20210621
几种常用的线性变换
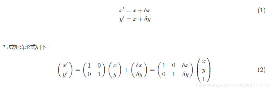
平移(translation


矩阵形式的写法 二维便三维 矩阵的加法 可以变成增加一维
20201106

1到T个单词
20200924
常数 求逆 就是求倒数
20200427


前面看成整体

条件独立

吸烟的条件下 其是不是矿工对是否产生肺癌没有影响

条件独立

S 条件下 E,C的联合概率
20200420

对f的一阶和二阶导数

L 对f=fm-1 求导数
两个都要满足
这个公式的所有项 对应 上图列出的部分
模型已知的情况下 隐层和显层出现的概率是多少
条件概率
https://blog.youkuaiyun.com/u013043762/article/details/88050288 参考
注:为什么我们简单把路径上的概率乘在一起就可以呢?(一阶)马尔科夫假设事实上是这样一个东西(竖线|表示“给定,以…为条件”):
image_1c6qsenns13e97qfd7k10bl1b6m9.png-1.9kB(来自维基百科),即在已经出现了前N个状态的条件下得到第N+1个状态的概率等于
已经出现了第N个状态时出现第N+1个概率(所以才说“和前天无关只和昨天有关”)。而根据条件概率,我们有
P(Xn+1=轻感冒,Xn=重感冒)=P(Xn+1=轻感冒|Xn=重感冒)P(Xn=重感冒)(0)
即这个人昨天重感冒今天轻感冒的概率(联合概率)=在昨天重感冒的情况下今天轻感冒的概率(转移概率)×这个人昨天重感冒的概率。
所以如果我们已知昨天这个人重感冒,那么P(Xn=重感冒)=1,这个联合概率和转移概率就相等了。
那么如果转移两天呢?比如我们已知一个人第n天重感冒,求第n+1天第n+2天分别是轻感冒、正常的概率呢?我们尝试着把公式写出来:
P(Xn+2=正常,Xn+1=轻感冒,Xn=重感冒)=(1)
P(Xn+2=重感冒|Xn+1=轻感冒,Xn=重感冒)×P(Xn+1=轻感冒,Xn=重感冒)
也就是说,这三天出现“重感冒、轻感冒、正常”的概率,等于在已知前两天分别是“重感冒、轻感冒”而最后一天“正常”的概率,
乘以前两天分别“重感冒、轻感冒”的概率。而根据一阶马尔科夫假设,我们知道最后一天“正常”和第一天是什么状态并没有什么关系,
仅仅和第二天的状态有关,也就意味着我们发现等式右边的第一项其实与第二天到第三天的转移概率相等:
P(Xn+2=正常|Xn+1=轻感冒,Xn=重感冒)=P(Xn+2=正常|Xn+1=轻感冒)
所以(1)式就变为了:
P(Xn+2=正常,Xn+1=轻感冒,Xn=重感冒)=
P(Xn+2=正常|Xn+1=轻感冒)×P(Xn+1=轻感冒,Xn=重感冒)
这时候再看最后一项:这个我们熟,在上面(0)呢:
P(Xn+1=轻感冒,Xn=重感冒)=P(Xn+1=轻感冒|Xn=重感冒)P(Xn=重感冒)
所以最后(1)式就变为:
P(Xn+2=正常,Xn+1=轻感冒,Xn=重感冒)=
P(Xn+2=正常|Xn+1=轻感冒)P(Xn+1=轻感冒|Xn=重感冒)P(Xn=重感冒)
也就是说,如果我们知道了第一天“重感冒”的概率P(Xn=重感冒),想要得到接下来两天“轻感冒、正常”的概率,
我们只需要把相应的转移概率乘在上面就可以了。所以说如果给定了马尔科夫链的状态序列,
我们就从头到尾把所有的转移概率乘在一起就得到了最终这条状态序列出现的概率。
第j个任务的加工时间是一个正整数
这里的I 是排列 而不是某个具体的元素 或者说 元素就是排列
x元钱 投给第i个项目
Ci 到cj的距离
N0 非常大的n 满足不等式就可以了
小于n0的n 不关注
小于等于符号是关键
下界
这里是任意的c
没有等于
Gn 比fn 增长的快
取整
Gn的阶一定要比fn 的阶要高
同阶只能用大O 符号
针对给定的c 找n0
下界的符号
真的是个小于符号
色他符号
阶相等
同时满足大O 和大Ω
斯特林公式的意义 把阶乘换成 渐进符号来表示
整数部分外提
通项
归纳假设
正好满足上面的公式
BGD 也不允许我们在线更新模型参数,即实时增加新的训练样本。
Learning rate schedules [11,A stochastic approximation method] 试图在训练期间调整学习率即退火(annealing)
相当于AUB 有括号
后面都是已知条件
A 发生的情况下 b c 独立
和xi无关的可以提到积分号外面 上下可以约掉
三横:全等号
等势的符号:约等于的符号 波浪号
同余关系 整除 0-0
0-4
4-0
1-1
都能被4整除
以n为模的同余关系
负号不影响整除关系
两个部分可以被n 整除 自然整体也能被n整除
同余 x y 与n的余数相同
大写和小写的字母德尔塔
全等
k阶
复数 i2=-1
求和符号的范围
后面没有括号 求和符号只管前面
最后一个逗号的后面部分
正比符号
观测到x和z的情况下 x的概率
在给定参数色他,样本x的情况下 y的分布符号正态分布
均值是f(x)
给定色他和样本的情况下 y 的概率
NLL 负log似然函数
所有 最小二乘和最大似然估计是等价的
SVD 奇异值分解
内积的计算
转置矩阵乘以矩阵本身就是求内积 如果X是向量就是求内积
如果X本身是矩阵 XTX 求对称矩阵
显然得出的矩阵是对称矩阵。
在解二次曲线方程时很有用。
矩阵论和线性代数里,有专门的篇幅讲解二次型的定义与应用,你可以看看。
数学专业,看北大的《高等代数》
工科的,可以看《线性代数》
研究生的话,你可以看看矩阵论
矩阵论
下标为范数
补集
多重全排
r1,r2相当于二级分类
结束
1818

被折叠的 条评论
为什么被折叠?



