引言
计算机的某些资源同一时间只能一个进程或线程使用,比如打印机,如果两个进程同时使用打印机便会出问题。所以需要使用锁来控制进程并发的使用某些资源,但是不恰当的使用锁会造成一个严重的问题。举个例子,进程A申请扫描仪,A获得扫描仪;进程B申请刻录仪,B获得刻录仪,此时进程A需要申请刻录仪,而进程B要申请扫描仪,因为进程A、B都需要有扫描仪和刻录仪才能完成工作,因此这个过程将一直等待下去,这就叫做死锁。
死锁可以发生在各种各样的场景,比如数据库,接下来学习死锁的发生和死锁的检查以及死锁的避免和解决
资源
大部分的死锁都和资源有关,先来了解一下资源
资源定义
根据时间推移,能够获得、使用、释放的任何东西
可抢占资源和不可抢占资源
- 可抢占资源:可以从拥有它的进程中拿走资源,不会有副作用(比如:内存)
- 不可抢占资源:无法从拥有它的进程中拿走资源而不引起计算失败
- 可抢占资源死锁解决方案:重新分配资源即可解决
- 资源申请和使用顺序抽象
- 申请资源:如果进程申请时资源不可用,那么进程强制等待
- 使用资源
- 释放资源
死锁检测和恢复
- 死锁的书面定义:如果一个进程集合中,每一个进程都在等待只能由该集合中的进程才能引发的事件,那么该进程集合就产生了死锁
死锁的条件
-
互斥条件:每个资源在同一时间只能分配给一个进程
-
持有和等待条件:每个进程持有之前申请的资源并可以申请新的资源
-
不可抢占条件:每个进程持有的之前申请的资源不可以被强制抢占,必须由申请并持有的进程释放
-
环路等待条件:如果发生死锁,肯定有两个或更多的进程组成了一个环路,每一个环路中的进程都在等待下一个进程持有的资源
上述四个条件很重要,因为死锁发生时,四个条件必定同时满足,如果有一个条件不满足,死锁就不会发生。这也是如何避免死锁的关键
死锁建模
-
模型描述图示

- a持有资源,A持有R资源
- b申请资源,B申请S资源
- c死锁,C持有U申请T,D持有T申请U
-
举个例子:假设有三个进程A、B、C申请三个资源R、S、T,如下图

- 进程A需要的资源为R和S,顺序为申请R->申请S->释放R->释放S
- 进程B需要的资源为S和T,顺序为申请S->申请T->释放S->释放T
- 进程C需要的资源为T和R,顺序为申请T->申请R->释放T->释放R
- 假设进程A、B、C申请资源的顺序
- A申请R->B申请S->C申请T->A申请S->B申请T>C申请R,最终A、B、C进程获取资源和持有资源的示意图如上图(e->j),会发生死锁
- A申请R->C申请T->A申请S->C申请R->A释放R>A释放S,最终A、B、C进程获取资源和持有资源的示意图如上图(l->q),不会发生死锁
-
死锁处策略
- 忽略(鸵鸟算法,很形象,像鸵鸟一样,把头埋进沙子,假装什么事也没发生)
- 检测和恢复,让死锁发生,检测它并解决死锁
- 小心分配资源避免死锁发生
- 破坏死锁四个条件之一,防止死锁发生
死锁检测
不防止死锁的发生,而是通过死锁检测的方式解决死锁
-
各类型一个资源的死锁检测
-
这种方式各类型的资源只有一个,因此这种类型检测死锁可以构建一个进程获取资源和申请资源的图,如果检测到一个或多个环,那么就出现了死锁
-
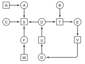
如何确定哪些进程发生死锁,在环中的进程是发生死锁的进程,如下图所示,D、E、G。D持有U申请T;E持有T申请V;G持有V申请U,因此产生了死锁

-
有向图环路检测算法在图算法中有很多,下面举一个简单的例子(图深度优先遍历),这个算法并非最优的
- 初始化一个列表L为空,清除所有节点有向边的标记
- 将当前节点加入到L尾部,判断是否出现了两次,如果出现了两次,那么存在环
- 从给定的节点检查是否还有没有标记的边,如果存在,执行第4步,否则执行第5步
- 随机选择一条并标记,指向的节点作为新的当前节点执行第2步
- 如果该节点为初始节点,说明,图中不存在环,否则说明该节点没有后续节点,弹出该节点,返回前一个节点作为当前节点执行第2步
-
-
各类型多个资源的死锁检测
-
这种场景因为资源有多个,所以用图是否有环算法不能处理这种场景,因此需要另外一种算法
-
死锁检测建模数据结构
-
EEE向量代表拥有各类型资源的数量,比如E1E_1E1代表类型1的数量,其向量表示为
E=[E1E2...Em]E=\begin{bmatrix} E_1 & E_2 &... &E_m \\ \end{bmatrix} E=[E1E2...Em]
-
AAA向量代表当前可用的各类型资源的数量,比如A1A_1A1代表类型的当前剩余可用的资源数,其向量表示为
A=[A1A2...Am]A = \begin{bmatrix} A_1 & A_2 & ... & A_m \end{bmatrix}A=[A1A2...Am]
-
CCC矩阵表示当前各进程拥有各类型资源的数量,矩阵的每一行代表一个进程,比如CiC_iCi代表第i个进程拥有的资源向量,Ci,jC_{i,j}Ci,j代表进程i拥有资源类型j的数量,矩阵表示如下
[C1,1C1,2⋯C1,mC2,1C2,2⋯C2,m⋮⋮⋮⋮Cn,1Cn,2⋯Cn,m]\begin{bmatrix} C_{1,1} & C_{1,2} & \cdots & C_{1,m} \\ C_{2,1} & C_{2,2} & \cdots & C_{2, m} \\ \vdots & \vdots & \vdots & \vdots \\ C_{n,1} & C_{n,2} & \cdots & C_{n,m} \end{bmatrix}⎣⎢⎢⎢⎡C1,1C2,1⋮Cn,1C1,2C2,2⋮Cn,2⋯⋯⋮⋯C1,mC2,m⋮Cn,m⎦⎥⎥⎥⎤
-
R矩阵表示当前进程完成任务还需要申请的各类型资源,矩阵的每一行代表一个进程,比如RiR_iRi代表第i个进程还需要申请的资源向量,Ri,jR_{i,j}Ri,j代表进程i还需要申请的资源类型j的数量
[R1,1R1,2⋯R1,mR2,1R2,2⋯R2,m⋮⋮⋮⋮Rn,1Rn,2⋯Rn,m]\begin{bmatrix} R_{1,1} & R_{1,2} & \cdots & R_{1,m} \\ R_{2,1} & R_{2,2} & \cdots & R_{2, m} \\ \vdots & \vdots & \vdots & \vdots \\ R_{n,1} & R_{n,2} & \cdots & R_{n,m} \end{bmatrix}⎣⎢⎢⎢⎡R1,1R2,1⋮Rn,1R1,2R2,2⋮Rn,2⋯⋯⋮⋯R1,mR2,m⋮Rn,m⎦⎥⎥⎥⎤
-
资源数量之间关系
∑i=1nCi,j+Aj=Ej\sum_{i=1}^nC_{i,j} + A_j = E_ji=1∑nCi,j+Aj=Ej
-
-
死锁检测算法
- 查找一个未标记的进程,比较RiR_{i}Ri行是否小于等于向量AAA
- 如果找到这样一个进程,那么标记当前进程,将CiC_iCi加到向量AAA然后返回第一步
- 如果没有这样的一个进程,则发生了死锁
-
简单的例子

- 首先找到第三个进程,因此AAA累计C3C_{3}C3,因此AAA为[2220]\begin{bmatrix} 2 & 2 & 2 & 0 \end{bmatrix}[2220]
- 然后第二个进程满足条件,AAA累计C2C_2C2,因此AAA为[4221]\begin{bmatrix} 4 & 2 & 2 & 1 \end{bmatrix}[4221]
- 最后是第一个进程,因此不会发生死锁
-
死锁恢复
- 通过抢占恢复,这种方法要根据资源的类型来确定,通常比较困难或者不可行
- 利用回滚恢复,这种方式需要存储进程的各种状态包括获得的资源,叫做进程检查点,新的检查点并不会覆盖之前的检查点,一旦发生死锁,进程可以选择之前的检查点来回滚到未获得该资源的状态,因此在该检查点之后的工作是无效的
- 通过杀死进程恢复,如果可能,杀死一个在死锁环中的一个进程来打破死锁。选择杀死进程要非常小心,最好选择那种重新执行进程不会产生副作用的进程
死锁避免
上边讨论了死锁的检测和恢复,其没有考虑避免死锁发生,而是从检测和解决死锁考虑。是否能有方法每次资源分配时做出正确的选择避免死锁?接下来讲述如果避免死锁发生
资源轨迹图
-
通过对资源轨迹的描述,来判断两个进程是否进入死锁状态,如下图,横坐标代表A进程需要的资源和时间点,纵坐标代表进程B需要的资源和时间点,虚线代表调度器调度进程A、B运行的时间,比如p->q调度A运行,q->r是进程B运行

阴影区域是我们关注的区域,因为这两个区域内两个进程运行同时需要该资源,因此如果进入该区域便会产生死锁,为了避免死锁,B进程会被挂起直到进程A申请并释放Plotter
安全和不安全状态
-
如果直到各进程需要某一个资源的最大需求,并且进程存在某种调度顺序能完成任务,不会发生死锁,那么就称为安全状态,比如下图,总共资源有10个,如图a已分配的资源为7个还剩余3个,所以可以先调度B进程运行如图b,然后调度C进程运行,资源刚好,最后调度A不会发生死锁

-
不安全状态,比如下图,a为初始状态,但是A进程申请了一个资源如b,此时我们无法找到一个顺序能完成任务,因此b为不安全状态。注意,不安全状态并不是死锁

单资源银行家算法
-
定义:银行家算法,Dijkstra提出的一种避免死锁的算法,思想来源于银行家贷款,所以叫银行家算法。该算法在请求资源时,会判断同意该请求会不会导致不安全状态,如果是,则该请求会等待,如果不会,则会同意
-
一个简单的例子,假设有四个客户A、B、C、D需要的贷款总共为22单位,但是客户并不是一次性就需要所有贷款,所以银行并不需要22个单位的金额,假设现在银行有10个单位的金额,a是状态安全的;b也是状态安全的因为剩余2单位贷款可以满足客户C,C获得资源后可以满足B、D客户,最后可以满足A客户;但是c不是安全的因为不能满足任何一个客户的贷款

-
缺点:进程运行前需要知道需要的资源
多资源银行家算法
-
和单资源银行家算法类似,多资源是多个资源,因此这里用两个矩阵,一个表示进程已分配各资源的矩阵,一个是进程还需要的资源数,还有3个向量分别为EEE、PPP、AAA分别表示各资源总数量、已分配数量和可使用资源数量,如下图

-
检查一个状态是否安全的算法执行步骤,和多资源死锁检测算法类似
- 找到一个进程,其还需要的资源向量小于或等于可用资源向量AAA,如果没有这样一个进程,说明最终会发生死锁
- 假设这个进程获得其所需要的所有资源,并完成其工作,因此其释放其已拥有的资源累加到向量AAA上,将该进程标记为终止
- 重复执行上述两步,直到所有的进程都标记完成,那么初始状态是安全的;否则,初始状态是不安全的,最终会发生死锁
-
小结:银行家算法虽然很有意义,但是缺乏使用价值,因为很少有进程在运行前就事先知道运行需要的资源,而且进程数量也不是固定的会一直变化
死锁预防
通过上述的死锁避免方法学习,我们知道了死锁避免从本质上是不可行的。所以回到文章开始提到的四个死锁条件,可以从这四个条件入手,通过打破这些条件来预防死锁
破坏互斥条件
- 定义:避免分配那些不是绝对必须的资源,尽量做到尽可能少得进程可以访问真正的资源
- 一个例子:假脱机打印机技术,进程需要打印并不是直接控制物理打印机,只有打印机守护进程可以控制物理打印机,并且打印机守护进程不会申请其他资源,因此不会产生死锁
破坏持有并等待条件
- 第一种方法:进程一次性获取了其所需要的所有资源在执行任务直到任务完成,如果有一个资源或多个不可用,那么进程什么资源也不会分配。该方法的问题是和银行家算法,在进程执行前很难知道进程需要的资源,并且还有一个问题资源得不到充分利用
- 第二种方法:另一个方法是,进程每次申请一个资源时,先释放其持有的所有资源,然后再一次性申请它们
破坏不可抢占条件
- 如前所述,某一些资源可以通过虚拟化技术来使其可以变成可抢占的,比如打印机的虚拟化技术假脱机
破坏环路等待条件
- 第一种方法:一个进程同一时刻只能持有一个资源,要申请另一个资源时必须释放其当前持有的资源。但是这种方法会导致某些复杂需要多个资源的任务不可接受,比如将一个磁盘上的大文件打印
- 第二种方法:对所有资源统一编号,进程可以在任何时候提出资源申请,但是必须是按资源编号升序顺序申请。该方法还有一个优化,就是不强制要求升序,而只是要求不能申请比进程持有资源编号低的资源。这种方法的缺点是几乎找不出一种让任何进程都满足的排序编号
其他问题
两阶段锁
数据库领域适用的一种加锁方式,在第一阶段,进程对某一记录加锁,如果第一阶段加锁成功,那就执行第二阶段更新操作,然后释放锁。如果进程发现需要加锁的记录已经加锁,释放它已经获得的锁重新开始第一阶段
该算法并不能通用,只有在程序员确定在第一阶段随时都可以停下来,然后重启并且不产生错误,该算法才可用
活锁
- 一个可以造成活锁的例子,A,B进程在获得2,1资源时失败,同时释放已经持有的锁,并且等待相同的时间,然后会重复上述过程
- 解决办法:在获取锁失败后随机等待一段时间,而不是所有进程等待固定的时间
饥饿
- 某个进程因为资源访问策略限制,而迟迟得不到资源。比如,打印机的策略是先打印小文件,假设有一个大文件需要打印,每次都是优先打印小文件,那么大文件就得不到打印的机会
- 解决办法:使用先到先服务的策略
6079

被折叠的 条评论
为什么被折叠?



