leetcode 203.移除链表元素 、 707.设计链表 、206.反转链表 。
leecode 203.移除链表元素
题目链接 :https://leetcode.cn/problems/remove-linked-list-elements/
题目
给你一个链表的头节点 head 和一个整数 val ,请你删除链表中所有满足 Node.val == val 的节点,并返回 新的头节点 。

示例 1:
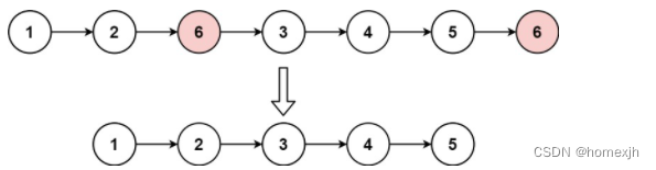
输入:head = [1,2,6,3,4,5,6], val = 6
输出:[1,2,3,4,5]
示例 2:
输入:head = [], val = 1
输出:[]
示例 3:
输入:head = [7,7,7,7], val = 7
输出:[]
解题思路
一般对于链表这类题,用虚拟头节点的方法可以给我们省下不少的活比如前后边界的判断另外处理等。这道题我也是用虚拟头节点的方式解决。对于链表的增删,一般是使用双指针来实现,即利用两个指针,pre,cur,pre是cur指针的前缀结点,两个指针同时遍历链表,当遍历到等于val时,此时cur指针指向的就是值等于val的节点,也是题目要求删除的节点。则可以利用pre指针(因为pre指针的cur指针的前缀节点)指向cur指向的下一个节点,即删除了当前cur指向的节点。具体代码为:
class Solution {
public ListNode removeElements(ListNode head, int val) {
ListNode dumty = new ListNode(-1,head); //新建虚拟头节点
ListNode pre = dumty; //前缀指针,从虚拟头节点开始遍历
ListNode cur = head; //当前指针,从链表头节点开始遍历
while(cur != null) { //当cur==null,表示已经遍历结束
if(cur.val == val) { //找到要删除的节点
pre.next = cur.next; //进行删除
cur = pre.next; //cur指针重新指向pre指针的下一个,继续遍历找要删除的节点
}else { //当前节点不是要删除的节点,继续向前遍历
cur = cur.next;
pre = pre.next;
}
}
return dumty.next; //因为用的是虚拟头节点,虚拟头节点指向的下一个节点才是真正的链表开始的节点,所以返回的是虚拟头节点的下一个节点。
}
}
知识点
双指针,虚拟头节点
注意事项
利用虚拟头节点去遍历,当前指针和前缀指针的遍历和指向
相关题目
- 删除链表中的节点
leecode 707 设计链表
题目链接 :https://leetcode.cn/problems/design-linked-list/description/
题目
你可以选择使用单链表或者双链表,设计并实现自己的链表。
单链表中的节点应该具备两个属性:val 和 next 。val 是当前节点的值,next 是指向下一个节点的指针/引用。
如果是双向链表,则还需要属性 prev 以指示链表中的上一个节点。假设链表中的所有节点下标从 0 开始。
实现 MyLinkedList 类:
MyLinkedList() 初始化 MyLinkedList 对象。
int get(int index) 获取链表中下标为 index 的节点的值。如果下标无效,则返回 -1 。
void addAtHead(int val) 将一个值为 val 的节点插入到链表中第一个元素之前。在插入完成后,新节点会成为链表的第一个节点。
void addAtTail(int val) 将一个值为 val 的节点追加到链表中作为链表的最后一个元素。
void addAtIndex(int index, int val) 将一个值为 val 的节点插入到链表中下标为 index 的节点之前。如果 index 等于链表的长度,那么该节点会被追加到链表的末尾。如果 index 比长度更大,该节点将 不会插入 到链表中。
void deleteAtIndex(int index) 如果下标有效,则删除链表中下标为 index 的节点。
示例:
输入
[“MyLinkedList”, “addAtHead”, “addAtTail”, “addAtIndex”, “get”, “deleteAtIndex”, “get”]
[[], [1], [3], [1, 2], [1], [1], [1]]
输出
[null, null, null, null, 2, null, 3]
解释
MyLinkedList myLinkedList = new MyLinkedList();
myLinkedList.addAtHead(1);
myLinkedList.addAtTail(3);
myLinkedList.addAtIndex(1, 2); // 链表变为 1->2->3
myLinkedList.get(1); // 返回 2
myLinkedList.deleteAtIndex(1); // 现在,链表变为 1->3
myLinkedList.get(1); // 返回 3
解题思路
这道题主要是设计链表的五个接口
- 获取链表第index个节点的数值
- 在链表的最前面插入一个节点
- 在链表的最后面插入一个节点
- 在链表第index个节点前面插入一个节点
- 删除链表的第index个节点
跟上文一样,我们这里可以使用虚拟头节点,可以方便我们很好的去处理在链表最前面和链表最后面统一进行操作,就不用单独判断。然后,在最前面和最后面插入操作其实可以统一在链表index个节点前面插入一个节点方法中处理,然后调用该函数就行。具体代码为:
//单链表
class ListNode { //定义链表结构
int val;
ListNode next;
public ListNode(){}
public ListNode(int val) {
this.val = val;
}
}
class MyLinkedList {
int size; //链表的元素个数
ListNode head;
public MyLinkedList() { //初始化链表
size = 0;
head = new ListNode(0); // 这里定义的头结点 是一个虚拟头结点,而不是真正的链表头结点,而size也为0
}
public int get(int index) {
if(index < 0 || index >= size) return -1; //判断index值是否合法
ListNode cur = head;
for(int i = 0;i <= index; i++) { //因为第0个节点是头节点,所以<=指向的是刚好是index的值
cur = cur.next;
}
return cur.val;
}
public void addAtHead(int val) {
ListNode node = new ListNode(val);
addAtIndex(0,val); //调用addAtIndex()函数完成
}
public void addAtTail(int val) {
ListNode node = new ListNode(val);
addAtIndex(size,val); //调用addAtIndex()函数完成
}
public void addAtIndex(int index, int val) {
if(index < 0 || index > size) return; //判断index是否合法,注意这里为什么是index > size,而不是index>=size。因为index=size相当于是在链表的最后面插入数据
ListNode cur = head;
for(int i = 0; i < index;i++) { //找到第index个指针的前一个指针,注意这里是i < index,而不是i <= index。如果等于index则找的是第index个指针,而要在index插入数据,需要找到第index的前一个节点
cur = cur.next;
}
ListNode tmp = new ListNode(val);
tmp.next = cur.next;
cur.next = tmp;
size++; //插入数据,size++
}
public void deleteAtIndex(int index) {
if(index < 0 || index >= size) return; //检查index是否合法
ListNode cur = head;
for(int i = 0;i < index;i++) { //找到第index个指针的前一个指针
cur = cur.next;
}
cur.next = cur.next.next;
size--; //删除后,size--
}
}
知识点
链表设计
注意事项
找到第index指针和前一个指针的区别,边界的判断,注意size的加减
相关题目
leecode 206.反转链表
题目链接 :https://leetcode.cn/problems/reverse-linked-list/description/
题目
给你单链表的头节点 head ,请你反转链表,并返回反转后的链表。
示例 1:

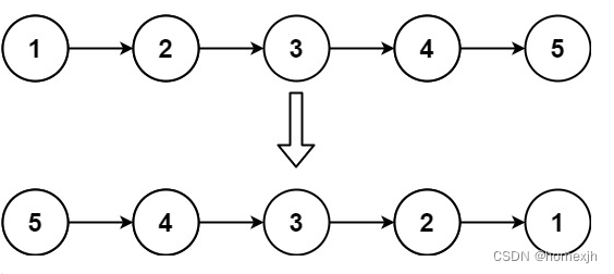
输入:head = [1,2,3,4,5]
输出:[5,4,3,2,1]
示例 2:

输入:head = [1,2]
输出:[2,1]
示例 3:
输入:head = []
输出:[]
解题思路
这道题如果双指针的话,其实可以很快解决,需要注意的就是指针的指向。如
class Solution {
public ListNode reverseList(ListNode head) {=
if(head == null || head.next == null) return head;
ListNode t = null;
ListNode p = head;
while(p != null) {
ListNode q = p.next;
p.next = t;
t = p;
p = q;
}
return t;
}
}
这里说一下递归的解法,以示例1来说, [1->2->3->4->5],我们可以认为当前的递归函数就是一个这样定义的函数,即给你一个当前指针指向的链表,返回的是以这个链表的末尾指针为头节点的翻转链表,然后这个翻转之后的头节点,即如 [1->2->3->4->5],那进入递归后,当回到最后一步,则为1->[2<-3<-4<-5],那如何去操作呢,当前head是1,那不是head.next.next = head就变成1<-[2<-3<-4<-5]了吗,然后head.next=null.。最后返回翻转的头节点。具体代码为:
class Solution {
public ListNode reverseList(ListNode head) {
if(head == null || head.next == null) return head; //递归结束条件,注意head.next也要判断,因为如果head.next = null的时候,相当于链表就是一个元素,此时翻转不翻转都是这个。
ListNode p = reverseList(head.next);
head.next.next = head;
head.next = null;
return p;
}
}
知识点
双指针,递归
注意事项
递归的结束条件,递归过程如何进行操作。
相关题目
- 反转链表 II
3033

被折叠的 条评论
为什么被折叠?



