今天十月一了,庆祝祖国七十周年,我们也为大家送上了直播链接,看完文章记得回头来看我们祖国的昌盛和繁荣,让我们共同为我们的祖国送上自己的祝福!链接
http://tv.cctv.com/live/cctv1/
什么是ZooKeeper
Apache ZooKeeper 是一个开源的实现高可用的分布式协调服务器。ZooKeeper是一种集中式服务,用于维护配置信息,域名服务,提供分布式同步和集群管理。所有这些服务的种类都被应用在分布式环境中,每一次实施这些都会做很多工作来避免出现bug和竞争条件。
ZooKeeper 设计原则
ZooKeeper 很简单
ZooKeeper 允许分布式进程通过共享的分层命名空间相互协调,ZooKeeper命名空间与文件系统很相似,每个命名空间填充了数据节点的注册信息 - 叫做Znode,这是在 ZooKeeper 中的叫法,Znode 很像我们文件系统中的文件和目录。ZooKeeper 与典型的文件系统不同,ZooKeeper 数据保存在内存中,这意味着 ZooKeeper 可以实现高吞吐量和低时延。
ZooKeeper 可复制
与它协调的分布式进程一样,ZooKeeper本身也可以在称为集群的一组主机上进行复制。

组成 ZooKeeper 服务的单个服务端必须了解彼此。它们维护内存中的状态、持久性的事务日志和快照。只要大多数服务可用,ZooKeeper 服务就可用。
客户端可以连接到单个的服务器。客户端通过连接单个服务器进而维护 TCP 连接,通过连接发送请求,获取响应,获取监听事件以及发送心跳,很像Eureka Server 的功能。如果与单个服务器的连接中断,客户端会自动的连接到ZooKeeper Service 中的其他服务器。
ZooKeeper 有序
ZooKeeper使用时间戳来记录导致状态变更的事务性操作,也就是说,一组事务通过时间戳来保证有序性。基于这一特性。ZooKeeper可以实现更加高级的抽象操作,如同步等。
ZooKeeper 非常快
ZooKeeper包括读写两种操作,基于ZooKeeper的分布式应用,如果是读多写少的应用场景(读写比例大约是10:1),那么读性能更能够体现出高效。
ZooKeeper基本概念
数据模型和分层命名空间
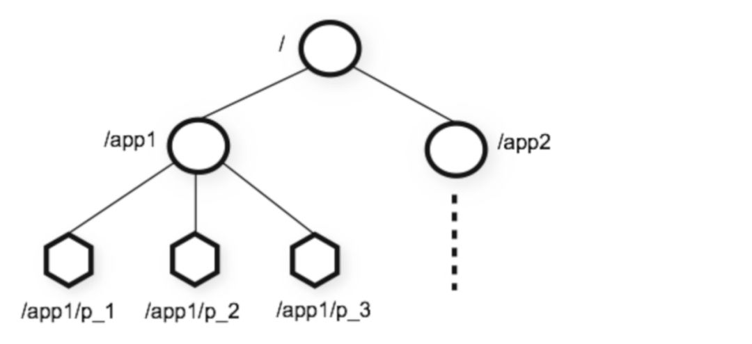
ZooKeeper提供的命名空间非常类似于标准文件系统。名称是由斜杠(/)分隔的路径元素序列。ZooKeeper名称空间中的每个节点都由路径标识。
ZooKeeper的分层命名空间图

节点和临时节点
与标准的文件系统所不同的是,ZooKeeper命名空间中的每个节点都可以包含与之关联的数据以及子项,这就像一个文件也是目录的文件系统。ZooKeeper被设计用来存储分布式数据:状态信息,配置,定位信息等等。所以每个ZooKeeper 节点能存储的容量非常小,最大容量为 1MB。我们使用术语 Znode 来表明我们正在谈论ZooKeeper数据节点。
Znodes 维护了一个 stat 结构,包括数据变更,ACL更改和时间戳的版本号,用来验证缓存和同步更新。每一次Znode 的数据发生了变化,版本号的数量就会进行增加。每当客户端检索某个znode 数据时,它也会接收该数据的版本。
命名空间下数据存储的Znode 节点都会以原子性的方式读写,也就是保证了原子性。读取所有Znode 相关联的节点数据并通过写的方式替换节点数据。每一个节点都会有一个 访问控制列表(ACL)的限制来判断谁可以进行操作。
ZooKeeper 也有临时节点的概念。只要创建的 Znode 的会话(session)处于活动状态,就会存在这些临时节点。当会话结束,临时节点也就被删除。
选择性更新和watches
ZooKeeper支持watches的概念。客户端可以在 Znode 上设置监听。当 Znode 发生变化时,监听会被触发并移除。触发监听时,客户端会收到一个数据包告知 Znode 发生变更。如果客户端与其中一个 ZooKeeper 服务器之间的连接中断,则客户端将收到本地通知。
集群角色
通常在分布式系统中,构成一个集群中的每一台机器都有一个自己的角色,最典型的集群模式就是 master/slave (主备模式)。在这种模式中,我们把能够处理写操作请求的机器成为 Master ,把所有通过异步复制方式获取最新数据,并提供读请求服务的机器成为 Slave 机器。
而 ZooKeeper 没有采用这种方式,ZooKeeper 引用了 Leader、Follower和 Observer 三个角色。ZooKeeper 集群中的所有机器通过选举的方式选出一个 Leader,Leader 可以为客户端提供读服务和写服务。除了 Leader 外,集群中还包括了 Follower 和 Observer 。Follower 和 Observer 都能够提供读服务,唯一区别在于,*Observer * 不参与 Leader 的选举过程,也不写操作的"过半写成功"策略,因此 Observer 可以在不影响写性能的情况下提升集群的读性能。
Session
Session 指的是客户端会话,在讲解会话之前先来了解一下客户端连接。客户端连接指的就是客户端和服务器之间的一个 TCP长连接,ZooKeeper 对外的端口是 2181,客户端启动的时候会与服务器建立一个 TCP 连接,从第一次连接建立开始,客户端会话的生命周期也就开始了,通过这个连接,客户端能够通过心跳检测与服务器保证有效的会话,也能够向 ZooKeeper 服务器发送请求并接受响应,同时还能够通过该连接来接收来自服务器的Watch 事件通知。
ZooKeeper 特性
一致性要求
ZooKeeper 非常快并且很简单。但是,由于其开发的目的在于构建更复杂的服务(如同步)的基础,因此它提供了一系列的保证,这些保证是:
•顺序一致性:客户端的更新将按顺序应用。•原子性:更新要么成功要么失败,没有其他结果•单一视图:无论客户端连接到哪个服务,所看到的环境都是一样的•可靠性:开始更新后,它将从该时间开始,一直到客户端覆盖更新•及时性:系统的客户视图保证在特定时间范围内是最新的。
简单的API使用
ZooKeeper 设计之初提供了非常简单的编程接口。作为结果,它支持以下操作:
•create:在文档目录树中的某一个位置创建节点•delete: 删除节点•exists: 测试某个位置是否存在节点•get data: 从节点中读取数据•set data: 向节点中写数据•get children: 从节点中检索子节点列表•sync: 等待数据传播
实现
ZooKeeper Components 展现了ZooKeeper 服务的高级组件。除请求处理器外,构成 ZooKeeper 服务的每个服务器都复制其自己的每个组件的副本。

图中的 Replicated Database (可复制的数据库)是一个包含了整个数据树的内存数据库。更新将记录到磁盘以获得可恢复性,并且写入在应用到内存数据库之前会得到序列化。
每一个 ZooKeeper 服务器都为客户端服务。客户端只连接到一台服务器用以提交请求。读请求由每个服务器数据库的本地副本提供服务,请求能够改变服务的状态,写请求由"同意协议"进行通过。
作为"同意协议" 的一部分,所有的请求都遵从一个单个的服务,由这个服务来询问除自己之外其他服务是否可以同意写请求,而这个单个的服务被称为Leader。除自己之外其他的服务被称为follower,它们接收来自Leader 的消息并对消息达成一致。消息传底层负责替换失败的 leader 并使 follower 与 leader 进行同步。
ZooKeeper 使用自定义的原子性消息传递协议。因为消息传底层是原子性的,ZooKeeper 能够保证本地副本永远不会产生分析或者冲突。当 leader 接收到写请求时,它会计算系统的状态以确保写请求何时应用,并且开启一个捕获新状态的事务。
使用者
ZooKeeper 的编程接口非常简单,但是通过它,你可以实现更高阶的操作。
性能
ZooKeeper 旨在提供高性能,但是真的是这样吗?ZooKeeper是由雅虎团队开发。当读请求远远高于写请求的时候,它的效率很高,因为写操作涉及同步所有服务器的状态。(读取数量超过写入通常是协调服务的情况。)

ZooKeeper吞吐量作为读写比率变化是在具有双2Ghz Xeon和两个SATA 15K RPM驱动器的服务器上运行的ZooKeeper版本3.2的吞吐量图。一个驱动器用作专用的ZooKeeper日志设备。快照已写入OS驱动器。写请求是1K写入,读取是1K读取。“服务器”表示ZooKeeper集合的大小,即构成服务的服务器数量。大约30个其他服务器用于模拟客户端。ZooKeeper集合的配置使得Leader不允许来自客户端的连接。(此部分来源于翻译结果)
基准也表明它也是可靠的。存在错误时的可靠性显示了部署如何响应各种故障。图中标记的事件如下:
1.follower 的失败和恢复2.失败和恢复不同的 follower3.leader 的失败4.两个follower 的失败和恢复5.其他leader 的失败
可靠性
为了在注入故障时显示系统随时间的行为,我们运行了由7台机器组成的ZooKeeper服务。我们运行与以前相同的饱和度基准,但这次我们将写入百分比保持在恒定的30%,这是我们预期工作量的保守比率。(此部分来源于翻译结果)

该图中有一些重要的观察结果。首先,如果follower 失败并迅速恢复,那么即使失败,ZooKeeper也能够维持高吞吐量。但也许更重要的是,leader 选举算法允许系统足够快地恢复以防止吞吐量大幅下降。在我们的观察中,ZooKeeper 选择新 leader 的时间不到200毫秒。第三,随着follower 的恢复,ZooKeeper能够在开始处理请求后再次提高吞吐量。
文章来源:
https://zookeeper.apache.org/doc/current/zookeeperOver.html
《从Paxos到zookeeper分布式一致性原理与实践》
欢迎加入我们的知识星球,一起成长,交流经验。加入方式,长按下方二维码噢
最后,我想重复一句话:选择和一群优秀的人一起成长,你成长的速度绝对会不一样!

欢迎转发到朋友圈
本文深入介绍了Apache ZooKeeper,一种用于分布式应用程序协调的开源服务。详细解释了ZooKeeper的设计原则,包括其简单性、可复制性、有序性及高效性。此外还探讨了ZooKeeper的基本概念,如数据模型、节点类型、会话管理和集群角色。
637

被折叠的 条评论
为什么被折叠?



