文章目录
- 0. 参考文献
- 1. 四元数的定义和属性
- 2. 旋转和cross-relations
- 2.4 旋转群和四元数
- 3. Quaternion conventions. MY choice
- 4. Perturbations, derivatives and integrals
- 4.1 在SO3上的加法减法
- 4.2 the four possible derivative definitions
- 4.2.1 从向量空间到向量空间
- 4.2.2 从SO3到SO3
- 4.2.3 从向量空间到SO3
- 4.2.4 从SO3到向量空间
- 5. Error-state Kinematics for IMU-driven system
- 6. 融合其他的传感器信息
0. 参考文献
【1】Quaternion kinematics for the error-state Kalman filter
四元数基础参考之前的一片博文
1. 四元数的定义和属性
1.1 四元数的定义
1.1.1 四元数的表示方式
1.2 四元数的性质
1.2.1 加和
1.2.2 积
1.2.3 单位1
1.2.4 共轭
1.2.5 长度
1.2.6 逆
1.2.7 单位四元数
1.3 额外的性质
1.3.1 quaternion commutator
1.3.2 纯四元数的乘积
1.3.3 纯四元数的幂
1.3.4 纯四元数的指数
1.3.5 一般四元数的指数
1.3.6 单位四元数的对数
1.3.7 一般四元数的对数
1.3.8 四元数的幂的指数形式
2. 旋转和cross-relations
2.1 3维向量的旋转
如下图的旋转:

可以将x分解:

分解后各个成分的计算方法:

在旋转的过程中,和轴平行的部分不发生变化:

在垂直于旋转轴的平面上选择两个基向量:

在该平面内旋转 ϕ \phi ϕ角度后,有:

可以写做:

再加上平行的部分,可以得到旋转后的整体向量:

注意这里要区别上一篇博文中的一个公式:

仔细观察和计算可以发现两个式子其实是一样的,只不过表达的符号并不相同。
2.2 旋转群SO3
旋转变换会保持向量长度:

旋转变换会保持两线夹角:

旋转变换会保持向量间方向关系:

这一章就是要说明旋转群和四元数之间的关系?
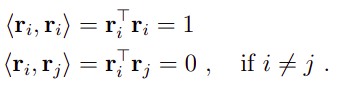
首先有如下一个表:


2.3 旋转群和旋转矩阵
将旋转变换写成一个矩阵形式:

旋转矩阵不改变向量长度,说明R是正交的:

进一步将正交性质写成 :

同时说明:

由于上面说过,R有保持向量方向的特性,因此有如下的关系,这个用来排除了反射这一类特殊矩阵:

2.3.1 指数映射
这里引出了李代数
2.3.2 大写的指数映射

这里是换一种表达方式

2.3.3 旋转矩阵和旋转向量:罗德里格斯公式
2.3.4 对数映射
又映射回去
2.3.5 旋转变换

2.4 旋转群和四元数
先做一个假设(后面会证明,其实上一篇博文对应的文献也有证明)

由于旋转保持了向量v的长度,并且根据四元数的性质,有:

为了满足上式成立,需要q的模等于1:

可以看到,这个条件,和前面在描述旋转矩阵时的条件,类似,就是下面这个:

下面证明四元数旋转能保持向量x乘方向,证明过程运用了两次1.3.1里面的性质

2.4.1
2.4.2 大写的指数映射
2.4.3 四元数和旋转向量

2.4.4 对数映射
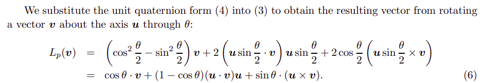
2.4.5 旋转变换

2.4.6 The double cover of the manifold of SO3
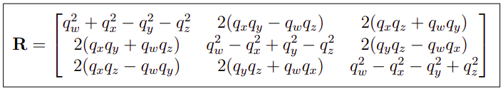
2.5 旋转矩阵和四元数

2.6 组合多个旋转

2.7 球面线性插值(SLERP)
2.8 quaternion and isoclinic rotations:explaining the magic
3. Quaternion conventions. MY choice
4. Perturbations, derivatives and integrals
4.1 在SO3上的加法减法
4.2 the four possible derivative definitions
4.2.1 从向量空间到向量空间
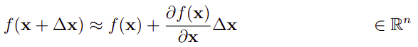
这个是在向量空间上的求导数定义

一阶泰勒展开(或者看成欧拉积分):

4.2.2 从SO3到SO3

4.2.3 从向量空间到SO3

4.2.4 从SO3到向量空间

4.3 有用的旋转雅阁比
考虑要对一个向量 a \pmb{a} a

本文深入探讨四元数的定义、性质及其在三维旋转中的应用,包括旋转矩阵、旋转向量和SLERP。介绍了四元数如何表示和计算旋转,以及它们在IMU驱动系统误差状态卡尔曼滤波中的角色。此外,还讨论了扰动、导数和积分在旋转动力学中的影响。
最低0.47元/天 解锁文章
7万+

被折叠的 条评论
为什么被折叠?



