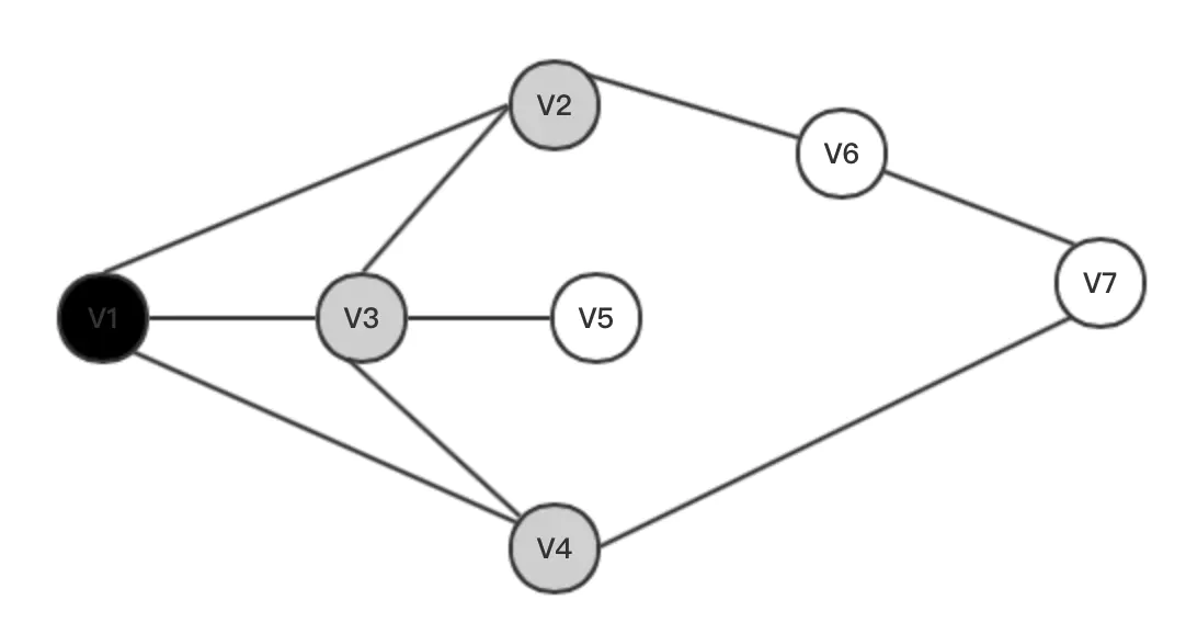
- 已搜索V1(黑色),即将搜索V2,V3,V4(标灰);

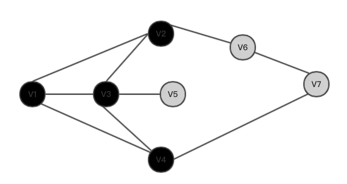
- 对V2,V3,V4重复以上操作;

- 直到终点V7被染灰,终止;

模板
/*
通过邻接矩阵实现BFS
*/
#include <iostream>
#include <queue>
using namespace std;
#define MaxVertexNum 10
struct Graph
{
int vertexnum;
int edgenum;
bool visit[MaxVertexNum];
int edgeList[MaxVertexNum][MaxVertexNum];
};
void BuildGraph(Graph *G)
{
int start, end;
cout << "Please enter the number of vertices and edges" << endl;
cin >> G->vertexnum >> G->edgenum;
// 图的权重初始化
for (int i = 0; i < G->vertexnum; i++)
{
G->visit[i] = false;
for (int j = 0; j < G->vertexnum; j++)
{
G->edgeList[i][j] = 0;
}
}
// 输入权重信息
for (int i = 0; i < G->edgenum; i++)
{
cout << "Please enter the Start number, end number, weight" << endl;
cin >> start >> end;
cin >> G->edgeList[start][end];
G->edgeList[end][start] = G->edgeList[start][end];
}
cout << endl;
}
void BFS(Graph *G)
{
queue<int> q;
G->visit[0] = true;
q.push(0);
while (!q.empty())
{
int tmp = q.front();
q.pop();
for (int i = 0; i < G->vertexnum; i++)
{
if (G->edgeList[tmp][i] && !G->visit[i])
{
G->visit[i] = true;
q.push(i);
cout << i << "Visited" << endl;
}
}
}
}
int main()
{
Graph G;
BuildGraph(&G);
BFS(&G);
cout << endl;
system("pause");
return 0;
}
/*
7 9
0 2 1
0 1 1
0 3 1
1 2 1
2 3 1
2 4 1
3 6 1
1 5 1
5 6 1
*/
总结
广度优先搜索就是访问根结点相邻的所有结点,同时相邻的结点被访问后进入队列,然后依次出队,访问所有未访问结点。类似与水波一圈一圈荡开的结构。
5.2.2 深度优先搜索
概念
深度优先搜索属于图算法的一种,是一个针对图和树的遍历算法。深度优先搜索是图论中的经典算法,利用深度优先搜索算法可以产生目标图的相应拓扑排序表,利用拓扑排序表可以方便的解决很多相关的图论问题,如最大路径问题等等。其过程简要来说是对每一个可能的分支路径深入到不能再深入为止,而且每个节点只能访问一次。
基本步骤
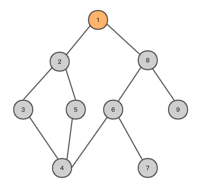
- 对于下面的树而言,DFS方法首先从根节点1开始

- 从stack中访问栈顶的点;

- 找出与此点邻接的且尚未遍历的点,进行标记,然后放入stack中,依次进行;

- 如果此点没有尚未遍历的邻接点,则将此点从stack中弹出,再按照(3)依次进行;


- 直到遍历完整个树,stack里的元素都将弹出,最后栈为空,DFS遍历完成。


模板
/*
通过邻接表实现DFS
*/
#include <iostream>
#include <stack>
using namespace std;
#define MaxVertexNum 10
struct EdgeNode
{
int adjvex;
EdgeNode *next;
};
struct VertexNode
{
EdgeNode *firstedge;
};
struct Graph
{
int vertexnum;
int edgenum;
VertexNode vertexList[MaxVertexNum];
bool visit[MaxVertexNum];
};
void BuildGraph(Graph *G)
{
int start, end, weight;
EdgeNode *newnode;
cout << "Please enter the number of vertices and edges" << endl;
cin >> G->vertexnum >> G->edgenum;
// 图的顶点数据
for (int i = 0; i < G->vertexnum; i++)
{
G->vertexList[i].firstedge = NULL;
G->visit[i] = false;
}
// 输入权重信息
for (int i = 0; i < G->edgenum; i++)
{
cout << "Please enter the Start number, end number" << endl;
cin >> start >> end;
//start-->end
newnode = new EdgeNode;
newnode->adjvex = end;
newnode->next = G->vertexList[start].firstedge;
G->vertexList[start].firstedge = newnode;
// end-->start
newnode = new EdgeNode;
newnode->adjvex = start;
newnode->next = G->vertexList[end].firstedge;
G->vertexList[end].firstedge = newnode;
}
}
void Print_Adjacency_Matrix(Graph G)
{
for (int i = 0; i < G.vertexnum; i++)
{
cout << i << '\t';
EdgeNode *p = G.vertexList[i].firstedge;
while (p)
{
printf("adjvex:%d ", p->adjvex);
p = p->next;
}
cout << endl;
}
}
void DFS(Graph *G)
{
stack<int> s;
s.push(0);
G->visit[0] = true;
while (!s.empty())
{
int tmp = s.top();
EdgeNode *p = G->vertexList[tmp].firstedge;
while (p)
{
if (G->visit[p->adjvex])
{
p = p->next;
}
else
{
cout << "-->" << p->adjvex;
s.push(p->adjvex);
G->visit[p->adjvex] = true;
// 找到下一深度的点就不再周边广搜
break;
}
// 周围没有待访问的点,出栈
if (p == NULL)
{
s.pop();
}
}
}
}
int main()
{
Graph G;
BuildGraph(&G);
Print_Adjacency_Matrix(G);
DFS(&G);
cout << endl;
system("pause");
return 0;
}
/*
9 10
0 1
0 7
1 2
1 4
7 5
7 8
2 3
4 3
5 3
5 6
*/
总结
深度优先搜索就是一条道走到黑,然后到无路可走的时候回头。所以说最后会回溯所有的点。
本文介绍了图的两种遍历算法——广度优先搜索(BFS)和深度优先搜索(DFS)。BFS从根节点开始,沿着宽度逐层遍历,常用于最短路径问题;DFS则是一条道走到黑,回溯所有节点,适用于拓扑排序。文中提供了C++代码模板,展示了这两种算法的实现。
903

被折叠的 条评论
为什么被折叠?



