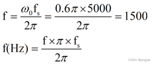
设归一化频率为f,
则根据定义omega=f*pi的单位为rad/sample.
设采样频率为fsHz,则

MATLAB应用signal analyzer频谱图归一化频率转换为Hz计算
最新推荐文章于 2025-01-17 16:31:41 发布
本文探讨了在信息技术中,归一化频率f与以π为基础的角频率omega之间的关系,指出当频率以rad/sample表示时,如何通过采样频率fsHz进行换算。
8275

被折叠的 条评论
为什么被折叠?



