目录
0. 前言
有关算法的详细信息参考下面这两个网址:
Extreme Algorithms
http://www.seas.gwu.edu/~simhaweb/champalg/tsp/tsp.html
LKH (Keld Helsgaun)
http://www.akira.ruc.dk/~keld/research/LKH/
1. 基本LK算法
LK算法是基于交换转换的实质性概括。假设T是一个非最优但可行的解决方案。那么我们可以说T不是最优的,因为T中有k个元素 是“不合适”;为了使T最优,它们应该被 S-T 的k元素
代替,问题只是识别 k 和 x 和 y 。
由于我们不知道k应该是什么,所以修复k然后考虑这个固定k的所有可能的T的k-subsets似乎是人为的。相反,我们尝试逐个元素找到 k 和 和
作为最好的。因此,我们将首先尝试将
和
识别为“最不合适”的对;然后,选择
和
并暂时搁置,我们发现
和
是其余集合中最不合适的一对;等等。
1.1 基本步骤

1.2 相关知识点
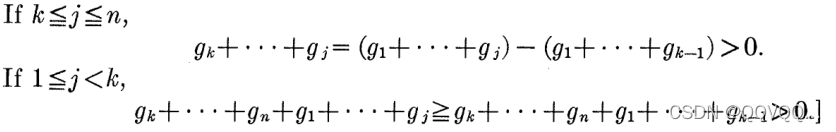
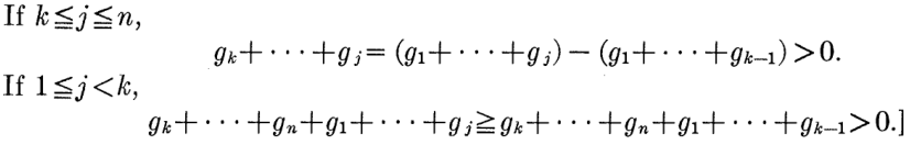
设 表示
和
的长度,定义
LK算法基于一个重要的simple fact:如果一系列序列具有正和,则这些序列存在循环排列,使得每个部分和都是正的。
证明:
设 k 是 使得最小的索引,则

特别是,由于我们正在寻找具有正和的 序列,我们只需要考虑部分和总是正的增益序列。这种增益标准使我们能够大大减少我们需要检查的序列数量;这是算法停止规则的核心。
1.3 算法的伪代码

算法的有关细节如下:
Step1. 随机生成一个初始旅行 ,即随机生成一个可行解。
Step2. 用于记录交换边的数量,
为在当前
状态下,未选择的一个城市节点。
Step3. 在 中选择一条边
。当
确定时,
有两个选择,即
也仅有两个选择。两个选择都应该进行判断,寻找潜在的最优解。
Step4. 当 确定时,则
的一个端点确定,此时
不应该等于
,此时选择的
应当保证
, 如果没有满足条件的应当尝试下一个
,如果
为当前
下最后一个满足条件的
则尝试下一个
。
Step5. 令 ,进行下一组边的尝试。
Step6. 对于给定的 ,
有两种选择,但是两种选择中仅有一种可以闭合整个旅行,其中一个无法闭合,仅当选择
,即 选择
时,才允许不闭合整个旅行的存在,这可以增大获得全局最优解的可能性。
≠
,
. 意味着
不能是先前已经断开的边。
Step7. 在 确定时,则
的
已经确定,此时需要确定
,且此时
的存在必须确保
也要存在,
存在的条件参考Step6中的(a)、(b)。如果没有满足条件的则更换
进行尝试,如果有满足条件的则继续增加交换的边,看是否可以继续增加。
Step8. 步骤8是对所有 的遍历
Step9. 步骤9是对所有 的遍历
Step10. 步骤10是对所有 的遍历
Step11. 步骤11是对所有 的遍历
Step12. 步骤12是对所有 的遍历
Step13. 停止条件。
1.4 算法需要满足的准则
1. 准则一(顺序交换准则)
与
、
分别共享一个节点。如果
是
其中一个节点,则当
时,
,
,如下图所示

如图, 构成相邻连接链。
集合X与集合Y交换产生旅行的必要(但不充分)条件是连接链被关闭,即。这种交换称为顺序交换。
通常,可以通过适当编号受影响链路作为顺序交换来实现旅行的改进。但是,情况并非总是如此。下图显示了一个无法进行顺序交换的示例。

2. 准则二(可行性准则)
对于选择的 ,当
连接到
时,确保得到的结果是一个可行的旅行,这个准则用于
确保可以关闭旅行,形成一个闭环。
3. 准则三(正增益准则)
要求选择的 始终可以确保所提出的交换集合的增益
为正,假设
是
与
的收益,则
。该准则在算法的效率中起着重要作用。
4. 准则四(不相交准则)
最后,要求集合X和Y是不相交的。这简化了编码,也减少了运行时间并提供了有效的停止标准。
1.5 基本LK算法的改进
为了限制搜索,Lin和Kernighan通过引入以下规则来改进算法:
5. 准则五
在寻找一个进入 的边时,
中的
被限制为最近的5个邻居。
6. 准则六
对于i≥4,如果 中的任何一个边
是少数(2-5个)可行解的共同环节,则该环节必须被打破。
7. 准则七
如果当前旅游与之前的解决方案旅游相同,则停止搜索。
规则5和6是启发式规则。它们是基于对哪些链接可能属于最优旅游的预期。它们可以节省运行时间,但有时是以不能获得最佳解决方案为代价的。
规则7也可以节省运行时间,但对找到的解决方案的质量没有影响。如果一个游程与之前的解决方案游程相同,那么试图进一步改进它就没有意义了。因此,检查是否有更多改进可能所需的时间(检查时间)可以被节省。根据Lin和Kernighan的说法,以这种方式节省的时间通常是运行时间的30%到50%。
除了这些主要是为了限制搜索的细化之外,Lin和Kernighan还增加了一些细化,其目的主要是为了指导搜索。在算法可以选择备选方案的情况下,启发式规则被用来给这些备选方案赋予优先权。在只必须选择其中一个替代方案的情况下,选择具有最高优先权的方案。在必须尝试几个备选方案的情况下,这些备选方案按优先级递减的顺序被尝试(使用回溯法)。更具体地说,使用了以下规则。
8. 准则八
当边 被选择时,每个可能的选择都被赋予优先级
。
9. 准则九
如果 有两种选择,则选择
最高的一种。
2. LKH算法
待完成
3. Python实现
此实现仅仅是一个简单版本,还需要进一步优化代码结构
from random import choice
import math
import matplotlib.pyplot as plt
def get_distances(coordinates):
"""根据城市坐标获取城市距离,返回关于城市距离的矩阵"""
city_distance = []
city_number_ = len(coordinates)
for i in range(city_number_):
city_i = []
i_x, i_y = coordinates[i][0], coordinates[i][1]
for j in range(city_number_):
j_x, j_y = coordinates[j][0], coordinates[j][1]
city_i.append(math.sqrt((i_x - j_x) ** 2 + (i_y - j_y) ** 2))
city_distance.append(city_i)
return city_distance
def get_matrix(city_number_, file_path, row):
"""读取.tsp文件,并返回距离矩阵"""
f = open(file_path, "r") # 以只读模式打开文件
lines = f.readlines() # 获取所有行并保存到lines列表中
datas = [] # 保存数据
for line in lines[row - 1:-1]: # 读取指定的所有行
line.strip('\n') # 去掉换行符
datas.extend(line.split()) # 去掉空格
f.close() # 关闭文件
dis_matrix = []
# 先获取下三角矩阵
line = []
for data in datas:
value = int(data)
line.append(value)
if value == 0:
dis_matrix.append(line[:])
line = []
# 再对下三角矩阵进行修改
for i in range(city_number_):
for j in range(i + 1, city_number_):
dis_matrix[i].append(dis_matrix[j][i])
return dis_matrix
def initialize(number):
"""生成初始解,number为城市数量"""
# city_list = [v for v in range(number)]
# path = []
# for i in range(number):
# city = choice(city_list)
# city_list.remove(city)
# path.append(city)
path = list(range(number))
return path
def get_path_fitness(path):
"""计算路径path的距离"""
path_distance = distance_matrix[path[0]][path[-1]]
for i in range(len(path) - 1):
path_distance += distance_matrix[path[i]][path[i + 1]]
return path_distance
def run_algorithm(N):
"""执行算法,N为算法运行次数"""
iterate_result = [] # 每次迭代的结果
best_value = 99999
best_path = []
for n in range(N):
print(f"========================执行第{n}次==========================")
path = LK()
fitness = get_path_fitness(path)
iterate_result.append(fitness)
if fitness < best_value:
best_path = path
best_value = fitness
return best_value, best_path, iterate_result
def transform_path(path):
"""将基于位置表示的路径转化为基于边的表示的路径"""
T = []
for i in range(len(path) - 1):
T.append((path[i], path[i + 1]))
T.append((path[-1], path[0]))
return T
def transform_T(T):
"""将基于边表示的路径转化为基于位置表示的路径"""
path = [T[0][0], T[0][1]]
length = len(T)
del T[0]
for i in range(length - 2):
for t in T:
if t[0] == path[-1]:
path.append(t[1])
T.remove(t)
break
elif t[1] == path[-1]:
path.append(t[0])
T.remove(t)
break
return path
def LK():
"""LK算法"""
p = False
# 初始化路径
path = initialize(city_number)
T = transform_path(path)
n = 0
# 第一层循环,遍历所有的t1(注意,当T更改时需要t1要重新开始循环)
while n < city_number:
t1 = n
x1_list = get_x1_list(t1, T)
# 第二层循环,遍历t1对应的所有x1,实际x1最多两种可能性
for x1 in x1_list:
t2 = (set(x1) - {t1}).pop()
# 第三层循环,遍历x1对应的所有y1
y1_list = get_y1_list(t2, x1, T)
if not y1_list: # 没有满足条件的y1,进行下一个x1判断
print(f"x1={x1}时没有满足条件的y1 ")
continue
for y1 in y1_list:
# 第四层循环,遍历y1对应的所有x2,其中x2最多两种可能性,其中一种选择无法构成回路
p, x2_list = get_x2_list(x1, y1, T)
if p: # 已存在较优的回路,更改T重新选择t1
break
for x2 in x2_list:
# 第五层循环,遍历x2对应的所有y2
y2_list = get_y2_list(y1, [x1, x2], T)
if y2_list: # 存在使增益增加的y2,且x3存在
for y2 in y2_list:
# 进入r_opt搜索
print(f"===========================开始r_opt=======================")
print(f"||t1={t1}||x1={x1}||y1={y1}||x2={x2}||y2={y2}")
p, p1, T = r_opt(T, [x1, x2], [y1, y2])
print("===========================结束r_opt=======================")
if p:
break
if p1: # 进入下一个y2的尝试
continue
else: # 不存在满足条件的y2
continue # 直接进入下一循环,重新选择x2
if p:
break
if p:
break
if p:
n = 0
break
if p:
n = -1 # T被重置,因此需要t1也要重新开始
p = False
print("存在改进,重置t1起点")
n += 1
return transform_T(T)
def r_opt(T, tried_x, tried_y):
"""对T进行r_opt优化,tried_x=[x1,x2],tried_y=[y1,y2]"""
# 当y2=(t4,t5)确定时,x3则只有两种选择包含t4或者t5
# 寻找所有的x3
p = False # 寻找下一个t1的标志
p1 = False # 寻找下一个y2的标志
i = 2
while True:
i += 1
print(f"进行第{i}对边搜索")
# 选择xi
p6, xi, T = choose_xi(T, tried_x, tried_y) # 进入此步意味着x(i+1)必然存在,但不一定使T更好
if p6: # T可以被改善,且在choose_xi()函数中已经对T进行了修改
p = True
break
# 选择yi
tried_x.append(xi)
p7, yi = choose_yi(T, tried_x, tried_y)
if not p7: # 没有满足条件的yi,尝试下一个y2
p1 = True
break
tried_y.append(yi)
return p, p1, T
def choose_xi(T, tried_x, tried_y):
"""如果选择的t_2i连接t1后,构成新回路的收益大于旧回路收益则更改旧回路返回True"""
# yi和xi+1必须共享一个端点,即yi_1与xi也必须共享一个端点
# yi=(t2i,t2i+1)和xi+1=(t2i+1,t2i+2)
t1 = (set(tried_x[0]) - set(tried_y[0])).pop()
t2i_1 = list(set(tried_y[-1]) - set(tried_x[-1]))[0]
xi = (0, 0)
p = False
for t in T: # xi为二选一
t2i = (set(t) - {t2i_1}).pop()
if (t2i_1 in t) and (t not in tried_y) and (t not in tried_x) and (t2i != t1):
yi = (t1, t2i)
X = tried_x[:]
X.append(t)
Y = tried_y[:]
Y.append(yi)
if judge_swap(T, X, Y): # 可以进行边的交换
xi = t
if judge_fitness(X, Y):
T = list((set(T) - set(X)) | set(Y))
print(f"xi存在改进,改进后的T为\n{T}")
p = True
break
return p, xi, T
def choose_yi(T, tried_x, tried_y):
"""尝试寻找满足条件的yi,如果找到则返回yi和True"""
# xi = (t2i-1,t2i)
# yi = (t2i,t2i+1)
# 当xi确定时,yi的某个端点则确定
t1 = (set(tried_x[0]) - set(tried_y[0])).pop()
t2i = (set(tried_x[-1]) - set(tried_y[-1])).pop()
for city in range(city_number): # 遍历所有城市寻找满足条件的yi
yi = (t2i, city)
X = tried_x[:]
Y = tried_y[:]
Y.append(yi)
G_i = judge_fitness(X, Y) # 收益值
if (G_i > 0) and (yi not in T) and ((city, t2i) not in T) and (city != t2i) and (city != t1):
# 接下来判断xi+1是否存在,xi+1=(city,t_)
for x in T:
if city in x:
t_ = (set(x) - {city}).pop()
X = tried_x[:]
X.append(x)
Y = tried_y[:]
Y.extend([yi, (t_, t1)])
if judge_swap(T, X, Y) and (x not in tried_x):
return True, yi
return False, (0, 0)
def judge_swap(T, X, Y):
"""判断交换能能否构成闭环,可以则返回True"""
T_ = (set(T) - set(X)) | set(Y)
t = 0
i = 0
while i <= len(T):
for x in T_:
if t in x:
i += 1
x_list = list(x)
x_list.remove(t)
t = x_list[0]
if (t == 0) and (i < city_number - 1):
return False
return True
def judge_fitness(X, Y):
p = False
fitness = 0
for i in range(len(X)):
fitness += distance_matrix[X[i][0]][X[i][1]] - distance_matrix[Y[i][0]][Y[i][1]]
if fitness > 0:
p = True
return p
def get_T_fitness(T):
"""获取T的路径距离"""
distance = 0
for t in T:
distance += distance_matrix[t[0]] + distance_matrix[t[1]]
return distance
def get_x1_list(t1, T):
"""获取t1对应的所有可能的x1"""
x1_list = []
for v in T:
if t1 in v:
x1_list.append(v)
return x1_list
def get_y1_list(t2, x1, T):
"""获取在x1确定下的所有的y1"""
y1_list = []
for city in range(city_number):
G1 = distance_matrix[x1[0]][x1[1]] - distance_matrix[t2][city]
if ((t2, city) not in T) and ((city, t2) not in T) and (G1 > 0) and (t2 != city):
y1_list.append((t2, city))
return y1_list
def get_x2_list(x1, y1, T):
"""x2有两种选择,只有一种可以形成回路"""
t1 = (set(x1) - set(y1)).pop()
p = False
x2_list = []
t2 = (set(x1) - {t1}).pop()
t3 = (set(y1) - {t2}).pop()
for x in T:
if (t3 in x) and (t1 not in x):
x2_list.append(x)
t4 = (set(x) - {t3}).pop()
X = [x1, x]
Y = [y1, (t4, t1)]
if judge_swap(T, X, Y) and (judge_fitness(X, Y)):
print("!!!")
T.remove(x)
T.remove(x1)
T.extend(Y)
print(f"在x2处可改进,改进后的T为:\n{T}")
p = True
break
return p, x2_list
def get_y2_list(y1, tried_x, T):
"""尝试寻找满足条件的y2,如果找到则返回所有y2列表"""
t1 = (set(tried_x[0]) - set(y1)).pop()
t4 = (set(tried_x[1]) - set(y1)).pop()
y2_list = []
# 遍历所有城市寻找满足条件的y2
for city in range(city_number):
y2 = (t4, city)
G_i = judge_fitness(tried_x, [y1, y2]) # 收益值
if (G_i > 0) and (y2 not in T) and ((city, t4) not in T) and (t4 != city) and (city != t1):
# 接下来判断x3是否存在,x3=(city,t6)
for x in T:
if city in x:
t6 = (set(x) - {city}).pop()
X = tried_x[:]
X.append(x)
Y = [y1, y2, (t6, t1)]
if judge_swap(T, X, Y):
y2_list.append(y2)
return y2_list
def get_neighbors(n):
"""获取所有城市的前n个邻居"""
neighbors = {}
for i in range(len(distance_matrix)):
temp_list = sorted(distance_matrix[i])
neighbors[i] = [distance_matrix[i].index(temp_list[v + 1]) for v in range(n)]
return neighbors
if __name__ == '__main__':
# 城市距离矩阵
# distance_matrix = [
# [0, 64, 378, 519, 434, 200],
# [64, 0, 270, 455, 375, 164],
# [378, 270, 0, 70, 265, 344],
# [519, 455, 70, 0, 223, 428],
# [434, 375, 265, 223, 0, 173],
# [200, 164, 344, 428, 173, 0]
# ] # 6个城市,最优1248
distance_matrix = get_matrix(24, "gr24.tsp", 8)
city_number = len(distance_matrix)
Run_Number = 1 # 迭代次数
print("开始执行算法!!!")
result = list(run_algorithm(Run_Number)) # 执行算法
print("=======================================================")
print(f"最优值为:{result[0]},对应路径为:《{result[1]}》")
# a = judge_swap([(6, 7), (9, 1), (11, 8), (4, 14), (13, 5), (13, 7), (15, 8), (14, 0), (9, 4), (12, 16), (1, 10),
# (5, 2), (6, 16), (12, 3), (10, 2), (11, 3), (15, 0)], [(6, 7)], [(6, 7)])
# print(a)
目前仅实现基本的LK算法
接下来将进行LKH算法的实现
参考文献:
[1] Helsgaun K . An effective implementation of the Lin–Kernighan traveling salesman heuristic[J]. European Journal of Operational Research, 2000, 126(1):106-130.
国内网站有关该算法介绍的文章见下面的网址:
TSP 问题的 LKH 方法介绍_xlh9718的博客-优快云博客_lkh算法
LKH求解TSP_yang_rookie的博客-优快云博客_lkh算法
本文详细解析了LK算法的基本步骤,相关知识点,以及正增益、不相交等准则。介绍了LKH算法的改进规则,并提供了Python代码实现,探讨了如何通过启发式规则加速搜索。适合理解和实践TSP问题的旅行商算法。
3382

被折叠的 条评论
为什么被折叠?



