首先,原题:
链接: https://pan.baidu.com/s/1UzRN6Mf2Dwp0263F-MMESg
密码: 2ryh
第一题
标题:分数
1/1 + 1/2 + 1/4 + 1/8 + 1/16 + ....
每项是前一项的一半,如果一共有20项,
求这个和是多少,结果用分数表示出来。
类似:
3/2
当然,这只是加了前2项而已。分子分母要求互质。
注意:
需要提交的是已经约分过的分数,中间任何位置不能含有空格。
请不要填写任何多余的文字或符号。
直接草稿纸上归纳法求算数表达式,应该是(2^20-1)/2^19=1048575/524288 没什么难度,初中生都会。
第二题
标题:星期一
整个20世纪(1901年1月1日至2000年12月31日之间),一共有多少个星期一?
(不要告诉我你不知道今天是星期几)
注意:需要提交的只是一个整数,不要填写任何多余的内容或说明文字。
Excel很方便(我电脑上WPS全家桶。。道理一样了)
先找到这个世纪最后一个周一:

全选表格,设置单元格格式为日期型。

A1填“2000年12月25日”,A2填“=A1-7”,对A列自动填充(拖拽也可以)


5217行为最后一个周一,所以答案5217.
2019-3-18更新:
Office/WPS具有局限性,日期只能算1900年之后的,如果出题出1900之前的,可以用vbs来计算
创建txt文件,后缀名改为.vbs,保存,拖进记事本编辑:
用到计算日期的两种函数:
DateDiff(timeinterval,date1,date2 [, firstdayofweek [, firstweekofyear]])
DateAdd(timeinterval,number,date)
允许数据类型: timeinterval 表示相隔时间的类型,代码为:
年份 yy、yyyy 季度 qq、q
月份 mm、m
每年的某一日 dy、y
日期 dd、d
星期 wk、ww
工作日 dw
小时 hh
分钟 mi、n
秒 ss、s
毫秒 ms
本题可以计算两个datediff:
msgbox datediff("d","1901-1-1","2000-12-31")
msgbox datediff("d","2000-12-31","2019-3-18")
结果分别为:36518 6651
我知道今天是周一,用6651%7 = 1,意思就是2000-12-31是周几需要我往前数一天,是周日。
周日往前数6天,是周一,用floor((36518-6)/7)+1,就是答案了。同样可得到5217。
第三题
标题:乘积尾零
如下的10行数据,每行有10个整数,请你求出它们的乘积的末尾有多少个零?
5650 4542 3554 473 946 4114 3871 9073 90 4329
2758 7949 6113 5659 5245 7432 3051 4434 6704 3594
9937 1173 6866 3397 4759 7557 3070 2287 1453 9899
1486 5722 3135 1170 4014 5510 5120 729 2880 9019
2049 698 4582 4346 4427 646 9742 7340 1230 7683
5693 7015 6887 7381 4172 4341 2909 2027 7355 5649
6701 6645 1671 5978 2704 9926 295 3125 3878 6785
2066 4247 4800 1578 6652 4616 1113 6205 3264 2915
3966 5291 2904 1285 2193 1428 2265 8730 9436 7074
689 5510 8243 6114 337 4096 8199 7313 3685 211
注意:需要提交的是一个整数,表示末尾零的个数。不要填写任何多余内容。
用python直接可以大数运算:

考点没有python的就认命敲代码吧,不要走歪路数什么多少个偶数多少个5,或者数几个50/25/125之类的歪路。老老实实敲代码:
#include <bits/stdc++.h>
using namespace std;
const int a[] = {5650,4542,3554,473,946,4114,3871,9073,90,4329,2758,7949,6113,5659,5245,7432,3051,4434,6704,3594,9937,1173,6866,3397,4759,7557,3070,2287,1453,9899,1486,5722,3135,1170,4014,5510,5120,729,2880,9019,2049,698,4582,4346,4427,646,9742,7340,1230,7683,5693,7015,6887,7381,4172,4341,2909,2027,7355,5649,6701,6645,1671,5978,2704,9926,295,3125,3878,6785,2066,4247,4800,1578,6652,4616,1113,6205,3264,2915,3966,5291,2904,1285,2193,1428,2265,8730,9436,7074,689,5510,8243,6114,337,4096,8199,7313,3685,211,0};
long long p = 1;
const long long mod = 1e10;
int res;
int main(){
for(int i = 0;a[i];i++){
p*=a[i];
while(!(p%10)){
res++;
p/=10;
}
p%=mod;//模一个1e10保证始终不会溢出
}
cout << res;
return 0;
}
同样能得出正确答案31(比赛的时候现场没想这么一招,走了歪路浪费了时间还没做对)。
第三题更正题解:
以上做法非正解,当一个数包含若干个因子2或者5而太长时会被截断导致错误。
正解为数2和5因子的个数,取较小的一个:
#include <bits/stdc++.h>
using namespace std;
typedef long long ll;
typedef unsigned long long ull;
static const int maxn = 100010;
static const int INF = 0x3f3f3f3f;
static const int mod = (int)1e9 + 7;
static const double eps = 1e-6;
static const double pi = acos(-1);
void redirect(){
#ifdef LOCAL
freopen("test.txt","r",stdin);
#endif
}
int a,b;
int main(){
redirect();
int x;
while(~scanf("%d",&x)){
while(x%2==0)a++,x>>=1;
while(x%5==0)b++,x /=5;
}
printf("%d\n",(int)min(a,b));
return 0;
}
多谢@Thj8003117135的斧正。
第四题:
标题:第几个幸运数
到x星球旅行的游客都被发给一个整数,作为游客编号。
x星的国王有个怪癖,他只喜欢数字3,5和7。
国王规定,游客的编号如果只含有因子:3,5,7,就可以获得一份奖品。
我们来看前10个幸运数字是:
3 5 7 9 15 21 25 27 35 45
因而第11个幸运数字是:49
小明领到了一个幸运数字 59084709587505,他去领奖的时候,人家要求他准确地说出这是第几个幸运数字,否则领不到奖品。
请你帮小明计算一下,59084709587505是第几个幸运数字。
需要提交的是一个整数,请不要填写任何多余内容。
想起了刘汝佳紫书上曾有一个关于“丑数”的题(P120/UVa 136 Ugly Numbers)
道理大同小异。不用枚举,时间不够。不用递归,栈会溢出。就用优先队列做这题比较合适。
#include <bits/stdc++.h>
using namespace std;
const int a[] = {3,5,7};
const long long maxn = 59084709587505;
priority_queue<long long,vector<long long>,greater<long long> >p;
set<long long>s;
int res;
int main(){
long long n,m;
for(int i = 0;i < 3;i++)p.push(a[i]);
while((n = p.top())<=maxn){
p.pop();
res++;
for(int i = 0;i < 3;i++){
m = n*a[i];
if(!s.count(m)){
s.insert(m);
p.push(m);
}
}
}
cout << res;
return 0;
}
答案:1905
第五题:
标题:打印图形
如下的程序会在控制台绘制分形图(就是整体与局部自相似的图形)。
当n=1,2,3的时候,输出如下:
请仔细分析程序,并填写划线部分缺少的代码。
n=1时:
o
ooo
o
n=2时:
o
ooo
o
o o o
ooooooooo
o o o
o
ooo
o
n=3时:
o
ooo
o
o o o
ooooooooo
o o o
o
ooo
o
o o o
ooo ooo ooo
o o o
o o o o o o o o o
ooooooooooooooooooooooooooo
o o o o o o o o o
o o o
ooo ooo ooo
o o o
o
ooo
o
o o o
ooooooooo
o o o
o
ooo
o
源程序:
#include <stdio.h>
#include <stdlib.h>
void show(char* buf, int w){
int i,j;
for(i=0; i<w; i++){
for(j=0; j<w; j++){
printf("%c", buf[i*w+j]==0? ' ' : 'o');
}
printf("\n");
}
}
void draw(char* buf, int w, int x, int y, int size){
if(size==1){
buf[y*w+x] = 1;
return;
}
int n = _________________________ ; //填空
draw(buf, w, x, y, n);
draw(buf, w, x-n, y ,n);
draw(buf, w, x+n, y ,n);
draw(buf, w, x, y-n ,n);
draw(buf, w, x, y+n ,n);
}
int main()
{
int N = 3;
int t = 1;
int i;
for(i=0; i<N; i++) t *= 3;
char* buf = (char*)malloc(t*t);
for(i=0; i<t*t; i++) buf[i] = 0;
draw(buf, t, t/2, t/2, t);
show(buf, t);
free(buf);
return 0;
}
比较水,可以看出来______填的应该是size类型的东西,从size/2开始试,试到size/3运行起来就能得出正确结果,所以答案size/3
第六题:
标题:航班时间
【问题背景】
小h前往美国参加了蓝桥杯国际赛。小h的女朋友发现小h上午十点出发,上午十二点到达美国,于是感叹到“现在飞机飞得真快,两小时就能到美国了”。
小h对超音速飞行感到十分恐惧。仔细观察后发现飞机的起降时间都是当地时间。由于北京和美国东部有12小时时差,故飞机总共需要14小时的飞行时间。
不久后小h的女朋友去中东交换。小h并不知道中东与北京的时差。但是小h得到了女朋友来回航班的起降时间。小h想知道女朋友的航班飞行时间是多少。
【问题描述】
对于一个可能跨时区的航班,给定来回程的起降时间。假设飞机来回飞行时间相同,求飞机的飞行时间。
【输入格式】
从标准输入读入数据。
一个输入包含多组数据。
输入第一行为一个正整数T,表示输入数据组数。
每组数据包含两行,第一行为去程的 起降 时间,第二行为回程的 起降 时间。
起降时间的格式如下
h1:m1:s1 h2:m2:s2
或
h1:m1:s1 h3:m3:s3 (+1)
或
h1:m1:s1 h4:m4:s4 (+2)
表示该航班在当地时间h1时m1分s1秒起飞,
第一种格式表示在当地时间 当日 h2时m2分s2秒降落
第二种格式表示在当地时间 次日 h3时m3分s3秒降落。
第三种格式表示在当地时间 第三天 h4时m4分s4秒降落。
对于此题目中的所有以 h:m:s 形式给出的时间, 保证 ( 0<=h<=23, 0<=m,s<=59 ).
【输出格式】
输出到标准输出。
对于每一组数据输出一行一个时间hh:mm:ss,表示飞行时间为hh小时mm分ss秒。
注意,当时间为一位数时,要补齐前导零。如三小时四分五秒应写为03:04:05。
【样例输入】
3
17:48:19 21:57:24
11:05:18 15:14:23
17:21:07 00:31:46 (+1)
23:02:41 16:13:20 (+1)
10:19:19 20:41:24
22:19:04 16:41:09 (+1)
【样例输出】
04:09:05
12:10:39
14:22:05
【限制与约定】
保证输入时间合法,飞行时间不超过24小时。
资源约定:
峰值内存消耗(含虚拟机) < 256M
CPU消耗 < 1000ms
格式化输入输出题,用getline(cin,str)的格式读入,后转为字符串处理,串长度短的是不变日期的,长的是变日期的。
#include <bits/stdc++.h>
using namespace std;
typedef long long ll;
typedef unsigned long long ull;
static const int maxn = 100010;
static const int INF = 0x3f3f3f3f;
static const int mod = (int)1e9 + 7;
static const double eps = 1e-6;
static const double pi = acos(-1);
void redirect(){
#ifdef LOCAL
freopen("test.txt","r",stdin);
#endif
}
int main(){
redirect();
int n,h1,h2,m1,m2,s1,s2,d,t1,t2,t;
scanf("%d",&n);
getchar();
string str;
while(n--){
getline(cin,str);
d = 0;
sscanf(str.c_str(),"%d:%d:%d %d:%d:%d (+%d)",&h1,&m1,&s1,&h2,&m2,&s2,&d);
d = max(d,0);
t1 = 3600*24*d+(h2-h1)*3600+(m2-m1)*60+(s2-s1);
getline(cin,str);
d = 0;
sscanf(str.c_str(),"%d:%d:%d %d:%d:%d (+%d)",&h1,&m1,&s1,&h2,&m2,&s2,&d);
d = max(d,0);
t2 = 3600*24*d+(h2-h1)*3600+(m2-m1)*60+(s2-s1);
t = (t1+t2)/2;
printf("%02d:%02d:%02d\n",t/3600,(t-t/3600*3600)/60,t%60);
}
return 0;
}
第七题:
标题:三体攻击
【题目描述】
三体人将对地球发起攻击。为了抵御攻击,地球人派出了 A × B × C 艘战舰,在太空中排成一个 A 层 B 行 C 列的立方体。其中,第 i 层第 j 行第 k 列的战舰(记为战舰 (i, j, k))的生命值为 d(i, j, k)。
三体人将会对地球发起 m 轮“立方体攻击”,每次攻击会对一个小立方体中的所有战舰都造成相同的伤害。具体地,第 t 轮攻击用 7 个参数 lat, rat, lbt, rbt, lct, rct, ht 描述;
所有满足 i ∈ [lat, rat],j ∈ [lbt, rbt],k ∈ [lct, rct] 的战舰 (i, j, k) 会受到 ht 的伤害。如果一个战舰累计受到的总伤害超过其防御力,那么这个战舰会爆炸。
地球指挥官希望你能告诉他,第一艘爆炸的战舰是在哪一轮攻击后爆炸的。
【输入格式】
从标准输入读入数据。
第一行包括 4 个正整数 A, B, C, m;
第二行包含 A × B × C 个整数,其中第 ((i − 1)×B + (j − 1)) × C + (k − 1)+1 个数为 d(i, j, k);
第 3 到第 m + 2 行中,第 (t − 2) 行包含 7 个正整数 lat, rat, lbt, rbt, lct, rct, ht。
【输出格式】
输出到标准输出。
输出第一个爆炸的战舰是在哪一轮攻击后爆炸的。保证一定存在这样的战舰。
【样例输入】
2 2 2 3
1 1 1 1 1 1 1 1
1 2 1 2 1 1 1
1 1 1 2 1 2 1
1 1 1 1 1 1 2
【样例输出】
2
【样例解释】
在第 2 轮攻击后,战舰 (1,1,1) 总共受到了 2 点伤害,超出其防御力导致爆炸。
【数据约定】
对于 10% 的数据,B = C = 1;
对于 20% 的数据,C = 1;
对于 40% 的数据,A × B × C, m ≤ 10, 000;
对于 70% 的数据,A, B, C ≤ 200;
对于所有数据,A × B × C ≤ 10^6, m ≤ 10^6, 0 ≤ d(i, j, k), ht ≤ 10^9。
资源约定:
峰值内存消耗(含虚拟机) < 256M
CPU消耗 < 2000ms
假期里学长发过讲线段树的pdf,后来见过求矩形面积并的博客。。不过还是不大会所以还是没写能AC的代码。。比赛时开三维数组过70%样例对我来说已经知足了。
附:长方体体积并
全解见:https://www.cnblogs.com/scx2015noip-as-php/p/2018_10_18.html#index_8
第八题:
标题:全球变暖
【题目描述】
你有一张某海域NxN像素的照片,"."表示海洋、"#"表示陆地,如下所示:
.......
.##....
.##....
....##.
..####.
...###.
.......
其中"上下左右"四个方向上连在一起的一片陆地组成一座岛屿。例如上图就有2座岛屿。
由于全球变暖导致了海面上升,科学家预测未来几十年,岛屿边缘一个像素的范围会被海水淹没。具体来说如果一块陆地像素与海洋相邻(上下左右四个相邻像素中有海洋),它就会被淹没。
例如上图中的海域未来会变成如下样子:
.......
.......
.......
.......
....#..
.......
.......
请你计算:依照科学家的预测,照片中有多少岛屿会被完全淹没。
【输入格式】
第一行包含一个整数N。 (1 <= N <= 1000)
以下N行N列代表一张海域照片。
照片保证第1行、第1列、第N行、第N列的像素都是海洋。
【输出格式】
一个整数表示答案。
【样例输入】
7
.......
.##....
.##....
....##.
..####.
...###.
.......
【样例输出】
1
资源约定:
峰值内存消耗(含虚拟机) < 256M
CPU消耗 < 1000ms
两遍dfs:
#include <bits/stdc++.h>
using namespace std;
char island[1010][1010];
char tmp[1010][1010];
const int x[] = {0,0,-1,1,-1,1,-1,1};
const int y[] = {1,-1,0,0,1,1,-1,-1};
int n;
void dfs(int a,int b){
island[a][b] = '.';
for(int i = 0;i < 8;i++)
if((a+x[i] >= 0) && (a+x[i] < n) && (b+y[i] >= 0) && (b+y[i] < n) && (island[a+x[i]][b+y[i]] == '#'))
dfs(a+x[i],b+y[i]);
}
int main(){
int fir = 0,sec = 0;
cin >> n;
for(int i = 0;i < n;i++)cin >> tmp[i];
memcpy(island,tmp,sizeof(tmp));
for(int i = 0;i < n;i++)
for(int j = 0;j < n;j++)
if(island[i][j] == '#'){
fir++;
dfs(i,j);
}
for(int i = 0;i < n;i++)
for(int j = 0;j < n;j++)
if(tmp[i][j] == '#'){
for(int k = 0;k < 4;k++)
if((i+x[k] >= 0) && (i+x[k] < n) && (j+y[k] >= 0) && (j+y[k] < n) && (tmp[i+x[k]][j+y[k]] == '.'))
tmp[i][j] = '*';
if(tmp[i][j] == '*')island[i][j] = '.';
else island[i][j] = '#';
}
else island[i][j] = tmp[i][j];
for(int i = 0;i < n;i++)
for(int j = 0;j < n;j++)
if(island[i][j] == '#'){
sec++;
dfs(i,j);
}
cout << fir-sec;
return 0;
}
空间足够用了tmp数组,如果内存给得不够可以第一遍dfs把island改成其他字符以区分,可以剩下一个tmp的空间。
修正:两遍dfs的做法是错误的,详情见评论。
详解https://www.cnblogs.com/scx2015noip-as-php/p/2018_9_15.html
第九题:
标题:倍数问题
【题目描述】
众所周知,小葱同学擅长计算,尤其擅长计算一个数是否是另外一个数的倍数。但小葱只擅长两个数的情况,当有很多个数之后就会比较苦恼。现在小葱给了你 n 个数,希望你从这 n 个数中找到三个数,使得这三个数的和是 K 的倍数,且这个和最大。数据保证一定有解。
【输入格式】
从标准输入读入数据。
第一行包括 2 个正整数 n, K。
第二行 n 个正整数,代表给定的 n 个数。
【输出格式】
输出到标准输出。
输出一行一个整数代表所求的和。
【样例入】
4 3
1 2 3 4
【样例输出】
9
【样例解释】
选择2、3、4。
【数据约定】
对于 30% 的数据,n <= 100。
对于 60% 的数据,n <= 1000。
对于另外 20% 的数据,K <= 10。
对于 100% 的数据,1 <= n <= 10^5, 1 <= K <= 10^3,给定的 n 个数均不超过 10^8。
资源约定:
峰值内存消耗(含虚拟机) < 256M
CPU消耗 < 1000ms
比赛的时候开了1e5的数组直接存数,现在想想这题应该是WA了,没仔细看数据规模被坑得不轻。
看到数据规模,n的个数1e8,而最大才1e5,这样每个数平均会有1e3个,而只挑3个数,多余的997个是没有任何用的,所以采用计数排序,开1e5数组,代表每个元素有多少个,>3的和3无差别,从大到小三层循环找最合适的数。另外,大数据输入,用scanf。
#include <bits/stdc++.h>
using namespace std;
const int MAXN = 1e5+10;
int num[MAXN];
int main(){
bool flag = false;
int n,t,x,maxx = 0,res;
scanf("%d%d",&n,&t);
while(n--){
scanf("%d",&x);
maxx = max(maxx,x);
num[x]++;
}
for(int i = maxx;i > 0;i--){
num[i]--;
if(num[i] >= 0)
for(int j = maxx;j > 0;j--){
num[j]--;
if(num[j] >= 0)
for(int k = maxx;k > 0;k--){
if((num[i] >= 0) && (num[j] >= 0) && (num[k] > 0)){
int sum = i+j+k;
if(sum%t == 0){
res = sum;
flag = true;
break;
}
}
}
num[j]++;
if(flag)break;
}
num[i]++;
if(flag)break;
}
cout << res;
return 0;
}
修正:
能拿满分的正解是根据%k的模数在取模后相同的数里取前三大的,因为其他的数一定不会产生影响。这样最终能对答案产生影响的数只有3000个,设dp[i][j]表示选了i个数,这i个数的和模k的余数为j时 这些数的和的最大值。背包转移即可。(参考了https://www.cnblogs.com/scx2015noip-as-php/p/2018_9_15.html)
2019-3-21更新:
自写代码,不保证正确,欢迎纠错:
#include <bits/stdc++.h>
using namespace std;
typedef long long ll;
typedef unsigned long long ull;
static const int maxn = 100010;
static const int INF = 0x3f3f3f3f;
static const int mod = (int)1e9 + 7;
static const double eps = 1e-6;
static const double pi = acos(-1);
void redirect(){
#ifdef LOCAL
freopen("test.txt","r",stdin);
#endif
}
priority_queue<int,vector<int>,greater<int> >pq[1010];
int dp[4][1010];
int main(){
redirect();
int n,k;
scanf("%d %d",&n,&k);
while(n--){
int x;
scanf("%d",&x);
pq[x%k].push(x);
while(pq[x%k].size() > 3)pq[x%k].pop();
}
for(int i = 0;i < k;i++){
vector<int>v;
while(!pq[i].empty())v.push_back(pq[i].top()),pq[i].pop();
for(auto& x : v){
if(dp[2][(k-i)%k])dp[3][0] = max(dp[3][0],dp[2][(k-i)%k]+x);
for(int j = 0;j < k;j++)
if(dp[1][j])dp[2][(x+j)%k] = max(dp[2][(x+j)%k],dp[1][j]+x);
dp[1][i] = max(dp[1][i],x);
}
}
printf("%d\n",dp[3][0]);
return 0;
}
第十题:
标题:付账问题
【题目描述】
几个人一起出去吃饭是常有的事。但在结帐的时候,常常会出现一些争执。
现在有 n 个人出去吃饭,他们总共消费了 S 元。其中第 i 个人带了 ai 元。幸运的是,所有人带的钱的总数是足够付账的,但现在问题来了:每个人分别要出多少钱呢?
为了公平起见,我们希望在总付钱量恰好为 S 的前提下,最后每个人付的钱的标准差最小。这里我们约定,每个人支付的钱数可以是任意非负实数,即可以不是1分钱的整数倍。你需要输出最小的标准差是多少。
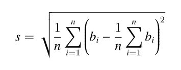
标准差的介绍:标准差是多个数与它们平均数差值的平方平均数,一般用于刻画这些数之间的“偏差有多大”。形式化地说,设第 i 个人付的钱为 bi 元,那么标准差为 : [参见p1.png]
【输入格式】
从标准输入读入数据。
第一行包含两个整数 n、S;
第二行包含 n 个非负整数 a1, ..., an。
【输出格式】
输出到标准输出。
输出最小的标准差,四舍五入保留 4 位小数。
保证正确答案在加上或减去 10^−9 后不会导致四舍五入的结果发生变化。
【样例1输入】
5 2333
666 666 666 666 666
【样例输出】
0.0000
【样例解释】
每个人都出 2333/5 元,标准差为 0。
再比如:
【样例输入】
10 30
2 1 4 7 4 8 3 6 4 7
【样例输出】
0.7928
【数据说明】
对于 10% 的数据,所有 ai 相等;
对于 30% 的数据,所有非 0 的 ai 相等;
对于 60% 的数据,n ≤ 1000;
对于 80% 的数据,n ≤ 10^5;
对于所有数据,n ≤ 5 × 10^5, 0 ≤ ai ≤ 10^9。
资源约定:
峰值内存消耗(含虚拟机) < 256M
CPU消耗 < 1000ms

思路:先求一个平均费用avg = S/n,如果有人付不起avg,他们要把他们的钱全付完,不够的需要钱多于avg的人付,但是这些付不起avg的人少付的钱会抬高>avg的人的付费平均值,或许又会有人付不起这个新的avg,所以循环这个过程,直到没有人付不起被抬高的avg。这样的话那些都能付得起新的avg的有钱人付的钱均相等,都是新的avg。这应该是最贪心的思路了。代码比较复杂,有空再写了贴出来。
总结:考场上思路不是很开拓,能做的题太想省时间了,结果偷鸡不成蚀把米,做了个稀里糊涂。大题没有在线测评,估计会有很多bug吧,反正AC是不可能AC的。。大一第一次参加蓝桥杯,以后还有机会,这次300报名费当交学费了吧。
2019-03-07更新:
最近很多朋友对题解中发现的错误进行了指正,在此我很感谢大家,如果没有大家的斧正可能这篇博客中的会误导许多人,而对我来说也不会知道自己错了。虽然去年侥幸拿了省一,不过如此fake的算法能拿省一,更坚定了大家能拿省一的信心不是吗?离3.24省赛不久了,预祝大家(也包括我自己)取得好成绩,我们五月份北京见!
6750





