一、系统规划的步骤
- (1)初步调查:根据企业战略目标,分析企业现状以及系统运行状况。
- (2)确定系统目标:确定系统的服务范围质量等。
- (3)分析子系统的组成:做系统划分并指定子系统功能。
- (4)拟定系统的实施方案:分析子系统优先级,确定开发顺序。
- (5)进行可行性研究:编写可行性研究报告,召开可行性论证会。
- (6)制订系统建设方案:对可行性研究报告提出的各项技术指标进行分析、比较,落实各项假设的前提条件,制订[系统建设方案] ,形成[系统设计任务书]。
二、可行性研究分类(★★★)
经济可行性:成本收益分析,包括建设/运行成本和项目建设后可能的经济收益。
技术可行性:技术风险分析,现有的技术能否支持系统目标的实现,现有资源(员工,技术积累,构件库,软硬件条件)是否足以支持项目的实施。
法律可行性(社会可行性):不能与国家法律或政策相抵触。
用户使用可行性:执行可行性,从信息系统用户的角度评估系统的可行性。
管理可行性:系统与现有管理机制的一致性,改革的可能性。
运行可行性:用户方便使用的程度。
三、成本效益分析(★★★)
1、成本分类
固定成本:不随产量变化。管理人员的工资、办公费、固定资产折旧费、员工培训费、广告费、技术开发经费等。
变动成本:随产量变化。直接材料费、产品包装费、外包费用、开发奖金等。
混合成本:水电费、电话费、质量保证人员的工资、设备动力费等。
直接成本:直接投入在项目上。项目组人员工资,材料费用。
间接成本:分摊到项目上。水电费,员工培训费。
2、收益分类
有形收益:也称之为经济收益,可以用货币的时间价值、投资回收期、投资回收率等指标进行度量。有形收益又可分为一-次性经济收益和非一次性经济收益。
无形收益:也称为不可定量的收益,主要是从性质上、心理上进行衡量,很难直接进行量上的比较。
3、盈亏临界分析
销售额=固定成本+可变成本+税费+利润(正常情况下)
销售额=固定成本+可变成本+税费(盈亏 平衡时)
4、净现值分析
静态与动态的问题:动态分析考虑货币的时间价值,通常需要考虑折现率。
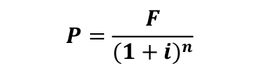
现值:若n年后能收入F元,那么这些钱现在的价值即限制P为:

其中1/(1+i)n次方称为折现系数(折现因子)或贴现系数(贴现因子)。
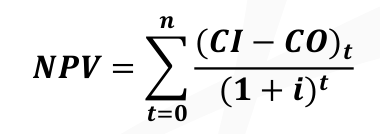
净现值(NPV)是指项目在生命周期内各年的净现金流量按照一定的、相同的折现率折现到初时的现值之和。

其中(CI - CO)t为第t年的净现金流量,CI 为现金流入, CO为现金流出,i为折现率。
5、投资回收期
投资回收期是指投资回收的期限。分为:静态投资回收期和动态投资回收期。
静态投资回收期(不考虑货币的时间价值因素)
动态投资回收期(考 虑资金的时间价值因素)
计算动态投资回收期的实用公式为:
投资回收率 = 1/投资回收期* 100%
投资回报率 = 投资收益率投资收益/投资总额*100%
年均投资收益率 = 运营期年均净收益/投资总额*100%

本文概述了系统规划的关键步骤,包括初步调查、确定目标、系统划分等,重点介绍了可行性研究的分类(经济、技术、法律、用户使用和管理)以及成本效益分析,如成本分类、收益分类、盈亏临界点、净现值和投资回收期的计算方法。
1494

被折叠的 条评论
为什么被折叠?



