前言
通过了解单链表的结构与实现,接下来小编将带大家深入探讨单链表的常见操作及其应用场景。我们将通过以下单链表经典算法题来深入理解单链表的特性和应用,每个算法题都配有详细的解题思路、代码实现和复杂度分析,建议读者先尝试独立解决,再参考给出的解决方案。

目录栏:
一、移除链表元素
Leetcode链接:移除链表元素
题目描述:
1.1题目思路剖析
思路一:在原链表中进行更改
①定义一个pcur指针初始化为头节点,通过循环遍历单链表,寻找链表元素为val值。
②如果遇到当前节点 为val值进行删除,类似于单链表中指定位置删除。
③需要定义一个前驱指针进行保存pcur的下一个节点位置,以防删除当前节点找不到下一个节点。
简而言之:
要想删除节点 node,必须在 node 的前一个节点执行删除操作。
例如链表 1→2→3,要想删除 2,必须在节点 1 处操作,也就是把节点 1 的 next 更新为节点 3
温馨提示:需要去提前判断头节点处的值是否为val,如果头节点处的值为val需要进行提前删除,否则后续逻辑将混乱。
思路二:创建一个新的链表
①申请一个新的链表,定义头节点为newHead,定义尾节点为ptail。
②定义一个pcur节点指针初始化为原链表的头节点,进行循环遍历,如果当前节点不是val值,进行尾插到新链表中。
这里我们称这个头节点为哨兵位,并将该节点的指针域置为空,我们并不关系其数据域的内容,因为我们只需要返回newHead->next。
如图所示
1.2代码实现
思路一:代码实现
struct ListNode* removeElements(struct ListNode* head, int val) {
//链表为空时
if(head==NULL)
{
return NULL;
}
//判断val为头节点
while(head&&head->val==val)
{
struct ListNode *tmp=head;
head=head->next;
free(tmp);
tmp=NULL;
}
struct ListNode * pcur=head; //当前节点
struct ListNode * prev=head; //前驱节点
//链表不为空时,遍历整个链表
while(pcur)
{
//判断当前节点元素是否与val值相同
if(pcur->val==val)
{
//删除当前节点
prev->next=pcur->next;
free(pcur);
pcur=prev->next;
}
else
{
//更新前驱节点的位置
prev=pcur;
//指向下一个节点
pcur=pcur->next;
}
}
return head;
}
温馨提示:这里尤其要注意如下代码
while(head&&head->val==val) { struct ListNode *tmp=head; head=head->next; free(tmp); tmp=NULL; }因为我们定义了一个前驱节点prev指向头节点,定义一个pcur指向当前节点,所以链表的头节点没有前驱节点,其删除逻辑与中间节点不同。
如果不单独处理头节点,直接进入后面的循环(依赖
prev指针),会因为prev初始值也是头节点而无法正确删除头部的目标节点。
思路二:代码实现
typedef struct ListNode ListNode;
struct ListNode* removeElements(struct ListNode* head, int val)
{
//创建新链表的方式
//创建两个指针,一个为头节点指针,另一个为尾节点指针
ListNode * newHead=(ListNode*)malloc(sizeof(ListNode));
newHead->next=NULL;
ListNode * pTail=newHead;
//遍历原链表
ListNode * pcur=head;
while(pcur)
{
if(pcur->val!=val)
{
//进行尾插节点
pTail->next=pcur;
//更新尾节点
pTail=pTail->next;
}
pcur=pcur->next;
}
if(pTail!=NULL)
{
pTail->next=NULL;
}
ListNode *ret=newHead->next;
free(newHead);
newHead=NULL;
return ret;
}
温馨提示:
这里我们通过定义一个新的链表,对不是val值的节点进行尾插,最后对动态内存开辟的空间进行释放,返回哨兵位的下一个节点。
1.3优化与复盘
通过这道题我们可以得到两种思路:
①在原链表进行修改。
进行删除某个节点时,我们一般会定义两个指针变量,prev指针为前驱节点(用于保存pcur指针的下一个节点,防止因删除后不能正确查找到下一个节点的位置),pcur指针(指向当前节点,进行对当前节点释放)
②新创建一个链表,基于新链表进行处理。
二、反转链表
Leetcode链接:反转链表
题目描述:
2.1题目思路剖析
思路一:头插法
开辟一个新链表,对新链表进行头插每个节点
思路二:迭代法
①定义三个指针变量,prev前驱指针,pcur当前指针,pnext用于临时保存pcur的下一个节点
②重点关注pcur指针和prev指针的走向,pnext只是用来临时保存pcur的下一个节点
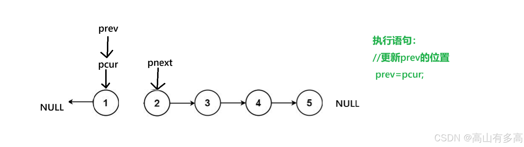
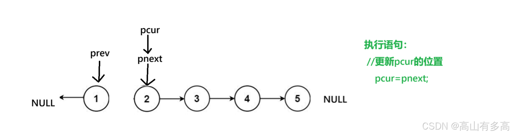
1.首先,原本初始化之后是这样的, prev 指向 NULL, pcur 指向head。 我们要明确一点,我们交换的对象只有两个 pre 和 cur。
2.第二步,我们定义好pnext节点,我们不会对pnext节点有任何操作,它就像一个锚点,帮助我们临时保存pcur的下一个节点而已。
3.第三步,我们将当前pcur所指向的节点进行反向,执行最核心的反转步骤
![]()
4.第四步,这里我们必须先移动 pre 再移动 cur。 不然会丢失节点位置
5.第五步,我们更新pcur位置,第一个循环结束。
6.以此类推,最后,判断循环结束条件,即当pcur指向为空时,循环退出。
2.2代码实现
思路一代码:
typedef struct ListNode ListNode ;
struct ListNode* reverseList(struct ListNode* head)
{
//新链表的头节点(初始为空)
ListNode*newhead=NULL;
//遍历原链表的指针
struct ListNode* pcur=head;
while(pcur)
{
//保存当前节点的下一个节点
ListNode * pnext=pcur->next;
//头插节点
pcur->next=newhead;
//更新头节点
newhead=pcur;
//更新当前节点
pcur=pnext;
}
return newhead;
}
思路二代码:
typedef struct ListNode ListNode;
struct ListNode* reverseList(struct ListNode* head)
{
ListNode * prev=NULL;
ListNode * pcur=head;
ListNode * pnext=head;
while(pcur)
{
//保存当前节点的下一个节点指针
pnext=pcur->next;
//反转当前节点的指向(指向prev)
pcur->next=prev;
//更新prev的位置
prev=pcur;
//更新pcur的位置
pcur=pnext;
}
return prev;
}
2.3优化与复盘
通过这道算法题我们了解了迭代的思想:
①保存后继节点:用 pnext 指针暂存当前节点 pcur 的下一个节点(pnext = pcur->next),防止修改 pcur 的指向后丢失后续链表。
②反转指向:将当前节点 pcur 的 next 指针反向指向其前一个节点 prev(pcur->next = prev),这是 “反转” 的直接操作。
③移动指针:将 prev 移动到 pcur 的位置(prev = pcur),pcur 移动到之前保存的 pnext 位置(pcur = pnext),为下一次反转做准备。
三、合并两个有序链表
Leetcode链接:合并两个有序链表
题目描述:
3.1题目思路剖析
核心思路:
①创建一个哨兵节点,作为合并后的新链表头节点的前一个节点。这样可以避免单独处理头节点,也无需特判链表为空的情况,从而简化代码。
②比较 list 1 和 list 2的节点值,如果 list 1的节点值小,则把 list 1 加到新链表的末尾,然后把 list 1替换成它的下一个节点。如果 list 2 的节点值小则同理。如果两个节点值一样,那么把谁加到新链表的末尾都是一样的,不妨规定把 list 2加到新链表末尾。
③重复上述过程,直到其中一个链表为空。循环结束后,其中一个链表可能还有剩余的节点,将剩余部分加到新链表的末尾。
④最后,返回新链表的头节点,即哨兵节点的下一个节点。
简而言之:
①定义两个指针p分别为p1和p2,用p1遍历第一个链表,用p2遍历第二个链表。
②创建一个新链表,根据p1->val 和 p2->val 值的比较,进行尾插到新链表中。
③处理剩余的节点,当p1优先遍历完第一个链表,直接尾插p2剩余的节点。反之,当p2优先遍历完第二个链表,直接尾插p1剩余的节点。
3.2代码实现
typedef struct ListNode ListNode;
struct ListNode* mergeTwoLists(struct ListNode* list1, struct ListNode* list2)
{
ListNode * dummy=(ListNode *)malloc(sizeof(ListNode)); //哨兵位
ListNode * ptail=dummy;
dummy->next=NULL;
ListNode * p1=list1;
ListNode * p2=list2;
while(p1&&p2)
{
if(p1->val >= p2->val)
{
//进行对p2尾插
ptail->next=p2;
p2=p2->next;
}
else
{
ptail->next=p1;
p1=p1->next;
}
ptail=ptail->next;
}
//p2走到空
if(p1)
{
ptail->next=p1;
}
//p1走到空
if(p2)
{
ptail->next=p2;
}
ListNode * newHead =dummy->next;
free(dummy);
dummy=NULL;
return newHead;
}
3.3优化与复盘
通过这道题,我们加深理解了哨兵位的创建,以及对于链表尾插操作进一步深化。
四、链表的中间节点
Leetcode链接:链表的中间节点
题目描述:

4.1题目思路剖析
这道题初看并没有什么思路,但如果将单链表视为数组的化,是不是类似于二分查找了?
如果我们采用数组的方式,遍历单链表中的每个节点,将链表每个节点的元素存入,这样是不是过于麻烦了。
接下来我们将介绍一个极其巧妙的方法:快慢指针法,将极大优化代码量。
类似于百米跑步,甲乙两个同学,甲同学1s跑10m,乙同学1s只能跑5m,当甲跑完整个100m时,乙同学才跑完100m的一半,类比这个思想,我们就可以使用快慢指针,一个指针一次遍历两个节点,一个指针一次遍历1一个节点。
首先定义两个指针,一个快指针fast ,一个慢指针slow,让快指针一次遍历两个节点,让慢指针一次遍历一个节点,当快指针遍历完单链表时,是不是慢指针恰好在中间的位置。
4.2代码实现
typedef struct ListNode ListNode;
struct ListNode* middleNode(struct ListNode* head)
{
//定义一个快指针和一个慢指针
//快指针一次走两个节点,慢指针一次走一个节点,快指针走到尾节点,慢指针即走到中间
ListNode * slow=head;
ListNode * fast=head;
while(fast && fast->next)
{
fast=fast->next->next;
slow=slow->next;
}
return slow;
}
注意这里循环的结束条件:
①若单链表有奇数个节点
![]()
②单链表有偶数个节点
温馨提示:while(fast && fast->next) 不能改写为while( fast->next && fast)
如果是偶数个节点就会出现对空指针解引用,但如果写成while(fast && fast->next)会因为第一个条件为空而直接退出,不会判断第二个条件。
4.3优化与复盘
通过这道题,我们了解了对快慢指针的学习,进行运用 快指针=慢指针*2 这个公式。
五、分割链表
Leetcode链接:分割链表
题目描述:

5.1题目思路剖析
思路解析:
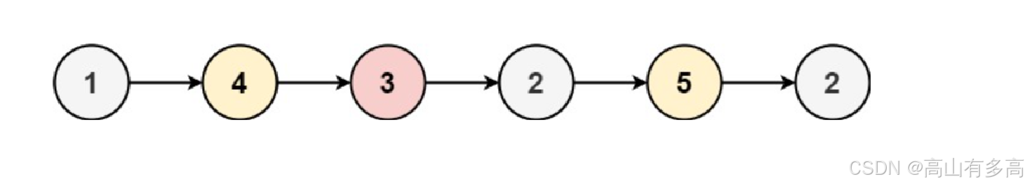
①通过定义两个空链表(创建两个哨兵位),一个链表存储小于等于x的值,记为small,另一个链表存储大于x的值,记为large。
②将smll链表的尾节点与large链表的头节点进行首尾相连。
5.2代码实现
typedef struct ListNode ListNode;
struct ListNode* partition(struct ListNode* head, int x)
{
//定义两个链表,一个链表存储小于x,另一个链表存储大于x
ListNode * small=(ListNode*)malloc(sizeof(ListNode));
ListNode * large=(ListNode*)malloc(sizeof(ListNode));
small->next=NULL;
large->next=NULL;
//存储小于x链表的尾节点
ListNode * ptail1=small;
//存储大于x链表的尾节点
ListNode * ptail2=large;
ListNode * pcur=head;
while(pcur)
{
if(pcur->val>=x)
{
//尾插节点
ptail2->next=pcur;
//更新尾节点
ptail2=ptail2->next;
}
else
{
ptail1->next=pcur;
ptail1=ptail1->next;
}
pcur=pcur->next;
}
ptail2->next=NULL;
ptail1->next=large->next;
ListNode *ret=small->next;
free(small);
free(large);
return ret;
}
5.3优化与复盘
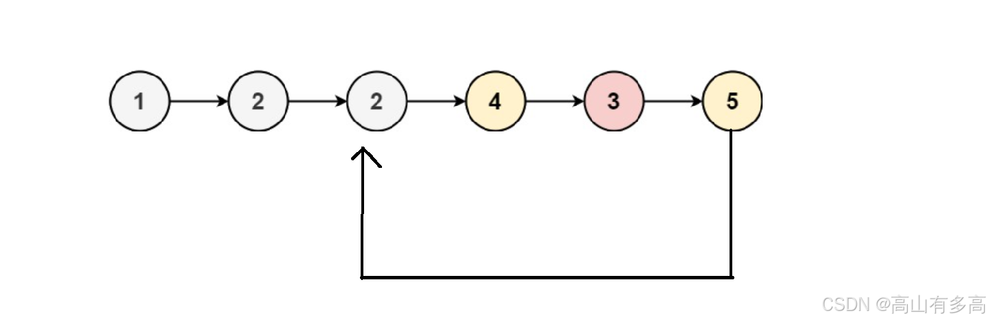
温馨提示:注意这段代码 ptail2->next=NULL; 对于存储大于x值的链表 的尾部要进行置空,否则有可能出现链表成环,导致无限死循环。
例如:
新创建的large链表尾节点存储着后一个节点的地址,如果不对其置空,small与large进行首尾相连时会出现环化。
如图所示:
六、环形链表的约瑟夫问题
牛客网链接:约瑟夫问题
题目描述:

6.1题目思路剖析
核心思路:
①通过进行模拟上述题目场景,进行创建循环链表,我们可以先定义一个单链表,将每个人的编号存入单链表的节点中,再将单链表的头节点和尾节点进行相连就可以形成一个循环链表。
如图所示:
②定义一个计数器count,如果报数到m的节点进行删除,对于删除节点的方法,我们已经很熟悉了,先定义一个前驱指针prev,再定义一个pcur节点,prev先指向编号为5的节点,当前节点指向编号为1的节点,进行循环遍历。
通过对其模拟可得
6.2代码实现
typedef struct ListNode ListNode ;
//创建一个节点
ListNode * setListNode(int x)
{
ListNode * newnode=(ListNode *)malloc(sizeof(ListNode));
if(newnode==NULL)
{
exit(1);
}
newnode->val=x;
newnode->next=NULL;
return newnode;
}
//创建循环链表
ListNode * Circlenode(int n)
{
//头节点
ListNode * phead=setListNode(1);
//尾节点
ListNode * ptail=phead;
for(int i=2;i<=n;i++)
{
//尾插节点
ptail->next=setListNode(i);
//更新尾节点指针
ptail=ptail->next;
}
//将第n个节点与头节点相连接
ptail->next=phead;
return ptail;
}
int ysf(int n, int m ) {
// write code here
//定义前驱节点
ListNode * prev=Circlenode(n);
//定义当前节点
ListNode * pcur=prev->next;
//定义计数器为1
int count=1;
while(pcur!=pcur->next)
{
//如果刚好报数到m,删除该节点
if(count==m)
{
//将前驱节点指向pcur的下一个节点
prev->next=pcur->next;
//释放当前节点
free(pcur);
//更新当前节点位置
pcur=prev->next;
//重置count
count=1;
}
//如果报数不是m
else
{
//更新前驱节点的位置
prev=pcur;
//更新当前节点的位置
pcur=pcur->next;
//更新count的值
count++;
}
}
int ret=pcur->val;
free(pcur);
return ret;
}
6.3优化与复盘
注意事项一:
对于创建完循环链表后,我们要将循环链表的尾节点进行返回,因为可以通过尾节点寻找得到头节点,如果返回环状链表的头节点,则找不到环状链表的尾节点,导致不能正确的定义前驱节点,和当前节点。
注意事项二:
对于循环链表遍历完的退出条件为只剩下一个节点,即当前节点和当前节点的下一个节点不重合,pcur!=pcur->next, 。
既然看到这里了,不妨点赞+收藏,感谢大家,若有问题请指正。














1044





