任务描述
本关任务:编写一个能计算四边形的周长和面积的小程序。
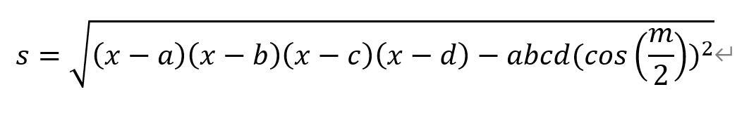
输入四边形的四条边长和一对对角之和(角度值),计算其周长和面积。 四边形四个边的长度为 a,b,c,d,一对对角之和为 m,x是周长的一半, 其面积为
相关知识
为了完成本关任务,你需要掌握:如何使用math库的函数
math库的函数
第一种导入方式
from math import *
对math库中函数可以直接采用<函数名>()形式使用
第二种导入方式
import math
引用函数时需要加上math.,例如math.sin(3.14)
使用help(math)可以在python中显示所有math库的帮助信息
math库包括16个三角曲线函数
sin(x) 返回x的正弦函数值
cos(x)返回x的余弦函数值
tan(x) 返回x的正切函数值
radians(x) 角度x的角度值转弧度值
degree(x) 角度x的弧度值转角度值
注意:在这些三角函数中,要求x是弧度
相关课件和视频
math库
编程要求
根据提示,在右侧编辑器补充代码,输入四边形的四条边长和一对对角之和(角度值),计算其周长和面积。
测试说明
平台会对你编写的代码进行测试:
测试输入:
请输入边长一5
请输入边长二5
请输入边长三10
请输入边长四8.66
请输入对角之和90
预期输出:
四边形周长28.66面积32.48
成长,是每个孩子的权力,也是他们必经的征程,或平坦、或崎岖,有悲欢,有离合。
开始你的任务吧,祝你成功!
from math import *
a=eval(input("请输入边长一"))
b=eval(input("请输入边长二"))
c=eval(input("请输入边长三"))
d=eval(input("请输入边长四"))
m=eval(input("请输入对角之和"))
#代码开始
#代码结束
print("四边形周长{:.2f}面积{:.2f}".format(z,s))
答案
from math import *
a = eval(input("请输入边长一"))
b = eval(input("请输入边长二"))
c = eval(input("请输入边长三"))
d = eval(input("请输入边长四"))
m = eval(input("请输入对角之和"))
# 计算周长
perimeter = a + b + c + d
# 计算半周长
s = perimeter / 2
# 将角度转换为弧度
theta = radians(m)
# 计算面积
area = sqrt((s - a) * (s - b) * (s - c) * (s - d) - a * b * c * d * (cos(theta / 2)) ** 2)
# 格式化输出结果
print(f"四边形周长{perimeter:.2f}面积{area:.2f}")
4529

被折叠的 条评论
为什么被折叠?



