在投资界,巴菲特与查理.芒格的神仙友谊,是他们财富神话之外的另一段传奇。巴菲特曾这样评价芒格:他用思想的力量拓展了我的视野,让我以火箭的速度,从猩猩进化到人类。
人生何幸能得到一知己。如果没有这样的机缘,在AI时代,至少我们做量化时,可以让AI来伴飞。
这篇文章,分享我用AI的几个小故事。
在讲统计推断方法时,需要介绍分位图(Quantile-Quantile Plot)这种可视化方法人类天生就有很强的通过视觉发现pattern的能力,所以介绍这种可视化方法几乎是不可缺少的。

左偏、正态和右偏分布的QQ图示例
但当时在编这部分教材时,我对QQ-plot的机制还有一点不太清晰:为什么要对相比较的两个随机变量进行排序,再进行绘图?为什么这样绘图如果得到的是一条直线,就意味着两个随机变量强相关?难道不应该是按随机变量发生的时间顺序为序吗?
启用GPT-4的多角色数据科学家扮演
这个问题无人可请教,哪怕我搜遍全网。后来,即使我通过反复实验和推理,已经明白了其中的道理,但毕竟这个知识点似乎无人提及过,心里多少有点不确定。于是,我请教了GPT-4。
最初的几次尝试没有得到我想要的结论,于是,我用了一点技巧,要求GPT-4把自己想像成为数据科学家。并且,为了避免错误,我使用了三个数据科学家进行角色扮演,让A和B分别提出观点,再让C来进行评论,这一次,我得到了非常理想的结果,即使请教人类专家可能亦不过如此。
先给GPT-4提供问题背景:

从背景可以看出,我已经掌握了QQ图的大致原理。如果X与Y是同分布的,那么,将X,Y排序后,分别以[I,X][I,X][I,X]和[I,Y][I,Y][I,Y](III为数组坐标)为点绘制的曲线,将会是相似曲线。
但QQ图将其进行了变换,直接取每一个坐标IiI_iIi对应的XiX_iXi和YiY_iYi作为曲线的坐标,从而将只绘制出一条曲线。如果二者同分布,则该曲线将是一条直线。当时我对这个变换的性质还不太了解。
我的问题一共有4个:

最后一问,实际上就是要问这个变换为什么能成立。
GPT-4的角色 – 数据科学家A发现了背景中第一段的一个错误。[X,X][X,X][X,X]的图像为45度直线的条件并不需要XXX是有序的。任何数据集的[X,X][X,X][X,X]图像都会是45度直线(显然)。对于第2问,A的回答是:

对于第三问,数据科学家A认为:

n只影响图像的平滑度和我们判断时的精度。这一点非常准确。但我最关注的是第四位,随机变量X与Y究竟是如何对应的,为什么可以将它们按大小排序?A的回答是:

答案几乎已经呼之欲出了。即使两个随机变量服从同一分布,它们的值也不会相等,但是,出现在同一位置上的随机变量值,它们的差值会很小。因此,这样绘制出来的图,就是一条45度直线。
B和C主要是对A的结论进行质疑、比较,这里不赘述了。
无论A、B还是C都没有给出最终的解释:为什么如果随机变量X和Y服从同一分步的话,那么在同一位置i处的XiX_iXi和YiY_iYi应该是接近的。但它们确实证实了我们绘制QQ图之前,先对随机变量进行排序的思路是正确的。

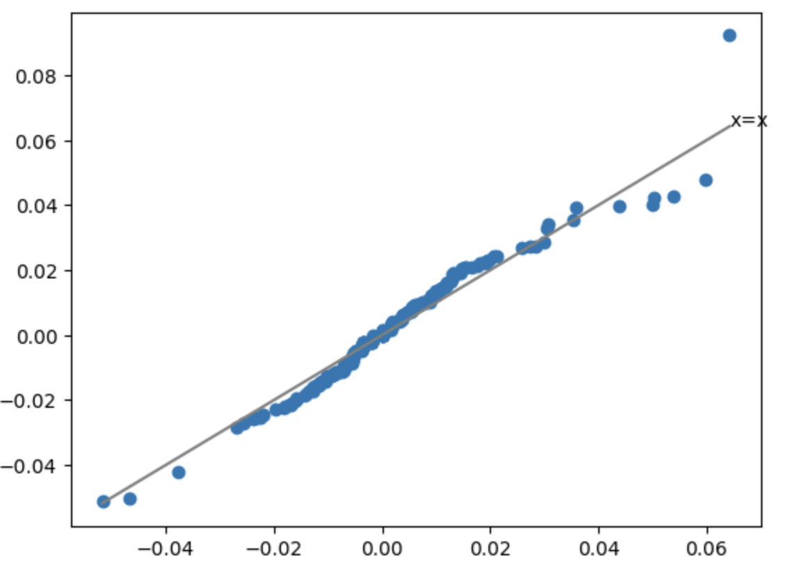
如果上述概念还不好理解,我们可以再举一个更直观的例子。通过QQ图来判断两个证券标的是否存在强相关性。比如,我们以两支同行业个股为例,取它们最近250期日线,计算每日回报率,对其进行排序后绘图:
import matplotlib.pyplot as plt
r1 = hchj["close"][1:]/hchj["close"][:-1] - 1
r2 = xrhj["close"][1:]/xrhj["close"][:-1] - 1
plt.scatter(sorted(r1), sorted(r2))
x = np.linspace(np.min(r1), np.max(r1), 40)
plt.plot(x,x, '-', color='grey', markersize=1)
plt.text(np.max(r1), np.max(r1), "x=x")
我们将得到如下的分位图:

这就非常直观地显示出,两支个股的走势确实相关:在涨幅4%以下的区域,如果A下跌,那么B也下跌,并且幅度都差不多;如果A上涨,那么B也上涨;幅度也差不多。这正是相关性的含义。这里我们排除了时间,只比较了两个随机变量即日收益率。

跟着copilot学编程
有两个版本的copilot。一个是copilot,另一个,现在被叫作github copilot,是vscode中的一个扩展。后者2022年中就发布了,当时有6个月的免费试用期。试用期内一炮而红,迅速开启了收费模式。这也直接导致了同年11月同赛道的工具软件Kite的退出。
现在github copilot每月$10,尽管物有所值,但作为不是每天都coding的人来说,感觉如果能推出按token付费的模式是最好了。
它的两个免费版本,一个是对学生免费。有edu邮箱的可以抓紧在github上申请下。另一个是如果你的开源项目超过1000赞,则有机会申请到免费版。
一般我使用copilot作为编程补充。它在错误处理方面可以做得比我更细腻,另外,在写单元测试用例时(建议每个量化人都坚持这样做),自动补齐测试数据方面是一把好手。
但是我没有想到的是,有一天它还能教我学编程,让我了解了一个从来没有听说过的Python库。
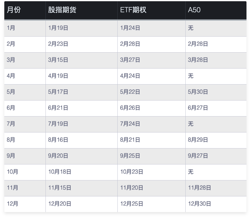
整个事情由ETF期权交割日引起。近年来似乎形成了这样一个规律,每逢期权交割日,A股的波动就特别大,而且以向下波动为主。因此,量化程序需要把这些交割日作为因子纳入交易体系。
但是这些交割日的确定,出入意料地–难。它的规则是:
股指期货的交割日为每月的第三周周五;ETF期权交割日为每月第四周的周三;A50交割日为相关月的倒数第二个交易日。
在刚刚过去的4月19日,是一个股指期货交割日。接下来的4月24日,则是ETF交割日。今年的交割日如下:

随手写了几行代码,发现这个日子还是比较难算的。于是打开copilot chat,问它:

Copilot并不知道股市日历,所以无法独立完成上述任务。这并不奇怪。令人惊喜地是,它使用了calendar.monthcalendar这个方法。尽管calendar是一个标准库,但我之前并不知道它还有这个用法。
import calendar
calendar.monthcalendar(2024, 4)

在这个基础上改就容易多了。另一个有趣的例子,是让copilot帮我想函数名。
我喜欢使用这样一个因子,最近20天内,涨幅中位数与跌幅中位数的比率。显然,这个比值越大,说明做多的力量越强。
最初我使用caculate_ratio这个函数名。但几乎所有的因子计算都可以使用这个名字。因此,我让copilot给一个准确点的名字。copilot回答说,根据函数的功能,我们可以将函数名从calculate_ratio改为calculate_downward_exceeding_upward_median_ratio。这个名字更准确地描述了函数的功能:计算下跌幅度超过上涨中位数的比例。
不过,这个名字太长了,也不优雅。于是,我问copilot,名字可以再短一点吗?可以使用metaphore吗?Coplilot回答说:

本文讲述了作者利用AI,尤其是GPT-4帮助理解和解决统计学中的QQ图问题,以及在编程和投资策略中应用Copilot的故事,展示了AI在提升工作效率和理解复杂概念中的作用。
527

被折叠的 条评论
为什么被折叠?



