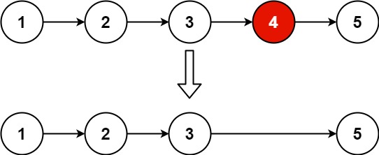
链表操作如下图:
时间复杂度:
- prepend:
O(1) - append: 如果已知尾节点
O(1),否则需要遍历到尾节点,然后加入新节点O(n) - insert: 插入到已知节点的后面
O(1),需要先查找后插入O(n) - lookup:
O(n) - Delete:删除已知节点
O(1),需要先查找后删除O(n)
19. 删除链表的倒数第 N 个结点 (medium)
给你一个链表,删除链表的倒数第 n 个结点,并且返回链表的头结点。
示例 1:
输入:head = [1,2,3,4,5], n = 2
输出:[1,2,3,5]
示例 2:输入:head = [1], n = 1
输出:[]
示例 3:输入:head = [1,2], n = 1
输出:[1]提示:
链表中结点的数目为 sz
1 <= sz <= 30
0 <= Node.val <= 100
1 <= n <= sz进阶:你能尝试使用一趟扫描实现吗?
方法1:栈
- 思路:循环链表,将所有的节点入栈,然后在弹出栈n次,就是我们需要删除的节点
- 复杂度:时间复杂度
O(L),L是链表的长度,空间复杂度O(L)。
方法2:遍历2次
- 思路:遍历一次链表的到链表的长度L,在重头遍历到
L-n+1的位置就是需要删除的节点。 - 复杂度:时间复杂度
O(L),L是链表的长度,空间复杂度O(1)
方法3:遍历1次
- 思路:新建dummy节点指向head,指针n1,n2指向head,循环n2指针到n的位置,然后在同时移动n1,n2,直到结尾,n1,n2的距离是n,此时n1的位置就是需要删除元素的位置
- 复杂度:时间复杂度
O(L),L是链表的长度,空间复杂度O(1)
js:
var removeNthFromEnd = function (head, n) {
let dummy = new ListNode();
dummy.next = head;
let n1 = dummy;
let n2 = dummy;
for (let i = 0; i <= n; i++) {//n2移动n+1次
n2 = n2.next;
}
while (n2 !== null) {//同时移动n1,n2
n1 = n1.next;
n2 = n2.next;
}
n1.next = n1.next.next;//删除元素
return dummy.next;
};
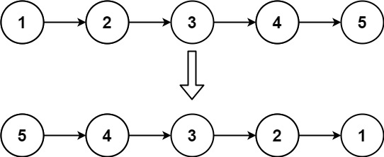
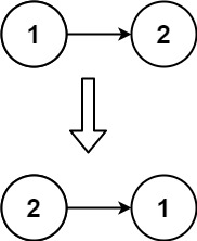
206. 反转链表(easy)
给你单链表的头节点 head ,请你反转链表,并返回反转后的链表。
示例 1:
输入:head = [1,2,3,4,5]
输出:[5,4,3,2,1]
示例 2:
输入:head = [1,2]
输出:[2,1]
示例 3:输入:head = []
输出:[]提示:
链表中节点的数目范围是 [0, 5000]
-5000 <= Node.val <= 5000
方法1.头插法:
- 思路:准备一个临时节点,然后遍历链表,准备两个指针head和next,每次循环到一个节点的时候,将
head.next指向temp.next,并且将temp.next指向head,head和next向后移一位。 - 复杂度分析:时间复杂度:
O(n), n为链表节点数,空间复杂度:O(1)
js:
var reverseList = function (head) {
let temp = new ListNode();
let next = null;
while (head) {
next = head.next;//下一个节点
head.next = temp.next;
temp.next = head;//head接在temp的后面
head = next;//head向后移动一位
}
return temp.next;
};
方法2.迭代法:
- 思路: 遍历链表,准备prev,curr,next三个指针,在遍历的过程中,让当前指针
curr.next指向前一个指针prev,然后不断让prev,curr,next向后移动,直到curr为null - 复杂度分析:时间复杂度:
O(n), n为链表节点数,空间复杂度:O(1)
js:
var reverseList = function (head) {
let prev = null;
let curr = head;
let next = null;
while (curr !== null) {
next = curr.next;//next向后移动一位
curr.next = prev;//让当前指针curr.next指向前一个指针prev
prev = curr;//prev向后移动一位
curr = next;//curr向后移动一位
//[curr.next, prev, curr] = [prev, curr, curr.next]
}
return prev;
};
方法3.递归:
- 思路:用递归函数不断传入
head.next,直到head==null或者heade.next==null,到了递归最后一层的时候,让后面一个节点指向前一个节点,然后让前一个节点的next置为空,直到到达第一层,就是链表的第一个节点,每一层都返回最后一个节点。 - 复杂度分析:时间复杂度:
O(n),n是链表的长度。空间复杂度:O(n), n是递归的深度,递归占用栈空间,可能会达到n层
js:
var reverseList = function(head) {
if (head == null || head.next == null) {//递归终止条件
return head;
}
const newHead = reverseList(head.next);//递归调用reverseList
head.next.next = head;//到了递归最后一层的时候,让后面一个节点指向前一个节点
head.next = null;//前一个节点的next置为空
return newHead;//返回最后一个节点
};
2. 两数相加 (medium)
给你两个 非空 的链表,表示两个非负的整数。它们每位数字都是按照 逆序 的方式存储的,并且每个节点只能存储 一位 数字。
请你将两个数相加,并以相同形式返回一个表示和的链表。
你可以假设除了数字 0 之外,这两个数都不会以 0 开头。
示例 1:
输入:l1 = [2,4,3], l2 = [5,6,4]
输出:[7,0,8]
解释:342 + 465 = 807.
示例 2:输入:l1 = [0], l2 = [0]
输出:[0]
示例 3:输入:l1 = [9,9,9,9,9,9,9], l2 = [9,9,9,9]
输出:[8,9,9,9,0,0,0,1]提示:
每个链表中的节点数在范围 [1, 100] 内
0 <= Node.val <= 9
题目数据保证列表表示的数字不含前导零

- 思路:循环两个链表,计算每个节点相加的和在加进位,然后计算进位,处理最后一次的进位。
- 复杂度:时间复杂度
O(max(m,n)),循环的次数是链表较长的那个。空间复杂度O(1)
js:
var addTwoNumbers = function(l1, l2) {
let head = null, tail = null;
let carry = 0;
while (l1 || l2) {//循环l1,l2链表
const n1 = l1 ? l1.val : 0;
const n2 = l2 ? l2.val : 0;
const sum = n1 + n2 + carry;//两链表节点相加在加进位
if (!head) {
head = tail = new ListNode(sum % 10);//当没有节点的时候新建节点
} else {
tail.next = new ListNode(sum % 10);//有节点的时候则加入tail节点的后面
tail = tail.next;
}
carry = Math.floor(sum / 10);//求进位
if (l1) {//移动l1指针
l1 = l1.next;
}
if (l2) {//移动l2指针
l2 = l2.next;
}
}
if (carry > 0) {//最后一位节点是否有进位
tail.next = new ListNode(carry);
}
return head;
};
146. LRU 缓存机制 (medium)
请你设计并实现一个满足 LRU (最近最少使用) 缓存 约束的数据结构。
实现 LRUCache 类:
LRUCache(int capacity) 以 正整数 作为容量 capacity 初始化 LRU 缓存
int get(int key) 如果关键字 key 存在于缓存中,则返回关键字的值,否则返回 -1 。
void put(int key, int value) 如果关键字 key 已经存在,则变更其数据值 value ;如果不存在,则向缓存中插入该组 key-value 。如果插入操作导致关键字数量超过 capacity ,则应该 逐出 最久未使用的关键字。
函数 get 和 put 必须以 O(1) 的平均时间复杂度运行。示例:
输入
[“LRUCache”, “put”, “put”, “get”, “put”, “get”, “put”, “get”, “get”, “get”]
[[2], [1, 1], [2, 2], [1], [3, 3], [2], [4, 4], [1], [3], [4]]
输出
[null, null, null, 1, null, -1, null, -1, 3, 4]解释
LRUCache lRUCache = new LRUCache(2);
lRUCache.put(1, 1); // 缓存是 {1=1}
lRUCache.put(2, 2); // 缓存是 {1=1, 2=2}
lRUCache.get(1); // 返回 1
lRUCache.put(3, 3); // 该操作会使得关键字 2 作废,缓存是 {1=1, 3=3}
lRUCache.get(2); // 返回 -1 (未找到)
lRUCache.put(4, 4); // 该操作会使得关键字 1 作废,缓存是 {4=4, 3=3}
lRUCache.get(1); // 返回 -1 (未找到)
lRUCache.get(3); // 返回 3
lRUCache.get(4); // 返回 4提示:
1 <= capacity <= 3000
0 <= key <= 10000
0 <= value <= 105
最多调用 2 * 105 次 get 和 put


-
思路:准备一个哈希表和双向链表存储键值对,哈希表O(1)就能查找到键值对,双向链表方便从链表头部新增节点,也可以从队尾删除节点
- get的时候,查找哈希表中有没有该键值对,不存在就返回-1,存在就返回该节点的值,并且将该节点移动到链表的头部
- put的时候,查找哈希表中有没有该键值对,如果存在就更新该节点,并且移动到链表的头部,不存在就创建一个节点,加入到哈希表和链表的头部,并且让节点数
count+1,如果超出容量,就从队尾删除一个节点
-
复杂度:put、get时间复杂度都是
O(1),空间复杂度O(c),c是LRU的容量
js:
class ListNode {
constructor(key, value) {//双向链表的单个节点
this.key = key
this.value = value
this.next = null //指向后一个节点
this.prev = null //指向前一个节点
}
}
class LRUCache {
constructor(capacity) {
this.capacity = capacity //容量
this.hashTable = {} //存放键值对信息
this.count = 0 //键值对数量
this.dummyHead = new ListNode() //dummy头节点 方便在链表从开始的地方插入
this.dummyTail = new ListNode() //dummy尾节点 方便在链表从末尾删除
this.dummyHead.next = this.dummyTail //dummyHead和dummyTail相互连接
this.dummyTail.prev = this.dummyHead
}
get(key) {
let node = this.hashTable[key]//查找哈希表中的键值对
if (node == null) return -1 //不存在该键值对 返回-1
this.moveToHead(node) //移动到链表头
return node.value
}
put(key, value) {
let node = this.hashTable[key] //哈希表中查找该键值对
if (node == null) {
let newNode = new ListNode(key, value) //不存在就创建节点
this.hashTable[key] = newNode //加入哈希表
this.addToHead(newNode) //加入链表头
this.count++ //节点数+1
if (this.count > this.capacity) { //超过容量 从队尾删除一个
this.removeLRUItem()
}
} else {
node.value = value //键值对存在于哈希表中 就更新
this.moveToHead(node) //移动到队头
}
}
moveToHead(node) {
this.removeFromList(node)//从链表中删除节点
this.addToHead(node)//将该节点添加到链表头
}
removeFromList(node) {//删除的指针操作
let tempForPrev = node.prev
let tempForNext = node.next
tempForPrev.next = tempForNext
tempForNext.prev = tempForPrev
}
addToHead(node) {//加入链表头的指针操作
node.prev = this.dummyHead
node.next = this.dummyHead.next
this.dummyHead.next.prev = node
this.dummyHead.next = node
}
removeLRUItem() {
let tail = this.popTail()//从链表中删除
delete this.hashTable[tail.key]//从哈希表中删除
this.count--
}
popTail() {
let tailItem = this.dummyTail.prev//通过dummyTail拿到最后一个节点 然后删除
this.removeFromList(tailItem)
return tailItem
}
}
328. 奇偶链表 (medium)
给定单链表的头节点 head ,将所有索引为奇数的节点和索引为偶数的节点分别组合在一起,然后返回重新排序的列表。
第一个节点的索引被认为是 奇数 , 第二个节点的索引为 偶数 ,以此类推。
请注意,偶数组和奇数组内部的相对顺序应该与输入时保持一致。
你必须在 O(1) 的额外空间复杂度和 O(n) 的时间复杂度下解决这个问题。
示例 1:
输入: head = [1,2,3,4,5]
输出: [1,3,5,2,4]
示例 2:
输入: head = [2,1,3,5,6,4,7]
输出: [2,3,6,7,1,5,4]提示:
n == 链表中的节点数
0 <= n <= 104
-106 <= Node.val <= 106
- 思路:奇偶指针循环链表,奇数指针不断串连奇数节点,偶数指针不断串连偶数节点,最后奇数指针的结尾连接偶数节点的开始
- 复杂度:时间复杂度
O(n),空间复杂度O(1)
js:
var oddEvenList = function(head) {
if (head === null) {
return head;
}
let evenHead = head.next;
let odd = head, even = evenHead;
while (even !== null && even.next !== null) {//偶数指针不为空 继续循环
odd.next = even.next;//奇数指针指向偶数指针的next
odd = odd.next;//移动奇数指针
even.next = odd.next;//偶数指针指向奇数指针的next
even = even.next;//移动偶数指针
}
odd.next = evenHead;//奇数指针结尾连接上偶数指针的开始
return head;
};
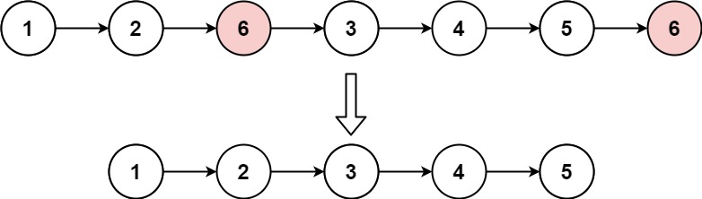
203. 移除链表元素 (easy)
给你一个链表的头节点 head 和一个整数 val ,请你删除链表中所有满足 Node.val == val 的节点,并返回 新的头节点 。
示例 1:
输入:head = [1,2,6,3,4,5,6], val = 6
输出:[1,2,3,4,5]
示例 2:输入:head = [], val = 1
输出:[]
示例 3:输入:head = [7,7,7,7], val = 7
输出:[]提示:
列表中的节点数目在范围 [0, 104] 内
1 <= Node.val <= 50
0 <= val <= 50
方法1.递归
- 思路:递归调用函数removeElements,传入
head.next和 val,如果当前元素值是val,则返回下一个元素,否则直接返回当前元素 - 复杂度:时间复杂度
O(n),n是链表的长度,空间复杂度是O(n),递归栈的深度,最大为n
js:
//例:0->1->2->3 val=2
//level1: 0.next = removeElements(1, 2); return 1 0->1->3->null
//level2: 1.next = removeElements(2, 2); return 3 1->3->null
//level3: 2.next = removeElements(3, 2); return 3 2->3->null
//level4: 3.next = removeElements(null, 2); return null; 3->null
var removeElements = function(head, val) {
if (head === null) {//递归终止 遍历完了链表
return head;
}
head.next = removeElements(head.next, val);//递归调用函数removeElements
return head.val === val ? head.next : head;//如果当前元素值是val,则返回下一个元素,否则直接返回当前元素
};
方法2.迭代
- 思路:创建dummy节点,将dummy节点的next指向head,temp指向dummy,当temp的next不为null 不断移动temp指针,当temp的next值是要删除的 则删除该节点
- 复杂度:时间复杂度
O(n),n是链表的长度,空间复杂度是O(1)
js:
//2->1->2->3
//dummy->2->1->2->3
var removeElements = function(head, val) {
const dummyHead = new ListNode(0);//创建dummy节点,将dummy节点的next指向head,temp指向dummy
dummyHead.next = head;
let temp = dummyHead;
while (temp.next !== null) {//当temp的next不为null 不断循环节点
if (temp.next.val == val) {
temp.next = temp.next.next;//当temp的next值是要删除的 则删除该节点
} else {
temp = temp.next;//移动temp指针
}
}
return dummyHead.next;
};
237. 删除链表中的节点(easy)
有一个单链表的 head,我们想删除它其中的一个节点 node。
给你一个需要删除的节点 node 。你将 无法访问 第一个节点 head。
链表的所有值都是 唯一的,并且保证给定的节点 node 不是链表中的最后一个节点。
删除给定的节点。注意,删除节点并不是指从内存中删除它。这里的意思是:
给定节点的值不应该存在于链表中。
链表中的节点数应该减少 1。
node 前面的所有值顺序相同。
node 后面的所有值顺序相同。
自定义测试:对于输入,你应该提供整个链表 head 和要给出的节点 node。node 不应该是链表的最后一个节点,而应该是链表中的一个实际节点。
我们将构建链表,并将节点传递给你的函数。
输出将是调用你函数后的整个链表。示例 1:
输入:head = [4,5,1,9], node = 5
输出:[4,1,9]
解释:指定链表中值为 5 的第二个节点,那么在调用了你的函数之后,该链表应变为 4 -> 1 -> 9
示例 2:
输入:head = [4,5,1,9], node = 1
输出:[4,5,9]
解释:指定链表中值为 1 的第三个节点,那么在调用了你的函数之后,该链表应变为 4 -> 5 -> 9提示:
链表中节点的数目范围是 [2, 1000]
-1000 <= Node.val <= 1000
链表中每个节点的值都是 唯一 的
需要删除的节点 node 是 链表中的节点 ,且 不是末尾节点
[外链图片转存失败,源站可能有防盗链机制,建议将图片保存下来直接上传(img-EYqQCezi-1676869185119)(null)]
- 思路:将要删除节点的下一个节点的值覆盖自己的值,然后让当前节点指向下一个节点的next
- 复杂度:时间复杂度和空间复杂度都是
O(1)
js:
var deleteNode = function(node) {
node.val = node.next.val//将要删除节点的下一个节点的值覆盖自己的值Ï
node.next = node.next.next//让当前节点指向下一个节点的next
};
24. 两两交换链表中的节点 (medium)
给你一个链表,两两交换其中相邻的节点,并返回交换后链表的头节点。你必须在不修改节点内部的值的情况下完成本题(即,只能进行节点交换)。
示例 1:
输入:head = [1,2,3,4]
输出:[2,1,4,3]
示例 2:输入:head = []
输出:[]
示例 3:输入:head = [1]
输出:[1]提示:
链表中节点的数目在范围 [0, 100] 内
0 <= Node.val <= 100
方法1.递归:

- 思路:用递归函数不断传入链表的下一个节点,终止条件是
head === null|| head.next === null,也就是至少存在两个节点进行两两交换,在最后一层的时候开始两两反转,让当前递归层的head.next指向交换后返回的头节点,然后让反转后的新的头节点指向当前层的head的节点,这样就实现了两两交换,最后返回反转后链表的头节点 - 复杂的分析:时间复杂度
O(n), n 是链表的节点数量。空间复杂度O(n),n是递归调用的栈空间
js:
var swapPairs = function(head) {
if (head === null|| head.next === null) {//终止条件,必须要有两个节点
return head;
}
const newHead = head.next;//反转后链表的头节点,
head.next = swapPairs(newHead.next);//让当前递归层的head.next指向交换后返回的头节点
newHead.next = head;//让反转后的新的头节点指向当前层的head的节点
return newHead;//返回反转后的头节点
};
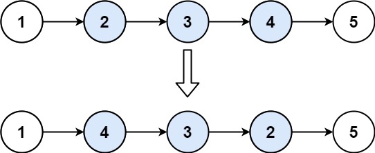
方法2.循环(虚拟头节点)
[外链图片转存失败,源站可能有防盗链机制,建议将图片保存下来直接上传(img-r173iraz-1676869182813)(null)]
-
思路:设置虚拟头节点dummyHead,让
dummyHead.next指向head,当temp.next !== null && temp.next.next !== null的时候,也就是dummyHead后面存在至少两个节点,才开始两两交换节点。交换之前准备三个指针temp指向dummyHead,node1是dummyHead后面的第一个节点,node2是dummyHead后的第二个节点,交换的时候让temp.next指向node2,node1.next指向node2.next,node2.next指向node1,每次循环迭代让这三个节点后移一个节点,最后返回dummyHead.next,核心步骤是temp.next = node2; node1.next = node2.next; node2.next = node1; -
复杂的分析:时间复杂度
O(n), n 是链表的节点数量。空间复杂度O(1),
Js:
var swapPairs = function(head) {
const dummyHead = new ListNode(0);//虚拟头节点
dummyHead.next = head;//初始的时候让虚拟头节点指向head,
let temp = dummyHead;//temp指针
while (temp.next !== null && temp.next.next !== null) {//循环条件,dummyHead后存在至少两个节点
const node1 = temp.next;//node1指针,即dummyHead后的第一个节点
const node2 = temp.next.next;//node2指针,即dummyHead后的第二个节点
temp.next = node2;//下面三行是两两交换的核心代码
node1.next = node2.next;
node2.next = node1;
temp = node1;//后移一个节点的位置
}
return dummyHead.next;//返回交换后的头节点
};
21. 合并两个有序链表 (easy)
将两个升序链表合并为一个新的 升序 链表并返回。新链表是通过拼接给定的两个链表的所有节点组成的。
示例 1:
输入:l1 = [1,2,4], l2 = [1,3,4]
输出:[1,1,2,3,4,4]
示例 2:输入:l1 = [], l2 = []
输出:[]
示例 3:输入:l1 = [], l2 = [0]
输出:[0]提示:
两个链表的节点数目范围是 [0, 50]
-100 <= Node.val <= 100
l1 和 l2 均按 非递减顺序 排列
方法1.递归

- 思路:递归合并节点,当前节点谁小,就让这个较小的节点的next和另一个链表继续递归合并,直到两个链表有一个的nxet不存在了,那就没法分割问题了,只能返回
- 复杂度:时间复杂度
O(m+n),m、n为两个链表的长度,每次递归排除掉一个节点,总递归次数是m+n。空间复杂度O(m+n),递归栈空间
js:
var mergeTwoLists = function(l1, l2) {
//递归终止 分隔到不能分割 也就是两个链表有一个的nxet不存在了 那就没法分割问题了 只能返回
if (l1 === null) {
return l2;
} else if (l2 === null) {
return l1;
} else if (l1.val < l2.val) {//当前节点谁小,就让这个较小的节点的next和另一个链表继续递归合并
l1.next = mergeTwoLists(l1.next, l2);//分隔成合并l1.next, l2的子问题
return l1;
} else {
l2.next = mergeTwoLists(l1, l2.next);
return l2;
}
};
方法2.迭代
- 思路:设立虚拟头节点prehead,prev节点初始指向prehead,循环两个链表,两个链表中小的节点接在prev的后面,不断移动prev,最后返回
prehead.next - 复杂度:时间复杂度
O(m+n),m、n为两个链表的长度,循环m+n次。空间复杂度O(1)
js:
var mergeTwoLists = function(l1, l2) {
const prehead = new ListNode(-1);//虚拟头节点
let prev = prehead;
while (l1 != null && l2 != null) {//循环两个链表
if (l1.val <= l2.val) {//小的节点接在prev的后面
prev.next = l1;
l1 = l1.next;//向后移动l1
} else {
prev.next = l2;//向后移动l2
l2 = l2.next;
}
prev = prev.next;////向后移动prev
}
prev.next = l1 === null ? l2 : l1;//两个链表一个遍历完,另一个可能还没遍历完,没遍历完的接上
return prehead.next;//返回prehead.next
};
92. 反转链表 II(medium)
给你单链表的头指针 head 和两个整数 left 和 right ,其中 left <= right 。请你反转从位置 left 到位置 right 的链表节点,返回 反转后的链表 。
示例 1:
输入:head = [1,2,3,4,5], left = 2, right = 4
输出:[1,4,3,2,5]
示例 2:输入:head = [5], left = 1, right = 1
输出:[5]提示:
链表中节点数目为 n
1 <= n <= 500
-500 <= Node.val <= 500
1 <= left <= right <= n
方法1
- 思路:切断left到right的子链,然后反转,最后在反向连接
- 复杂度:时间复杂度
O(n),空间复杂度O(1)
js:
var reverseBetween = function(head, left, right) {
const dummyNode = new ListNode(-1);
dummyNode.next = head;//虚拟头节点
let pre = dummyNode;
for (let i = 0; i < left - 1; i++) {//pre遍历到left的前一个节点
pre = pre.next;
}
let rightNode = pre;
for (let i = 0; i < right - left + 1; i++) {//rightNode遍历到right的位置
rightNode = rightNode.next;
}
let leftNode = pre.next;//保存leftNode
let curr = rightNode.next;//保存rightNode.next
//切断left到right的子链
pre.next = null;
rightNode.next = null;
//206题的逻辑 反转left到right的子链
reverseLinkedList(leftNode);
//返乡连接
pre.next = rightNode;
leftNode.next = curr;
return dummyNode.next;
};
const reverseLinkedList = (head) => {
let pre = null;
let cur = head;
while (cur) {
const next = cur.next;
cur.next = pre;
pre = cur;
cur = next;
}
}
方法2
- 思路:从left遍历到right,在遍历的过程中反转链表
- 复杂度:时间复杂度
O(n),空间复杂度O(1)
js:
var reverseBetween = function(head, left, right) {
const dummy_node = new ListNode(-1);
dummy_node.next = head;//虚拟头节点
let pre = dummy_node;
for (let i = 0; i < left - 1; ++i) {//pre前进到left的前一个节点
pre = pre.next;
}
let cur = pre.next;
for (let i = 0; i < right - left; ++i) {//循环right - left次 反转中间的节点
const next = cur.next;
cur.next = next.next;
next.next = pre.next;
pre.next = next;
}
return dummy_node.next;//返回虚拟头节点的next
};
视频讲解:传送门
这篇博客详细介绍了如何使用JavaScript解决LeetCode上的链表问题,包括删除链表倒数第N个节点、反转链表、两数相加、LRU缓存机制、奇偶链表等。文章提供了多种解题方法,如栈、迭代、递归等,并附带代码示例。












822

被折叠的 条评论
为什么被折叠?



