模型在训练数据上表现很好,误差较小。但在没有见过的新数据上(即测试数据上),模型未必能够很好地预测,因此误差值会较大。
根据真实的数据情况调整写出新的模型,考虑了比较多的信息,加入了更多的权重,在训练数据上应该要得到更好的、更低的损失。
把输入的特征 x 乘上一个权重,再加上一个偏置就得到预测的结果,这样的模型称为线性模型。
线性模型也许过于简单,x1 跟 y 可能中间有比较复杂的关系。线性模型有很大的限制,这一种来自于模型的限制称为模型的偏差,无法模拟真实的情况。所以需要写一个更复杂的、更有灵活性的、有未知参数的函数。
分线段曲线可以看作是一个常数加一群Hard Sigmoid函数。Hard Sigmoid 函数的特性是当输入的值,当 x 轴的值小于某一个阈值(某个定值)的时候,大于另外一个定值阈值的时候,中间有一个斜坡。所以它是先水平的,再斜坡,再水平的。
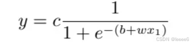
直接写HardSigmoid 不是很容易,用 Sigmoid 函数来逼近 Hard Sigmoid,Sigmoid 函数的表达式为

调整这里的 b、w 和 c 可以制造各种不同形状的 Sigmoid 函数,用各种不同形状的 Sigmoid函数去逼近 Hard Sigmoid 函数。
优化是找一个可以让损失最小的参数,参数少的时候可以穷举,参数多的时候用梯度下降。
所有的未知的参数,一律统称 θ,所以损失函数就变成 L(θ)。损失函数能够判断 θ 的好坏。
先给定 θ 的值,即某一组 W, b, cT, b 的值,再把一种特征 x 代进去,得到估测出来的 y,再计算一下跟真实的标签之间的误差 e。把所有的误差通通加起来,就得到损失。
然后进行优化,要找到 θ 让损失越小越好
使用梯度下降更新参数的过程:

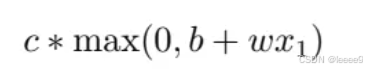
关于模型的变形,还可以把HardSigmoid 可以看作是两个修正线性单元的加总,ReLU 的图像有一个水平的线,走到某个地方有一个转折的点,变成一个斜坡,其对应的公式为

在机器学习里面,Sigmoid 或 ReLU 称为激活函数。
Sigmoid 或 ReLU 称为神经元(neuron),很多的神经元称为神经网络。每一排称为一层,称为隐藏层,很多的隐藏层就“深”,这套技术称为深度学习。
在训练数据和测试数据上的结果是不一致的,这种情况称为过拟合。
1010

被折叠的 条评论
为什么被折叠?



