图像处理中滤波和卷积是常用到的操作。两者在原理上相似,但是在实现的细节上存在一些区别。本篇主要叙述这两者之间的区别。
滤波
简单来说,滤波操作就是图像对应像素与掩膜(mask)的乘积之和。比如有一张图片和一个掩膜,如下图:
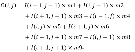
那么像素( i , j )的滤波后结果可以根据以下公式计算:
其中G ( i , j )是图片中 ( i , j )位置像素经过滤波后的像素值。
当掩膜中心m5位置移动到图像( i , j )像素位置时,图像( i , j )位置像素称为锚点。
滤波步骤:
对原始图像的边缘进行某种方式的填充(一般为0填充)。
将掩膜划过整幅图像,计算图像中每个像素点的滤波结果。
依照这个步骤,假设我们有一个二维矩阵I,掩膜M,则滤波的结果如下:
滤波后的图像大小不变。
卷积
卷积的原理与滤波类似,但是卷积却有着细小的差别。
卷积操作也是卷积核与图像对应位置的乘积和。但是卷积操作在做乘积之前,需要先将卷积核翻转180度,之后再做乘积。
卷积步骤:
180度翻转卷积核。
不做边界填充,直接对图像进行相应位置乘积和。
从以上步骤可以看出,如果卷积核不是中心对称的,那么卷积和滤波操作将会得到完全不一样的结果。另外,卷积操作会改变图像大小!
由于卷积操作会导致图像变小(损失图像边缘),所以为了保证卷积后图像大小与原图一致,经常的一种做法是人为的在卷积操作之前对图像边缘进行填充。
最后,关于卷积后图像尺寸的计算:假设原始图像为 M * M,卷积核大小为 N * N,边缘填充像素个数为pad,步长为stride。则卷积后图像的尺寸变为:m = ( M - N + 2 * pad ) / sride + 1。




2409

被折叠的 条评论
为什么被折叠?



