数学之美在于其严谨准确。
然而现实世界不存在准确,一切的一切都是变动的,随机的。边界条件不封闭。客观规律不收敛。
所以对世界事物的描述只能基于统计学,万事都要加个应该也许可能吧?
好吧,还有另一种说法,如果一切归法,则世间的一切都是既定的,可追溯,可推导。在一切的初始,结局就已经注定。
俗话说的好,如果不知道干啥,就出狼骑,如果不知道咋整,就找高斯。
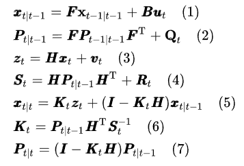
状态转移矩阵 状态量之间的相互作用
状态控制矩阵&状态控制向量 对状态造成改变的其他因素
协方差矩阵 估计值与真实值差距的估计
测量变换矩阵 真实状态空间映射到测量空间
kalman增益决定到底信谁多一点 真实值与最优估计之差最小,求导数等于零
最优估计k-1 -> 预测值k
观测值k * 预测值k -> 最优估计k
周而复始
盗图一张

1257

被折叠的 条评论
为什么被折叠?



