给定一个链表,判断链表中是否有环。
为了表示给定链表中的环,我们使用整数 pos 来表示链表尾连接到链表中的位置(索引从 0 开始)。 如果 pos 是 -1,则在该链表中没有环。
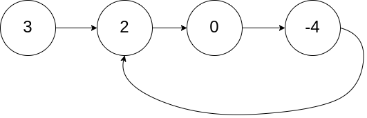
示例 1:
输入:head = [3,2,0,-4], pos = 1
输出:true
解释:链表中有一个环,其尾部连接到第二个节点。
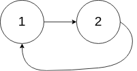
示例 2:
输入:head = [1,2], pos = 0
输出:true
解释:链表中有一个环,其尾部连接到第一个节点。
示例 3:
输入:head = [1], pos = -1
输出:false
解释:链表中没有环。
进阶:
你能用 O(1)(即,常量)内存解决此问题吗?
解题思路:
1,设置一个集合存储链表中的结点。
2,遍历链表,在遍历链表的时候,如果此结点点的下一个结点与集合中的结点相同,那么该链表存在环。
代码如下:
/**
* Definition for singly-linked list.
* class ListNode {
* int val;
* ListNode next;
* ListNode(int x) {
* val = x;
* next = null;
* }
* }
*/
public class Solution {
public boolean hasCycle(ListNode head) {
Set<ListNode> nodesSeen = new HashSet<>();
while (head != null) {
if (nodesSeen.contains(head)) {
return true;
} else {
nodesSeen.add(head);
}
head = head.next;
}
return false;
}
}
本文介绍了一种判断链表中是否存在环的算法,通过使用集合存储已访问过的节点,实现链表环的检测。示例展示了不同情况下链表环的判断结果。



869

被折叠的 条评论
为什么被折叠?



