一、24. 两两交换链表中的节点
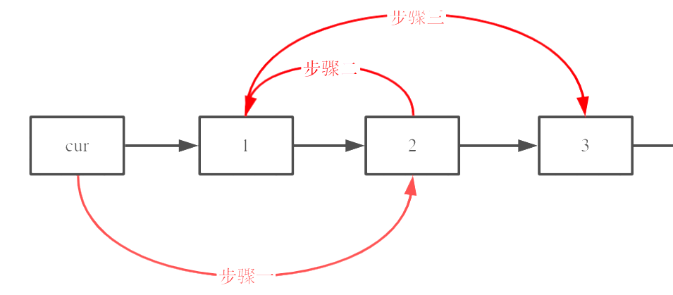
之前写过的题,再初看还是得推导一下才能写出来,推导的过程和随想录的过程差不多,直接放图:

不过我是将cur定义成dummy, 再用一个prev指向dummy;
重点还是之后如何循环这个过程,之前总是脑子不清楚,现在是将反转后的后一个节点看成新的dummy然后重复上述过程,所以只需要让prev指向之前的head就可以了。

最后代码如下,这次一次过很舒服:

二、19.删除链表的倒数第N个节点
快慢指针的思路,首先让快指针走n步,然后慢指针再走,这样快指针走到链表末null时,开局指向虚拟头节点的慢指针刚好指向倒数第n的节点的前一个节点(这个需要自己找个特定的链表模拟确认一下推出来),然后让目标节点断开链表就可以了。
代码如下:

三、面试题 02.07. 链表相交
思想是让两个链表尾部对齐,然后从短链表头部和长链表中部开始一一比对,存在一样即存在相交。

关键步骤是对A、B链表更长的时候进行转换,让代码更简洁。
,其他的代码都是基础操作,就不放进来了。
四、142.环形链表II
随想录写的比较复杂,没理解明白。
用的哈希表法(不满足进阶要求,哈希空间复杂度为O(n)),但是比较清晰明了。
代码如下:

易错点在于先判断,后插入新的节点。
后续会思考理解O1复杂度的写法。

被折叠的 条评论
为什么被折叠?



