梯度下降法
基本概念
由函数 B=f(A),得到 A、B 两个数集,在 A 中当 dx 靠近自己时,函数在 dx 处的极限叫作函数在 dx 处的微分,微分的中心思想是无穷分割。
微分是函数改变量的线性主要部分。
微积分的基本概念之一。

梯度:
是一个向量(矢量),表示某一函数在该点处的方向导数沿着该方向取得最大值,即函数在该点处沿着该方向(此梯度的方向)变化最快,变化率最大(为该梯度的模)。
例:

梯度:

由此,看来梯度是一个向量,向量包括大小和方向;
所以梯度的方向就指出了函数在给定点的上升最快的方向;
而梯度的反方向就是函数在给定点下降最快的方向。
梯度下降法:
是一个一阶最优化算法。
要使用梯度下降法找到一个函数的局部极小值,必须向函数上当前点对应梯度(或者是近似梯度)的反方向的规定步长距离点进行迭代搜索。
如果相反地向梯度正方向迭代进行搜索,则会接近函数的局部极大值点;这个过程则被称为梯度上升法。
梯度下降法手工求解
题目:
求函数

的极小值点。
手工求解过程:
设置初始点及学习率:

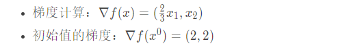
计算初始点的梯度:

更新迭代公式:

Excel 实现梯度下降法求解
求解

的近似根。
设置表格的一些基本内容:

设置(x,y)初始值为(2,1),其它地方输入相应的公式




迭代多次后结果如下:

由此,可得到其近似值为(1,0),迭代很多次才得到想要的结果
梯度下降法详解与手工及Excel实现
2366

被折叠的 条评论
为什么被折叠?



