数据科学 9 决策树
主要内容:
•决策树建模思路
•Quinlan系列决策树(ID3、 C4.5、 C8.0)建模原理
•CART建模原理
•模型修剪
•模型评估
•随机森林与组合算法
9.1 决策树算法核心
- 该按什么样的次序来选择变量(属性)?
- 最佳分离点(连续的情形)在哪儿?
9.1.1 拆分规则
9.2 Quinlan系列决策树建模原理
9.2.1 ID3决策树
ID3、 C4.5、 C5.0
1、ID3决策树原理
步骤:
- 建树:
- 选择最有解释力度的变量
- 对于每个变量选择最优分割点
- 剪树:
- 前向剪枝:控制生成树的规模
- 后项剪枝:删除没有意义的分组
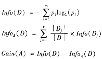
2、理论-信息增益计算
ID3输入为分类变量,选取信息增益高的变量作为分裂属性。
3、缺点
- 倾向于选择水平数量较多的变量
- 输入变量必须是分类变量 (连续变量必须离散化)
9.2.2 C4.5 决策树
1、原理
- 增加了连续变量二分法;
- 信息增益的方法倾向于首先选择因子数较多的变量
- 信息增益的改进: 增益率

说明:
说明: C4.5决策树不能处理等级变量,要么作为分类变量,要么作为连续变量。这需要分析人员提前设置好。设为因子类型即为分类变量,否则为连续变量。
2、单个分类或等级变量
1)、决策树遍历搜索
- 对于分类变量,假设该输入变量有4个水平,则依次遍历所有的组合形式,计算熵增益率最大的那个组合方式
2)、决策树分割搜索
- 对于连续变量,先等宽方式分为50组,依次取阀值分割成两组,计算熵增益率最大的那个分割方式
3、比较多各变量的优先级
1)、假设都是连续变量,先各自做分割,并计算每个分割的熵增益率。
2)、比较每个变量所能达到的最大熵增益率,取最大的那个作为本次分割选择的变量,该变量对应最大熵增益率的分割点作为分割依据。
9.2.3 R中的C5.0 算法(Python目前没有实现)
9.2.4 CART决策树
1、CART决策树原理
步骤:
- 建树:
- 选择最有解释力度的变量
- 对于每个变量选择最优分割点
- 剪树:
- 前向剪枝:控制生成树的规模
- 后项剪枝:删除没有意义的分组
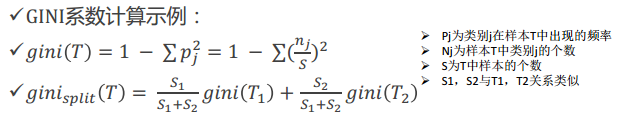
2、基尼系数的计算

9.2.5 决策树方法总结
9.2.5 模型修剪——以CART为例
1、预修剪
其目标是控制决策树充分生长,可以事先指定一些控制参数,包括:
(1)决策树最大深度。如果决策树的层数已经达到指定深度,则停止生长 。
(2)树中父节点和子节点的最少样本量或比例。对于父节点,如果节点的样本量低于最小样本量或比例,则不再分组;对于子节点,如果分组后生成的子节点的样本量低于最小样本量或比例,则不必进行分组 。
(3)树节点中输出变量的最小异质性减少量。如果分组产生的输出变量异质性变化量小于一个指定值,则不必进行分组。
2、后剪枝
后修剪技术允许决策树充分生长,然后在此基础上根据一定的规则,剪去决策树中那些不具有一般代表性的叶节点或子树,是一个边修剪边检验的过程。在修剪过程中,应不断计算当前决策子树对测试样本集的预测精度或误差,并判断应继续修剪还是停止修剪。
•CART采用的后修剪技术称为最小代价复杂性修剪法(Minimal Cost Complexity Pruning,MCCP)
•MCCP有这样的基本考虑:首先,考虑的决策树虽然对训练样本有很好的预测精度,但在测试样本和未来新样本上不会仍有令人满意的预测效果;其次,理解和应用一棵复杂的决策是一个复杂过程。因此,决策树修剪的目标是得到一棵“恰当”的树,它首先要具有一定的预测精度,同时决策树的复杂程度应是恰当的。
CART选择最终子树标准是:选择交叉验证中错误最小的
3、CART的决策树修剪方法—总结
- 输入变量(自变量):为分类型变量或连续型变量
- 输出变量(目标变量):为分类型变量(或连续型:回归分析)
- 连续变量处理: N等分离散化
- 树分枝类型:二分枝
- 分割指标: gini增益(分割后的目标变量取值变异较小,纯度高)
- 先剪枝:决策树最大深度、最小样本分割数、叶节点包含的最小样本数、复杂度系数最小值
- 后剪枝:使用最小代价复杂度剪枝法
决策树算法详解

本文深入解析决策树算法,涵盖ID3、C4.5、C5.0及CART的建模原理,探讨决策树的拆分规则、信息增益计算、基尼系数,以及模型修剪方法。适用于数据科学爱好者和机器学习初学者。
2696

被折叠的 条评论
为什么被折叠?



