线性规划
研究
线性约束条件
下
线性目标函数
的极值问题
的数学理论和方法。
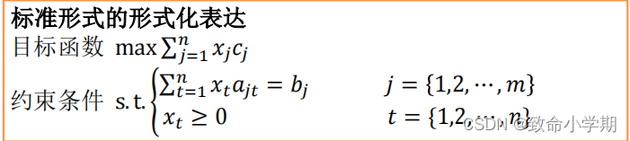
线性规划问题形式
化表达
目标函数
约束条件
线性规划问题的可行性解
线性规划问题的
可行区域
线性规划问题的
最优解(x
1
,x
2
,……
,
x
n
的值)
线性规划问题的
最优值
单纯形算法特点
(1) 只对约束条件的若干组合进行测试,测试的毎一步都使 目标函数的值向期望值逼近;
(2)
一般经过不大于
m
或
n
次迭代就可求得最优解。
线性规划标准形式
(1)它必须是一个最大化问题。如果是最小化问题,只需要把 目标函数的所有系统
c
j
替换为
-c
j
即可,
j=1,2,…,n
;
(2)所有的约束都必须用线性方程的形式表示(除了非负约束, 即
x
t
≥0
);
(3)
所有的变量都必须是非负的。

基本变量:每个等式约束中至少有一个变量的系数为正, 且这个变量只在该约束中出现。在每一约束方程中选择一 个这样的变量,并以它作为变量求解该约束方程
(m
个
)
。
非基本变量:
余下
n-m
个变量
【例3-9】设有下列形式的线性规划问题,求max z。
目标函数 max z =-x2
+3x
3
-2x
5
约束条件s.t. x1
+3x
2
-x
3
+2x

最低0.47元/天 解锁文章
3431

被折叠的 条评论
为什么被折叠?



