原文地址:http://www.cnblogs.com/jacklu/p/7753471.html
本文结合了王晓刚老师的ENGG 5202 Pattern Recognition课程内容知识,和搜集的资料和自己理解的总结。
1 概述
隐马尔可夫模型(Hidden Markov Model,HMM)是结构最简单的贝叶斯网,这是一种著名的有向图模型,主要用于时序数据建模(语音识别、自然语言处理等数据在时域有依赖性的问题)。
如果考虑t时刻数据依赖于0到t-1时间段的所有数据,即
转存失败重新上传取消
,在计算复杂度上是不可行的。因此Markov Model假定只依赖于最近的几个观测数据。
下面先从一个直观的例子理解HMM:
假设有三个不同的骰子(6面、4面、8面),每次先从三个骰子里选一个,每个骰子选中的概率为
转存失败重新上传取消
,如下图所示,重复上述过程,得到一串数字[1 6 3 5 2 7]。这些可观测变量组成可观测状态链。
同时,在隐马尔可夫模型中还有一条由隐变量组成的隐含状态链,在本例中即骰子的序列。比如得到这串数字骰子的序列可能为[D6 D8 D8 D6 D4 D8]。
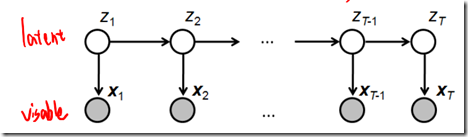
隐马尔可夫模型示意图如下所示:
图中,箭头表示变量之间的依赖关系。在任意时刻,观测变量(骰子点数)仅依赖于状态变量(哪类骰子),“观测独立性假设”。
同时,t时刻数据依赖于t-1时刻的数据。这就是1阶马尔可夫链,即系统的下一时刻的状态仅由当前状态决定不依赖以往的任何状态(无记忆性),“齐次马尔可夫性假设”。
0阶Markov Model:
1阶Markov Model:
2阶Markov Model:
1阶HMM
包含状态变量(也叫latent variable,该变量是离散的、未知的、待推断的)
转存失败重新上传取消
和观测变量(该变量可以是离散的、也可以是连续的)
,如下图所示:
1.2 HMM中的条件独立(在后续算法推导中非常重要)
从概率图模型上给出条件独立的式子非常简单,即遮住某一节点,被分开的路径在给定该节点时独立。
上面六个式子,前五个式子很容易从图模型中理解。最后一个式子可以将左边写成
和
转存失败重新上传取消
的乘积,然后再将
转存失败重新上传取消
做分解。
假定每个状态有三种取值
转存失败重新上传取消
,比如上面骰子的种类。参数如下图所示:
观测概率(也叫emission probablity)
转存失败重新上传取消
,即时刻t、状态
的概率
2 隐马尔可夫模型三要素
以上三个参数构成隐马尔可夫模型三要素:
3 隐马尔可夫模型的三个基本问题
(1) 给定模型
转存失败重新上传取消
,计算其产生观测序列
的概率
, 称作evaluation problem,比如:计算掷出点数163527的概率
(2) 给定模型
和观测序列
,推断能够最大概率产生此观测序列的状态序列
,即使求解
,称作decoding problem,比如:推断掷出点数163527的骰子种类
(3) 给定观测序列
,估计模型
的参数,使计算其产生观测序列的概率
最大,称作learning problem,比如:已知骰子有几种,不知道骰子的种类,根据多次掷出骰子的结果,反推出骰子的种类
这三个基本问题在现实应用中非常重要,例如根据观测序列推测当前时刻最有可能出现的观测值
,这就是基本问题(1);
在语音识别中,观测值为语音信号,隐藏状态为文字,根据观测信号推断最有可能的状态序列,即基本问题(2);
在大多数应用中,人工指定参数模型已变得越来越不可行,如何根据训练样本学得最优参数模型,就是基本问题(3)。
4 三个基本问题的解法
基于两个条件独立假设,隐马尔可夫模型的这三个基本问题均能被高效求解。
4.1 基本问题(1)evaluation problem解法
4.1.1 直接计算法(概念上可行,计算上不可行)
通过列举所有可能的长度为T的状态序列
,求各个状态序列与观测序列同时出现的联合概率
,然后对所有可能求和。
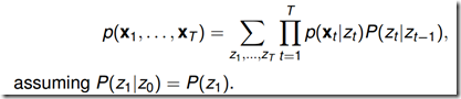
4.1.2 前向算法(t=1,一步一步向前计算)
注意求和式中有K项(Z的状态数),计算复杂度为C*C。
通过上式可知,为了得到前向概率
,可以先初始化t=1时刻的概率,然后从第一个节点开始递推计算,每次递推都需要计算一次c*c的的操作,因此总的算法复杂度是
(C和K相同)
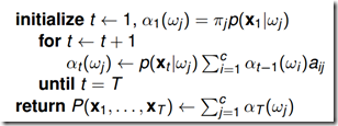
4.1.3 后向算法
推导过程:
通过上式可知,为了得到后向概率
,可以先初始化t=T时刻的概率,然后从最后一个节点向前递推计算,每次递推都需要计算一次c*c的的操作,因此总的算法复杂度是
(C和K相同)
算法高效的关键是其局部计算前向概率,根据路径结构,如下图所示,每次计算直接利用前一时刻计算结果,避免重复计算,减少计算量。
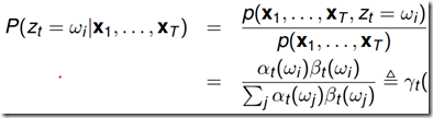
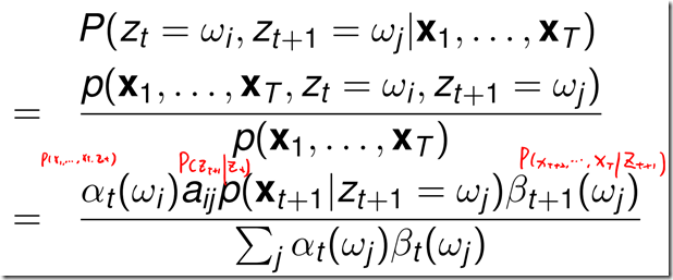
给定观测序列,t时刻从某一状态,在t+1时刻转换成新的状态的后验概率
:
4.2 基本问题(2)decoding problem解法
4.2.1 近似算法
选择每一时刻最有可能出现的状态,即根据上述计算t时刻的状态后验概率
,选择概率最大的状态,从而得到一个状态序列。这个方法计算简单,此方法但是不能保证整个状态序列的出现概率最大。因为可能两个相邻的状态转移概率为0,即实际上不可能发生这种状态转换。
4.2.2 Viterbi算法
使用动态规划求解概率最大(最优)路径。t=1时刻开始,递推地计算在时刻t状态为i的各条部分路径的最大概率,直到计算到时刻T,状态为i的各条路径的最大概率,时刻T的最大概率即为最优路径的概率,最优路径的节点也同时得到。
如果还不明白,看一下李航《统计学习方法》的186-187页的例题就能明白算法的原理。
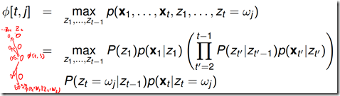
考虑一个表格数据结构
,存储着t时刻时,状态为j的能够产生观测序列
的最大概率值。
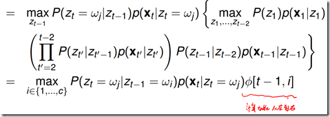
t>1时
维特比算法:
维特比算法图示:
状态[3 3 3]极为概率最大路径。
4.3 基本问题(3)解法
4.3.1 监督学习方法
给定T个长度相同的(观测序列,状态序列)
作为训练集,使用极大似然估计法来估计模型参数。
转移概率
的估计:样本中t时刻处于状态i,t+1时刻转移到状态j的频数为
,则
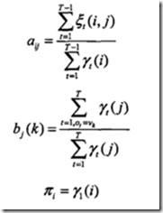
4.3.2 Baum-Welch算法
使用EM算法得到模型参数估计式
EM算法是常用的估计参数隐变量的利器,它是一种迭代方法,基本思想是:
(1) 选择模型参数初始值;
(2) (E步)根据给定的观测数据和模型参数,求隐变量的期望;
(3) (M步)根据已得隐变量期望和观测数据,对模型参数做极大似然估计,得到新的模型参数,重复第二步。
作业题:
第一问用于理解HMM产生数据的过程,第二问用于理解维特比算法。
自己写的答案(运行结果如上图):
1 import numpy
2 import random
3
4 def random_pick(pick_list,probability_list):
5 x=random.uniform(0,1)
6 cumulative_probability=0.0
7 for item,item_probability in zip(pick_list,probability_list):
8 cumulative_probability+=item_probability
9 if x < cumulative_probability: break
10 return item
11
12 Zt=[1,2]
13 Pi=[0.6,0.4]
14 Xt=[1,2,3]
15 a1j=[0.7, 0.3]
16 a2j=[0.4, 0.6]
17 b1j=[0.1, 0.4, 0.5]
18 b2j=[0.6, 0.3, 0.1]
19 x=[-1 for n in range(10)]
20 z=[-1 for n in range(10)]
21 #for function test
22 #temp_counter = 0
23 #for i in range(100):
24 # if random_pick(Zt,Pi) == 1: temp_counter+=1
25 #print(temp_counter)
26 ##for function test
27
28 z[0] = random_pick(Zt,Pi)
29 for i in range(10):
30 if z[i] == 1:
31 x[i] = random_pick(Xt, b1j)
32 if i < 9: z[i+1] = random_pick(Zt, a1j)
33 else:
34 x[i]= random_pick(Xt, b2j)
35 if i < 9: z[i+1]= random_pick(Zt, a2j)
36 print(z)
37 print(x)
38
39 bp=[-1 for n in range(10)]
40 Fi=[[-1,-1] for n in range(10)]
41 for i in range(2):
42 if i == 0:
43 Fi[0][0]=Pi[i]*b1j[x[0]-1]
44 print('Fi00',Fi[0][0])
45 elif i == 1:
46 Fi[0][1]=Pi[i]*b2j[x[0]-1]
47 print('Fi01',Fi[0][1])
48 if Fi[0][0] < Fi[0][1]:
49 bp[0] = 1
50 else:
51 bp[0] = 0
52
53 for t in range(9):
54 for j in range(2):
55 if j == 0:
56 if bp[t] == 0:
57 Fi[t+1][j]=Fi[t][0]*a1j[0]*b1j[x[t+1]-1]
58 elif bp[t] == 1:
59 Fi[t+1][j]=Fi[t][1]*a2j[0]*b1j[x[t+1]-1]
60 if j == 1:
61 if bp[t] == 0:
62 Fi[t+1][j]=Fi[t][0]*a1j[1]*b2j[x[t+1]-1]
63 elif bp[t] == 1:
64 Fi[t+1][j]=Fi[t][1]*a2j[1]*b2j[x[t+1]-1]
65 print('Fit0',Fi[t+1][0])
66 print('Fit1',Fi[t+1][1])
67 if Fi[t+1][0] < Fi[t+1][1]:
68 bp[t+1] = 1
69 else:
70 bp[t+1] = 0
71
72 print(bp)#z=bp+1
隐马尔可夫模型HMM详解





















![clip_image064[7]](https://i-blog.csdnimg.cn/blog_migrate/2e6f14b3dde25f0022dbe5381a56488a.png)






![clip_image082[4]](https://i-blog.csdnimg.cn/blog_migrate/aead0bf4e0a7a99760a31e58badbac92.png)
![clip_image094[4]](https://i-blog.csdnimg.cn/blog_migrate/de0b1581a4541fbd6144a3a2287ba414.png)




2074

被折叠的 条评论
为什么被折叠?



