GAN的理解与TensorFlow的实现
笔者信息:Next_Legend QQ:1219154092 人工智能 自然语言处理 图像处理 神经网络 高维信息处理
——2018.7.31于天津大学
前言
本文会从头介绍生成对抗式网络的一些内容,从生成式模型开始说起,到GAN的基本原理,InfoGAN,AC-GAN的基本科普,如果有任何有错误的地方,请随时喷,我刚开始研究GAN这块的内容,希望和大家一起学习。
生成式模型
何为生成式模型?在很多machine learning的教程或者公开课上,通常会把machine learning的算法分为两类: 生成式模型、判别式模型;其区别在于: 对于输入x,类别标签y,在生成式模型中估计其联合概率分布,而判别式模型估计其属于某类的条件概率分布。 常见的判别式模型包括:LogisticRegression, SVM, Neural Network等等,生成式模型包括:Naive Bayes, GMM, Bayesian Network, MRF 等等。
研究生成式模型的意义
生成式模型的特性主要包括以下几个方面:
在应用数学和工程方面,生成式模型能够有效地表征高维数据分布;
生成式模型能够作为一种技术手段辅助强化学习,能够有效表征强化学习模型中的state状态(这里不扩展,后面会跟RL的学习笔记);
对semi-supervised learning也有比较好的效果,能够在miss data下训练模型,并在miss data下给出相应地输出;
在对于一个输入伴随多个输出的场景下,生成式模型也能够有效工作,而传统的机器学习方法通过最小化模型输出和期望输出的某个object function的值 无法训练单输入多输出的模型,而生成式模型,尤其是GAN能够hold住这种场景,一个典型的应用是通过场景预测video的下一帧。
生成式模型一些典型的应用:
图像的超分辨率
iGAN:Generative Visual Manipulation on the Natural Image Manifold
图像转换
生成式模型族谱
上图涵盖了基本的生成式模型的方法,主要按是否需要定义概率密度函数分为:
Explicit density models
explicit density models 又分为tractable explicit models和逼近的explicit model,怎么理解呢,tractable explicit model通常可以直接通过数学方法来建模求解,而基于逼近的explicit model通常无法直接对数据分布进行建模,可以利用数学里的一些近似方法来做数据建模, 通常基于逼近的explicit model分为确定性(变分方法:如VAE的lower bound)和随机性的方法(马尔科夫链蒙特卡洛方法)。
VAE lower bound:
马尔科夫链蒙特卡洛方法(MCMC),一种经典的基于马尔科夫链的抽样方法,通过多次来拟合分布。比较好的教程:A Beginner’s Guide to Monte Carlo Markov Chain MCMC Analysis, An Introduction to MCMC for Machine Learning.
Implicit density models
无需定义明确的概率密度函数,代表方法包括马尔科夫链、生成对抗式网络(GAN),该系列方法无需定义数据分布的描述函数。
生成对抗式网络与其他生成式网络对比
生成对抗式网络(GAN)能够有效地解决很多生成式方法的缺点,主要包括:
- 并行产生samples;
- 生成式函数的限制少,如无需合适马尔科夫采样的数据分布(Boltzmann machines),生成式函数无需可逆、latent code需与sample同维度(nonlinear ICA);
- 无需马尔科夫链的方法(Boltzmann machines, GSNs);
- 相对于VAE的方法,无需variational bound;
GAN比其他方法一般来说性能更好。 - 可以使用冒号来定义对齐方式:
GAN工作原理
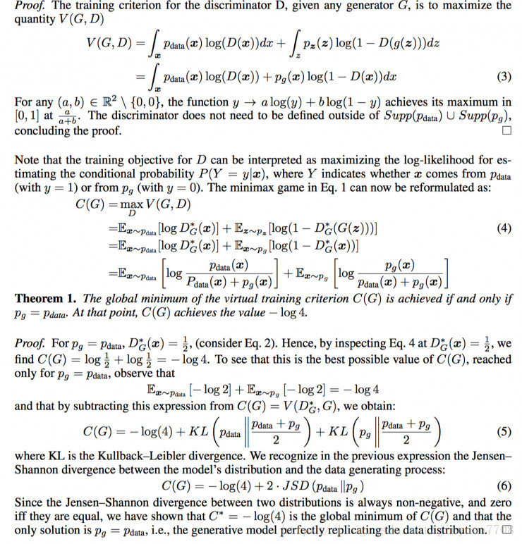
GAN主要由两部分构成:generator和discriminator,generator主要是从训练数据中产生相同分布的samples,而discriminator 则是判断输入是真实数据还是generator生成的数据,discriminator采用传统的监督学习的方法。这里我们可以这样类比,generator 是一个伪造假币的专业人士,discriminator是警察,generator的目的是制造出尽可能以假乱真的假钞,而discriminator是为了能 鉴别是否为假钞,最终整个gan会达到所谓的纳什均衡,Goodfellow在他的paperGAN的理解与TF的实现-小石头的码疯窝中有严格的数学证明,当
pG
p
G
==
pdata
p
d
a
t
a
时达到 全局最优:
另一个比较明显看得懂的图如下:
图中黑色点线为真实数据分布
pdata
p
d
a
t
a
,绿色线为generator生成的数据分布
pG
p
G
,而Discriminator就是蓝色点线,其目的是为了将
pdata
p
d
a
t
a
和
pG
p
G
区分,(a)中是初始状态,然后会更新Discriminator中的参数,若干次step之后,Discriminator有了较大的判断力即到了(b)的状态,之后会更新G的模型使其生成的数据分布(绿色线)更加趋近与真实数据分布, 若干次G和D的模型参数更新后,理论上最终会达到(d)的状态即G能够产生和真实数据完全一致的分布(证明见上一张图),如从随机数据分布生成人脸像。
如何训练GAN
因为GAN结构的不同,和常规训练一个dl model方法不同, 这里采用simultaneous SGD,每一个step中,会有两个两个梯度优化的 过程,一个是更新discriminator的参数来最小化 J(D) J ( D ) ,一个是更新generator的参数来最小 J(G) J ( G ) ,通常会选用Adam来作为最优化的优化器, 也有人建议可以不等次数地更新generator和discriminator(有相关工作提出,1:1的在实际中更有效:Adam: A Method for Stochastic Optimization) 如何训练GAN,在Goodfellow的GAN的tutorial还有一些代码中有更多的描述包括不同的cost function, 这里我就不详细展开了。
DCGAN
GAN出来后很多相关的应用和方法都是基于DCGAN的结构,DCGAN即”Deep Convolution GAN”,通常会有一些约定俗成的规则:

- 在Discriminator和generator中大部分层都使用batch normalization,而在最后一层时通常不会使用batch normalizaiton,目的 是为了保证模型能够学习到数据的正确的均值和方差;
- 因为会从random的分布生成图像,所以一般做需要增大图像的空间维度时如77->1414, 一般会使用strdie为2的deconv(transposed convolution);
- 通常在DCGAN中会使用Adam优化算法而不是SGD。
各种GAN
这里有个大神把各种gan的paper都做了一个统计AdversarialNetsPapers
这里大家有更多的兴趣可以直接去看对应的paper,我接下来会尽我所能描述下infogan和AC-GAN这两块的内容
InfoGAN
InfoGAN是一种能够学习disentangled representation的GAN,何为disentangled representation?比如人脸数据集中有各种不同的属性特点,如脸部表情、是否带眼睛、头发的风格眼珠的颜色等等,这些很明显的相关表示, InfoGAN能够在完全无监督信息(是否带眼睛等等)下能够学习出这些disentangled representation,而相对于传统的GAN,只需修改loss来最大化GAN的input的noise(部分fixed的子集)和最终输出之间的互信息。
原理
为了达到上面提到的效果,InfoGAN必须在input的noise来做一些文章,将noise vector划分为两部分:
- z: 和原始的GAN input作用一致;
- c: latent code,能够在之后表示数据分布中的disentangled representation
那么如何从latent code中学到相应的disentangled representation呢? 在原始的GAN中,忽略了c这部分的影响,即GAN产生的数据分布满足
PG(x|C)=P(x)
P
G
(
x
|
C
)
=
P
(
x
)
,为了保证能够利用c这部分信息, 作者提出这样一个假设:c与generator的输出相关程度应该很大,而在信息论中,两个数据分布的相关程度即互信息, 即generator的输出和input的c的
I(c;G(z,c))
I
(
c
;
G
(
z
,
c
)
)
应该会大。 所以,InfoGAN就变成如下的优化问题:
因为互信息的计算需要后验概率的分布(下图红线部分),在实际中很难直接使用,因此,在实际训练中一般不会直接最大化
I(c;G(z,c))
I
(
c
;
G
(
z
,
c
)
)
这里作者采用和VAE类似的方法,增加一个辅助的数据分布为后验概率的low bound: 所以,这里互信息的计算如下:
这里相关的证明就不深入了,有兴趣的可以去看看paper。
实验
我写的一版基于TensorFlow的Info-GAN实现:Info-GANburness/tensorflow-101 random的label信息,和对应生成的图像:
不同random变量控制产生同一class下的不同输出:
AC-GAN
AC-GAN即auxiliary classifier GAN,对应的paper:[1610.09585] Conditional Image Synthesis With Auxiliary Classifier GANs, 如前面的示意图中所示,AC-GAN的Discriminator中会输出相应的class label的概率,然后更改loss fuction,增加class预测正确的概率, ac-gan是一个tensorflow相关的实现,基于作者自己开发的sugartensor,感觉和paper里面在loss函数的定义上差异,看源码的时候注意下,我这里有参考写了一个基于原生tensorflow的版本AC-GAN.
实验
各位有兴趣的可以拿代码在其他的数据集上也跑一跑,AC-GAN能够有效利用class label的信息,不仅可以在G时指定需要生成的image的label,同事该class label也能在Discriminator用来扩展loss函数,增加整个对抗网络的性能。 random的label信息,和对应生成的图像:
不同random变量控制产生同一class下的不同输出:

总结
照例总结一下,本文中,我基本介绍了下生成式模型方法的各个族系派别,到GAN的基本内容,到InfoGAN、AC-GAN,大部分的工作都来自于阅读相关的paper,自己相关的工作就是 tensorflow下参考sugartensor的内容重现了InfoGAN、AC-GAN的相关内容。
当然,本人菜鸟一枚,难免有很多理解不到位的地方,写出来更多的是作为分享,让更多人了解GAN这块的内容,如果任何错误或不合适的地方,敬请在评论中指出,我们一起讨论一起学习 另外我的所有相关的代码都在github上:GAN,相信读一下无论是对TensorFlow的理解还是GAN的理解都会 有一些帮助,简单地参考mnist.py修改下可以很快的应用到你的数据集上,如果有小伙伴在其他数据集上做出有意思的实验效果的,欢迎分享。
原文地址: http://www.leiphone.com/news/201702/GZsIbIb9V9AUGmb6.html

579

被折叠的 条评论
为什么被折叠?



