概念
单层感知器算法是神经网络算法中结构最简单的模型,作为一种线性分类器,它可以对两种类型进行线性分类。感知器是生物神经细胞的简单抽象,是神经网络的原型,是以最简单的方式模拟人类神经元的算法。
神经元图示:

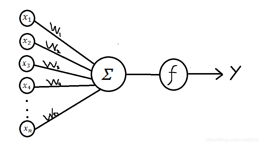
算法模型图示:

xix_ixi表示输入信号,是根据预先定义的特征工程的非线性转换,wiw_iwi表示每一种输入信号对应的权重,y表示输出信号。f是激活函数,Σ\varSigmaΣ表示的是对所有输入数据的求和。
这样一来就有如下等式:
z=w1∗x1+w2∗x2+w3∗x3......wn∗xn=wT∗x \begin{aligned} z&=w_1*x_1+w_2*x_2+w_3*x_3... ...w_n*x_n\\ &=\bold{w}^T*\bold{x} \end{aligned} z=w1∗x1+w2∗x2+w3∗x3......wn∗xn=wT∗x
其中
wT=[w1w2w3...wn]T\bold{w}^T=\begin{bmatrix} w_1 \\ w_2\\ w_3\\ ...\\ w_n \end{bmatrix}^T
单层感知器解析

最低0.47元/天 解锁文章
722

被折叠的 条评论
为什么被折叠?



