1.写出四阶行列式中含有因子a11a23的项
快速判断三阶行列式的正负


后两项的列只有2和4,排列组合即可

行是正序,列可能是逆序只看列
a32的2前面只有1个大,是奇数所以乘-1
a42的2前面两个大,偶数所以是正,也可以不用算,因为只做了一组交换

2.多项式未知数行列式求解

3.行列式翻转乘的系数


4.代数余子式的替换

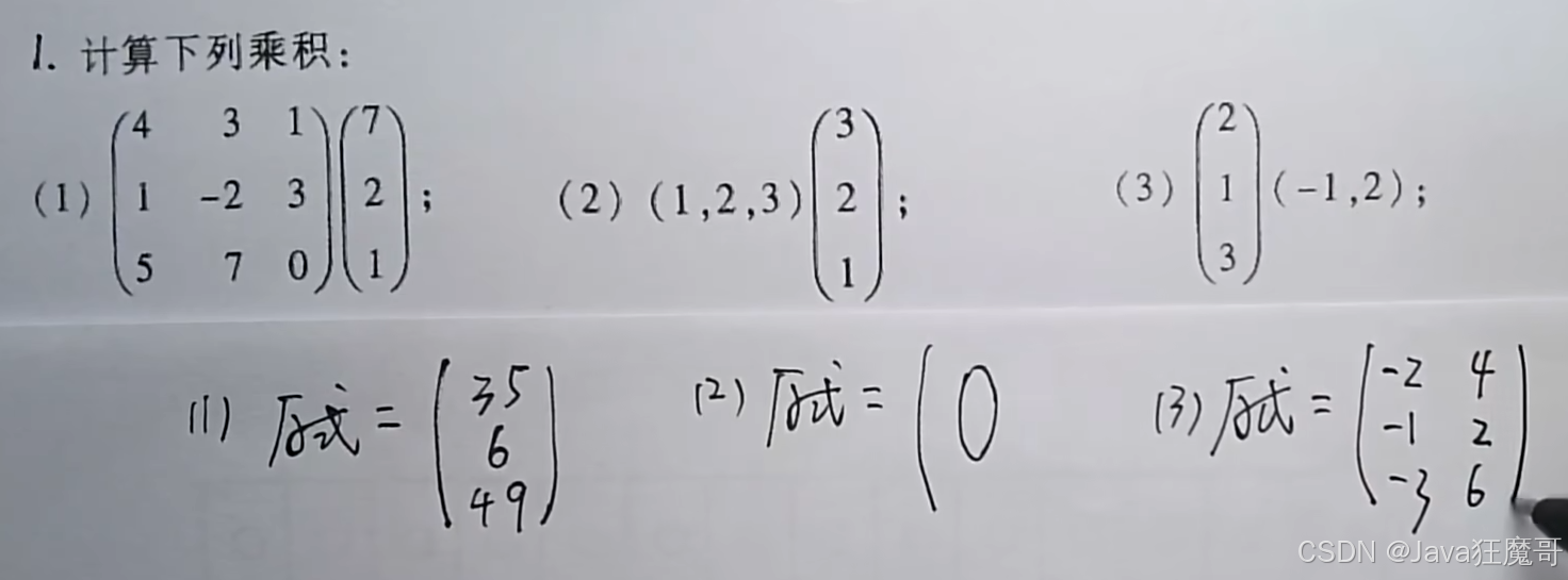
5.矩阵简单计算
关于对角线对称的矩阵的转置还是本身
6.线性变换

7.只要AB=BA那么他们都相等
8.错误命题

9.带参数λ的矩阵相乘

10.矩阵的n次方

11.对称矩阵

12.利用伴随矩阵求逆矩阵
二阶逆矩阵,主对调次相反,再乘行列式值分之一

13.证明矩阵可逆
就证明(A+3I)乘一坨=E,且行列式不为0

14.利用逆矩阵解方程

15.矩阵常用公式的应用



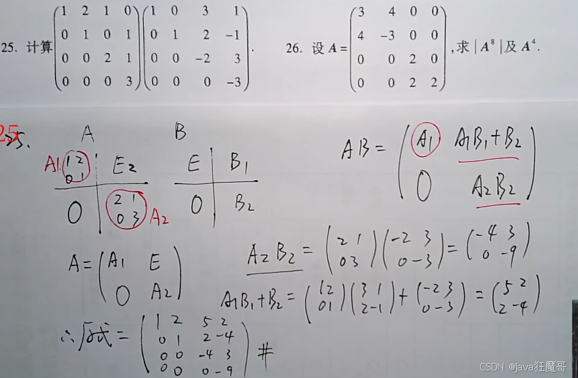
16.复杂矩阵相乘要分块

17.求可逆矩阵P使PA为行最简形

18.代数余子式与其他行之间的关系

4.分块矩阵求值

19.矩阵相乘



20.转置行列式不变


21.满秩矩阵
行列式不等于 0
1.全排列和逆序数

2.二三节行列式
1.二阶行列式

2.三阶行列式

3.4阶行列式 计算



4.行列式的性质
性质:某行(列)加上或减去另一行(列)的几倍,行列式不变
某行(列)乘k,等于k乘此行列式
互换两行(列),行列式变号

5. 公式
1.行列式与转置行列式

2.提公因式和成比例

3.某一行乘一个数加到另一行,行列式不变
4.当正对角线相同,其余位置也相同

5.范德蒙德行列式,行之间有指数关系

6.值等于某行乘他各自的代数余子式的值
6.余子式和代数余子式
7.多个A或M相加减

8.判断方程组解的情况,克莱姆法则
n个方程,n个未知量
1.齐次,没有常数


9.矩阵
同型矩阵:行数相等,列数相等
行最简矩阵

对称矩阵

1.矩阵加减
2.矩阵相乘
前行乘后列
前一行x后一列,前一行x后二列


3 .矩阵取绝对值

4.矩阵转置
5.矩阵可逆
矩阵的绝对值=逆矩阵的绝对值分之1


6.求逆矩阵
7.矩阵和他的逆矩阵相乘等于E
逆矩阵要乘在对应矩阵的位置


8.伴随矩阵
求代数余子式,之后再转置

8.求矩阵的秩
第二行减第一行
最后矩阵的行数,下面的0要比上面的多

9.分块矩阵
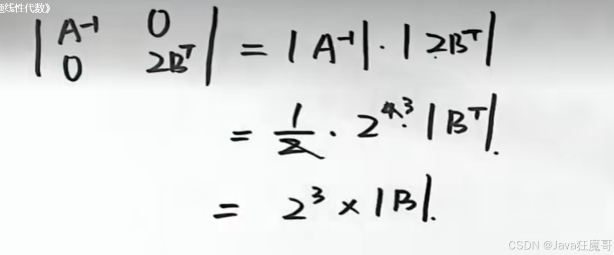
10.分块矩阵的行列式计算
10.向量
标准向量组
线性表示
线性相关和线性无关





1.判断向量是否有向量组线性表示
向量组的秩是否和给的向量加一起的秩相等




2.判断向量组是否线性相关
矩阵值=0是线性相关

3.给出基底,求向量在基底下的坐标
4.求极大无关组
秩等于多少就有多少极大无关组
把1开头的放第一行,记得行有变换,秩为多少就取前几行
求秩时单独对某一行进行放缩不会影响秩的值
如果行太多就转置,然后找首非零元素所在的列



5.已知线性相关,求未知数
行要等于列,并且行列式为0才能线性相关

6.验证矩阵是否是三维向量的一个基

11.解方程组
1.齐次方程解的情况
秩和未知数个数相等就一个解,不相等就多个解
齐次方程组一定有零解



2.非齐次方程解的情况
3.解方程组
1.非齐次方程组
常数是增广矩阵
2.齐次方程组
3.求方程组的通解、特解、基础解系
基础解系向量他们都是线性无关的
4.已知方程组的多个特解,求某齐次方程组的通解

5.已知方程组的多个特解,求某非齐次方程组的通解

6.求解向量个数
12.规范正交化


1.向量的内积与正交
1.内积得一个数

2.正交
正交一定线性无关,线性无关不一定正交
3.模

4.施密特正交化,把不正交的向量转为正交的向量
掌握前两个就行
5.给一个向量,求另外两个向量使他们三个两两正交


6.正交矩阵的逆矩阵等于它的转置
一个矩阵A乘以它的转置矩阵AT等于E就说明这个矩阵是正交矩阵
正交矩阵的列向量都是单位向量,并且两两相交


13.求矩阵的特征值
特征值不一样,特征向量一定正交

几阶方阵就有几个特征值
求特征值一定要降阶



14.特征向量



特征值与特征向量的性质




15.方针对角阵相似

1.相似矩阵
1.相似矩阵的性质


2.矩阵对角化

1.判断矩阵是否能化为对角阵
λ的重数等于特征向量的个数


2.求可逆矩阵P
A的对角阵就是三个特征向量组成的矩阵


3.实对称矩阵一定对角化



题1



对角线的元素是特征值
题2,跳过施密特变化过程



16.二次型

1.根据二次型求系数矩阵


2.标准型
3.二次型化成规范型
4.配方法把二次型化标准型
没有平方时


5.正定性,特征值都适合正的













759

被折叠的 条评论
为什么被折叠?



