【高等数学】第二章知识点(一):导数与微分

一. 导数与微分的概念

1. 导数的概念

导数定义

在这里插入图片描述

左导数、右导数

在这里插入图片描述

 
可导定理

在这里插入图片描述
 

2. 微分的概念

微分概念

在这里插入图片描述
 

可微的充要条件

在这里插入图片描述

 

3. 导数与微分的几何意义

导数的几何意义
斜率、切线、法线

在这里插入图片描述

 
微分的几何意义

在这里插入图片描述

 

4. 连续、可导、可微之间的关系

在这里插入图片描述

  • 可导与可微是等价的
  • 可导、可微一定连续

 

二. 导数公式及求导法则

1. 基本初等函数的导数公式

在这里插入图片描述

 

2. 求导法则

在这里插入图片描述

 

3. 隐函数求导

在这里插入图片描述

 

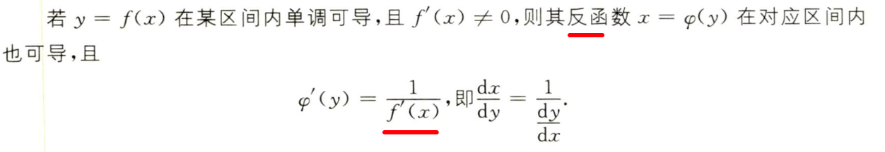
4. 反函数求导

在这里插入图片描述

 

5. 参数方程求导

在这里插入图片描述

 

6. 对数求导

在这里插入图片描述

 

三. 高阶导数

定义

在这里插入图片描述
 

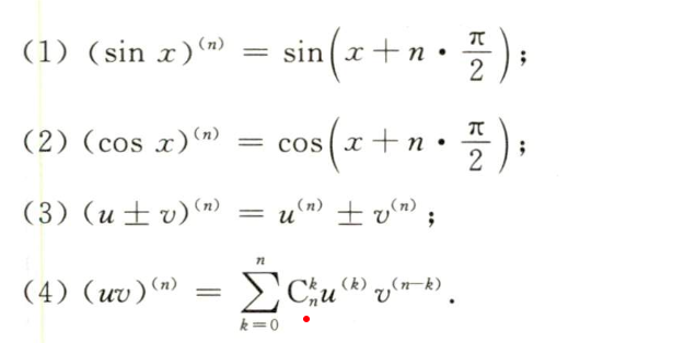
常见高阶导公式

在这里插入图片描述

 

 

评论
成就一亿技术人!
拼手气红包6.0元
还能输入1000个字符
 
红包 添加红包
表情包 插入表情
 条评论被折叠 查看
添加红包

请填写红包祝福语或标题

红包个数最小为10个

红包金额最低5元

当前余额3.43前往充值 >
需支付:10.00
成就一亿技术人!
领取后你会自动成为博主和红包主的粉丝 规则
hope_wisdom
发出的红包

打赏作者

roman_日积跬步-终至千里

你的鼓励将是我创作的最大动力

¥1 ¥2 ¥4 ¥6 ¥10 ¥20
扫码支付:¥1
获取中
扫码支付

您的余额不足,请更换扫码支付或充值

打赏作者

实付
使用余额支付
点击重新获取
扫码支付
钱包余额 0

抵扣说明:

1.余额是钱包充值的虚拟货币,按照1:1的比例进行支付金额的抵扣。
2.余额无法直接购买下载,可以购买VIP、付费专栏及课程。

余额充值