文章概述
目前对于情感分析ASTE三元组任务(aspect, opinion, sentiment)的提取主要采用流水线(pipeline)的方式,但这显而易见会存在错误累积的问题。而在流水线方法当中采用序列标注的方式提取三元组的方法较为主流,但是却会存在高度集中的问题,即对于嵌套型实体无能无力且较难学习到方面-意见-情感之间存在的依赖关系,因此基于跨度的方法逐渐应用到ASTE任务当中。
基于上述情况,该篇文章以BART模型为主要框架,通过一个序列到序列的文本生成任务实现端到端的三元组提取。
文章模型
问题定义
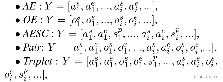
作者使用a,o,s分别代替aspect term(方面术语)、opinion(意见词)、sentiment(情感),用上标s、e代表起始位置和结束位置(跨度),那么对于目标的生成的序列可以如下所示:

可以发现,通过这种的问题定义,作者可以处理ASTE的任何子任务。
文章模型

作者提出的模型如上图所示,以BART预训练模型为主干。在encoder阶段会输入句子的token embedding和position embedding,可以参考BERT模型输入来理解。不过这里作者为了能更好的保留其自身的特征,在得到last hidden以后还应用了残差连接。
在译码阶段,会见encoder阶段的last hidden和t-1时刻的decoder的输出作为BARTdecoder的输入,并通过一个Index2Token的转化从而转换为token输入。具体的转换方式如下所示:

文章总结
不同于之前的方法,作者通过一个序列到序列的统一的生成框架完成了ASTE三元组的提取,并且可以处理其中的任何一个子任务,并且在所有数据集当中取到了最好的结果。
附录
跨度为什么要比序列标注的好:https://zhuanlan.zhihu.com/p/147160125
beam search:https://zhuanlan.zhihu.com/p/82829880
Teacher forcing:https://www.cnblogs.com/dangui/p/14690919.html
文章地址:https://arxiv.org/abs/2106.04300v1
本文探讨了如何利用BART模型解决情感分析中ASTE任务的错误累积问题,提出一种基于序列到序列的生成框架,有效处理嵌套实体和依赖关系,实现了端到端的三元组(aspect, opinion, sentiment)提取,取得最佳效果。
2116

被折叠的 条评论
为什么被折叠?



