算法的重要性,我就不多说了吧,想去大厂,就必须要经过基础知识和业务逻辑面试+算法面试。所以,为了提高大家的算法能力,这个公众号后续每天带大家做一道算法题,题目就从LeetCode上面选 !
今天和大家聊的问题叫做 相交链表,我们先来看题面:
https://leetcode-cn.com/problems/interp-of-two-linked-lists/
Write a program to find the node at which the interp of two singly linked lists begins.
题意
编写一个程序,找到两个单链表相交的起始节点。
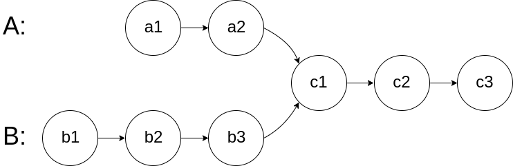
如下面的两个链表:

在节点 c1 开始相交。
样例

解题
https://blog.youkuaiyun.com/u010189239/article/details/88947594
思路:

1.链表判空
2.设置pa从headA开始,设置pb从headB开始
3.pa,pb同时向后移动,直到两者有一个为空则结束,表示无交点
4.在3循环中,如果出现pa相遇pb,则此处为交点
5.pa和pb后移一位
6.如果pa和pb均换路且都到达尾部,则表示无交点
7.在3循环中,如果pa到达尾部,则换路从headB开始后移;如果pb到达尾部,则换路从headA开始后移,注:换路只换一次
8.无交点则返回空
public class Solution {
public ListNode getInterpNode(ListNode headA, ListNode headB) {
//1.
if(headA==null||headB==null){
return null;
}
//2.
ListNode pa=headA;
ListNode pb=headB;
boolean isPaChange=false;
boolean isPbChange=false;
//3.
while(pa!=null&&pb!=null){
//4.
if(pa==pb){
return pa;
}
//5.
pa=pa.next;
pb=pb.next;
//6.
if(isPaChange&&isPbChange&&pa==null&&pb==null){
break;
}
//7.
if(pa==null){
pa=headB;
isPaChange=true;
}
if(pb==null){
pb=headA;
isPbChange=true;
}
}
//8.
return null;
}
}
好了,今天的文章就到这里,如果觉得有所收获,请顺手点个在看或者转发吧,你们的支持是我最大的动力 。
上期推文:
LeetCode刷题实战154:寻找旋转排序数组中的最小值 II
LeetCode刷题实战157:用 Read4 读取 N 个字符
LeetCode刷题实战158:用 Read4 读取 N 个字符 II
LeetCode刷题实战159:至多包含两个不同字符的最长子串

366

被折叠的 条评论
为什么被折叠?



