给你一个链表的头节点 head 和一个整数 val ,请你删除链表中所有满足 Node.val == val 的节点,并返回 新的头节点 。
示例 1:

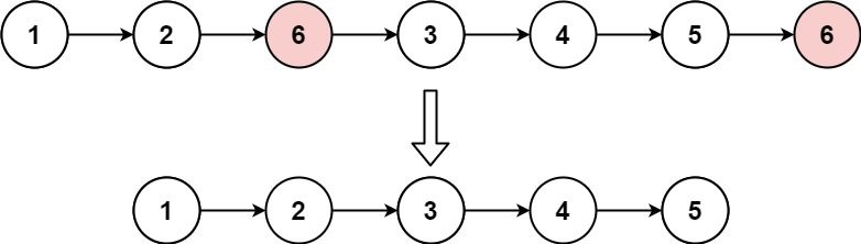
输入:head = [1,2,6,3,4,5,6], val = 6 输出:[1,2,3,4,5]
示例 2:
输入:head = [], val = 1 输出:[]
示例 3:
输入:head = [7,7,7,7], val = 7 输出:[]
思路:
设置一个虚拟头结点,这样原链表的所有节点就都可以按照统一的方式进行移除了。
来看看如何设置一个虚拟头。依然还是在这个链表中,移除元素1。

这里来给链表添加一个虚拟头结点为新的头结点,此时要移除这个旧头结点元素1。
删除操作:让节点next指针直接指向下下一个节点就可以了,但c++不要忘了手动清理内存,先设一个暂时变量指针,赋值成要删除的节点,然后让节点next指针直接指向下下一个节点,最后delete这个暂时变量指针,便完成清空操作。
最后呢在题目中,return 头结点的时候,别忘了 return dummyNode->next;, 这才是新的头结点
要注意,最开始设置虚拟头节点时,让dummyNode的next指向head,但同时还要设一个当前指针cur赋值成dummyNode,cur是用来接下来的循环遍历,不断更新改变,如果用dummyNode进行操作,那么会造成没有可以返回的头节点了,都跑到最后面了,而只剩输入的head根本全程没有对head进行操作,因此要设置两个指针,一个dummyNode,一个cur。
class Solution {
public:
ListNode* removeElements(ListNode* head, int val) {
ListNode* dummyHead = new ListNode(0); // 设置一个虚拟头结点
dummyHead->next = head; // 将虚拟头结点指向head,这样方便后面做删除操作
ListNode* cur = dummyHead;
while (cur->next != NULL) {
if(cur->next->val == val) {
ListNode* tmp = cur->next;
cur->next = cur->next->next;
delete tmp;
} else {
cur = cur->next;
}
}
head = dummyHead->next;
delete dummyHead;
return head;
}
};

文章讲解了在链表中移除满足条件的节点的方法,通过虚拟头节点实现,适用于C++编程。
1000

被折叠的 条评论
为什么被折叠?



