原文在https://blog.youkuaiyun.com/gggg_ggg/article/details/45969499
这里只记录几个重要结论
1、正交投影变换

1.1一般形式

1.2常用形式

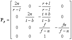
2、透视投影

2.1一般形式

2.2常用形式
本文介绍了OpenGL中的投影变换,包括正交投影和透视投影的一般形式及常用形式。经过投影变换,视椎体内的点被映射到[-1,1]x[-1,1]x[0,1]的立方体内,其中z值范围为[0,1],而OpenGL实际能识别的z范围是[-1,1]。"
109206913,10208150,Vue.js图片上传实践,"['前端开发', 'Vue', 'HTML', 'CSS', 'JavaScript']
原文在https://blog.youkuaiyun.com/gggg_ggg/article/details/45969499
这里只记录几个重要结论
1、正交投影变换

1.1一般形式

1.2常用形式

2、透视投影

2.1一般形式

2.2常用形式

被折叠的 条评论
为什么被折叠?