| Mysql架构体系全系列文章主目录(进不去说明还没写完)https://blog.youkuaiyun.com/grd_java/article/details/123033016 |
|---|
本文只是整个系列笔记的第三章:MySQL事务和锁,只解释事务和锁相关知识。
文章目录
1. ACID特性
- 关系型数据库管理系统中,一个逻辑工作单元要成为事务,必须满足4个特性(ACID):原子性(Atomicity)、一致性(Consistency)、隔离性(lsolation)、持久性(Durability)
- ACID关系图如下,4个特性有3个和
WAL(预写式机制,就是先写日志,再写磁盘)有关,需要Redo、Undo日志保证。
| 原子性 |
|---|
- 事务是一个原子操作单元,对其数据的修改,要么都成功,要么都失败。
- 每一个写事务,都会先修改BufferPool,从而产生对应Redo/Undo日志,Buffer Pool中,页被刷盘之前,这些日志信息都会写入到日志文件中,如果Buffer Pool中脏页没有刷成功,数据库挂了,数据库重新启动之后,可以通过Redo日志恢复保证原子性,保证脏页写的数据不丢失。如果脏页刷新成功,此时数据库挂了,就需要Undo来实现原子性。
- 保证被正确的、完整修改的脏页刷新到磁盘,就是原子性,通过Redo实现。如果中间某个操作失败,那么所有数据都会通过Undo日志回滚到事务开始之前的状态。
| 持久性 |
|---|
- 指一个事务一旦提交,对数据库中数据的修改是永久性的,后续的操作或故障不应该对其有任何影响,不会丢失。
- 一个“提交”动作,会触发多个操作:binlog落地、发送binlog、存储引擎提交、flush_logs、check_point(刷盘脏页等操作)、事务提交标记等等。这些都是数据库保证其数据完整性、持久性的手段。
- MySQL的持久性也与WAL技术相关,redo log在系统发生Crash(死机)重启之类的情况时,可以修复数据,从而保障事务的持久性,通过原子性可以保证逻辑上的持久性,通过存储引擎的数据刷盘可以保证物理上的持久性。
| 隔离性 |
|---|
- 指事务之间相互独立,互不影响,一个事务内部的操作及使用的数据对其它的并发事务是隔离的。
- InnoDB支持4种隔离性(隔离级别,后面会详细讲),从低到高依次是:读未提交、读已提交、可重复读、可串行化。另外,锁和多版本控制(MVCC)技术就是用于保障隔离性的(后面会详细介绍)
| 一致性 |
|---|
- 指事务从一个正确的状态到另一个正确的状态。就是事务开始之前,是一个正确的状态,事务结束之后,是另一个正确的状态。比如银行转账的例子,A和B共有1000块,A给B转账后,A和B依然共有1000块。
- 一致性包括两方面:约束一致性、数据一致性
- 约束一致性:创建表结构时所指定的外键、Check、唯一索引等约束,可惜在MySQL中不支持Check。
- 数据一致性:综合性的规定,由原子性、持久性、隔离性共同保证的结果,不单单依赖于某一种技术
- 这个概念比较抽象,其实就是通过原子性、隔离性、持久性这3个特性来保证数据完整性,这3个特性又通过Redo/Undo保证。还有逻辑上的一致性,包括唯一索引、外键约束、check约束,这些都属于业务逻辑的范畴,需要写sql的人来自己保证。因为MySQL顶多提示您,“这么做不对,修改的数据涉及外键”等等。
2. 并发
2.1 事务控制的发展
- 并发事务带来的问题:更新丢失(多个线程同时修改同一行数据,自己提交的可能被别人提交覆盖,或回滚覆盖),脏读(另一个事务修改了但没提交的数据被读到),不可重复读(读到其它事务修改,但是已提交的数据,update,前后内容不一致),幻读(读到其它事务新插入的数据,insert,前后数据条目不一致)
- 排队:最简单的解决思路,完全串行化(按顺序,序列化)执行所有数据库操作,不需要加锁,也就是全局排队。串行化进行所有事务单元,数据库某一个时刻只处理一个事务。特点是强一致性,但是处理能力就低了,完全是单线程的了。
- 排它锁(互斥锁):既需要安全,又不能接受排队串行化的处理能力不高,那么引入锁后,就支持并发处理事务的能力了。事务之间涉及到相同数据项时,会使用排它锁,先进入的事务将独占这个锁处理数据,其它事务只能被阻塞,等待前面事务执行完毕后释放锁。(下图例子中,当事务1先抢到锁后,事务2就需要阻塞,当事务1整体结束(读、写、读),锁释放后,事务2拿到锁,才能开始事务(读、写))
- 读写锁:上面排它锁,事务1拿到锁后,无论是读还是写,都独占这条数据,其它事务必须等待它执行完所有操作,这样对效率还是有影响的。从而引入读写锁,进一步细化锁的颗粒度,区分读写操作(读读,全是读、读写,有读有写、写写,全是写),让读读之间不加锁,这样两个读事务就可以同时被执行。
- 下图例子中,事务1先抢到锁,执行读操作,此时事务2也是读操作,那么事务2不阻塞,一起执行。然后事务1执行写操作,等待事务2执行完读,事务1将执行写,事务2将被阻塞。
- 也就是说,只能实现读和读的并行(同一时间点,干不同或相同的事),不能实现读写、读读的并行。
- MVCC(多版本控制):上面的方案,仅仅实现读和读的并行,依然是不满足要求的,所以引入了MVCC,我们接下来会详细讲它。
2.2 MVCC(多版本控制)
MVCC:依然是Copy on Write的读写思想,但是MVCC支持读读、读写(写读)的并行。为了保证一致性,写和写的并行是不可以的。也就是说,读和写操作,不会受到影响,可以并行。但两个写操作并行,会无法保证一致性。
- 事务1开始写操作时,会先copy一个写操作之前的记录副本,其它事务读取时,会读取这个副本。
- 也就是用一点空间,换取其它事务不会因为此记录正在被写,而无法读。实现的读写的并行。
如果想要进一步
解决写和写的冲突,可以使用乐观锁或悲观锁,后面会讲。
| 概念 |
|---|
MVCC(Multi Version Concurrency Control,多版本控制),指在数据库中为实现高并发的数据访问,对数据进行多版本处理,通过事务的可见性来保障事务能看到自己应该看到的数据版本。很巧妙地将稀缺资源的独占互斥转换为并发,大大提高数据库的吞吐量以及读写性能。
- 每次事务修改操作前,都会在Undo日志记录修改之前的数据状态和事务号,该备份记录可以用于其它事务读取,也可以进行必要时的数据回滚。
| 实现原理 |
|---|
MVCC实现,读不加锁,读写不冲突。读多写少的系统应用中,读写不冲突非常重要,极大提升系统并发性能。所以现阶段几乎所有关系型数据库都支持MVCC。不过
目前MVCC只在Read Commited(读已提交)和Repeatable Read(可重复读)两种隔离级别下工作
- MVCC中,读操作分为快照读(Snapshot Read)和当前读(Current Read)
- 快照读:读取的是记录的快照版本(可能是历史版本),不用加锁。也就是不加事务的读操作(select)。并且快照读因为不加事务不加锁,在不同隔离级别下,读到的东西也不一样。
- RC(Read Commited)隔离级别:每次读的时候,都会创建一个read build视图,所以如果这时候有其它写事务提交,读到的内容会不一致,就会发生读已提交。
- RR(Repeatable Read)隔离级别:第一次读的时候,创建read build快照视图,后续不会再创建新的快照视图,就返回第一次读的。实现可重复读。
- 当前读:读取的是记录的最新版本,并且当前读返回的记录,都会加锁,保证其他事务不会再并发修改这条记录。就是加事务的读操作,读的时候加锁(select … for update 或 select … lock in share mode,其实insert/update/delete操作也会先进行当前读,然后对读取的记录修改。)
下图中有
一行InnoDB的记录,我们讲一下它的更新过程,会涉及很多小细节,建议背下来。F1 ~ F6是表中字段名,1 ~ 6是其对应数据,后面3个字段是存储引擎自动建立,分别是隐含ID(自动生成的Row_id,一般表没有主键,没有唯一键,就会自动生成一个6位Row_id作为主键,以生成聚簇索引),事务号(每处理一个事务,会自动加一)和回滚指针(就是指向需要回滚时,回滚的版本)
- 假设一条数据刚刚插入,DB_ROW_ID为1,其它两个字段为空。
- 此时事务1要更改这行数据,首先会在Undo log中进行备份,具体步骤如下:
排它锁锁定该行,记录Redo log- 把该行修改前的值复制到Undo log,此时其它读线程可以从Undo log读取快照了。
- 事务1,修改当前行的值,填写事务号,使回滚指针指向Undo log刚刚记录的修改前的行
- 此时事务2也来操作,要执行和事务1一样的操作,那么它会先等事务1释放锁,然后剩下的和上面步骤就一样了,但是,此时Undo log中会有两条记录,并通过指针连在一起,可以通过当前记录的回滚指针回溯到该行创建时的初始内容。
- 当然,事务提交后,并刷新脏页到磁盘,Undo log工作基本完成,这些记录会被工作线程给回收,具体机制,请参考第一章,MySQL架构原理。
3. 事务隔离级别
用于解决更新丢失、脏读、不可重复读、幻读的方案
- 更新丢失:当前事务的更新操作,可能被覆盖,是一定要避免的行为。
- 回滚覆盖,你完成了修改,其它事务与你同时修改,但是它操作失败回滚了,覆盖了你的修改。
- 提交覆盖,你完成了修改,其它事务与你同时修改,它们的修改覆盖你的修改。
- 脏读:读到脏数据,就是其它事务改了,但是还没有提交事务的数据,是必须避免的行为。
- 不可重复读:读到其它事务修改的数据(正常提交事务的),第一次读和第二次读,前后内容不一致,不是重复的。就是第一次select和第二次之间,有其它线程update,导致第二次和第一次select出的结果不一样。没有特定要求,这种行为勉强可以接收
- 幻读:读到其它事务插入的新数据(正常提交事务的),前后数据条目不一致,一般不用避免这种情况发生。
事务隔离级别,是针对支持事务的存储引擎,比如InnoDB,而MyISAM这种事务都不支持,自然没有事务隔离级别。另外,如果你的SQL没有开启事务(begin…commit,或者for update加排它锁,lock in share mode加共享锁等等),也不会进行隔离。
| 事务隔离级别 | 脏读 | 不可重复读 | 幻读 | 更新丢失-回滚覆盖 | 更新丢失-提交覆盖 |
|---|---|---|---|---|---|
| READ UNCOMMITTED:读未提交 | √ | √ | √ | × | √ |
| READ COMMITTED:读已提交(Oracle、SqlServer默认) | × | √ | √ | × | √ |
| REPEATABLE READ:可重复读(MySQL默认) | × | × | √ | × | × |
| SERIALIZABLE:串行化 | × | × | × | × | × |
- 读未提交:解决回滚覆盖类型的更新丢失,但是可能发生脏读,几乎所有系统都是不可接受的。
- 读已提交:解决脏读,但是你的更新依然有可能被其他事务的提交覆盖掉。几乎是可以接受的。
- 可重复读:解决更新丢失,脏读,不可重复读的问题,但是
可能会发生幻读(因为MySQL引入范围锁,很大程度解决了幻读问题,也就是别人insert的数据,你不会读到。但是如果你修改了别人新提交的数据,你还是会发生幻读),大部分系统可以接受。- 串行化:就是排序,强制事务排序,串行执行,解决相互冲突,但是可能导致大量超时和锁竞争现象,效率低下。
3.1 隔离级别和锁
事务隔离级别是SQL92定制的标准,是事务并发控制的整体解决方案。本质是底层锁和MVCC的封装,隐藏底层细节
- 锁是数据库实现并发控制的基础,事务隔离性采用锁实现,对不同操作加不同锁,防止事务之间的冲突
- 用户使用时,之间使用事务隔离级别即可,当选用的隔离级别无法解决并发问题或需求时,才有必要在开发中手动设置锁。
| 隔离级别 | 锁(S共享锁/X排它锁) |
|---|---|
| READ UNCOMMITTED:读未提交 | 读操作不加S锁 |
| READ COMMITTED:读已提交 | 读操作需要加S锁,但是查询语句执行完以后,立刻释放S锁 |
| REPEATABLE READ:可重复读(MySQL默认) | 读操作需要加S锁,但是事务提交之前并不释放S锁,必须等事务结束才释放 |
| SERIALIZABLE:串行化 | 在REPEATABLE READ的基础上,添加一个范围锁,保证一个事务在两次查询时结果完全相同 |
3.2 隔离级别控制
查看默认事务隔离级别
show variables like 'tx_isolation';
select @@tx_isolation;
设置事务隔离级别
# 不加global只针对当前窗口有效,global是全局生效,但是当前窗口无效,需要再执行一次不加global的。
set [global] tx_isolation='READ-UNCOMMITTED'
set tx_isolation='READ-COMMITTED'
set tx_isolation='REPEATABLE-READ'
set tx_isolation='SERIALIZABLE'
4. 锁机制
InnoDB引擎中,
select语句默认不加锁,查询时不受锁的影响,因为MVCC机制,可以直接读取Undo Log的副本。如果需要加锁可以通过关键字for update追加排它锁,通过lock in share mode追加共享锁。而update/delete/insert操作会自动加for update
4.1 锁分类
从操作粒度可分为表级锁、行级锁、页级锁
- 表级锁:每次操作,会锁住整张表。锁粒度较大,发生锁冲突概率较高,并发度是三种锁最低的,MyISAM、BDB、InnoDB都支持。
- 行级锁:每次操作,锁住要操作的一行数据,锁粒度最小,发生锁冲突概率最低,并发度最高,InnoDB引擎支持。
- 页级锁:每次操作,锁住相邻的一组记录,锁定粒度、开销和加锁时间,都界于表锁和行锁之间,并发度一般,在DBD存储引擎中应用。
从锁的操作类型,分为读锁和写锁。
- 读锁(S锁,共享锁):针对同一份数据,多个读操作可以同时进行而不会互相影响。
多个共享锁可以共享这条记录,当事务1给记录添加S锁后,只能读不能写,其它事务可以对该记录追加S锁,但是不能追加X锁,只能等S锁全部释放。- 写锁(X锁,排它锁):当前操作没有完成之前,会阻断其它写锁和读锁。
一个记录同时只能有一个排它锁使用,共享锁也不可追加。事务1对记录加排它锁后,可以进行读写操作,其它事务不可以追加任何锁,只能等事务1的排它锁释放。- 意向读锁(IS锁)/意向写锁(IX锁):IS、IX和S、X锁的区别是,S、X是针对行级的行级锁,IS、IX是针对表级的。
在对表记录添加S或X锁之前,会先给整张表添加IS或IX锁,避免其它事务也对这行记录同时加行锁,加完S或X锁后,会释放IS或IX锁。从操作的性能可分为乐观锁和悲观锁
- 乐观锁:乐观的认为我操作过程中,不会发生冲突。简单的说就是不加锁,用其它方法保证数据一致性。一般实现方式为:对记录数据版本进行比对,在数据更新提交的时候才会进行冲突检测,如果冲突了,则提示错误信息。
- 悲观锁:悲观的认为我操作过程中,一定发生冲突,所以修改数据之前,为了避免同时被其它人修改,会先锁定,然后再修改。
共享锁和排它锁都属于悲观锁的具体实现。
4.2 行锁原理
请一定要注意行锁的使用,并发场景下,如果要使用行锁,一定要保证索引的存在。比如where name = ‘java’。如果name没有索引,那么只要加锁,就会锁定整张表。并发量高的话,很可能就会将数据库服务器给爆破了。
另外,经过测试,没有命中索引会锁表,但是如果记录不存在,不会锁表。
InnoDB引擎中,我们可以使用行锁和表锁,行锁又分共享锁和排它锁,
InnoDB行锁是通过对索引数据页上的记录加锁来实现,主要实现算法有3种:Record Lock、Gap Lock、Next-key Lock。这3种不是具体的锁种类,而是实现算法,比如我们说Record Lock锁,它的意思是,一个锁住指定一行记录的共享锁或排它锁
- RecordLock(记录锁):锁定单个行记录的锁。RC(Read Committed)和RR(Repeatable Read)隔离级别都支持
- GapLock(间隙锁、范围锁):锁定索引记录间隙,确保索引记录的间隙不变。RR隔离级别支持。假设有(1,3,5)三条数据,我们对3加间隙锁,它不但会锁住3,还会锁住(1,3)之间的间隙,和(3,5)之间的间隙,不可以破坏这个间隙,比如从(1,3)中间插入一个(2),是不允许的。
- Next-key Lock(记录锁+范围锁):行锁和间隙锁的组合,同时锁住数据和数据前后范围。RR隔离级别支持。
在RR(Repeatable Read)隔离级别下,支持上述三种算法。InnoDB对于记录加锁行为都先采用Next-Key Lock,但是当SQL操作
含有唯一索引时,会对Next-key Lock优化,降级为RecordLock锁,仅锁住索引本身而非范围。具体细节,看下面的例子
- select…from :普通select,InnoDB不加锁。因为采用了MVCC机制实现非阻塞。
- select…from lock in share mode:追加共享锁的select,InnoDB会使用Next-Key Lock共享锁进行处理,如果扫描发现是唯一索引,可以降级为RecordLock锁
- select…from for update:追加排它锁的select,可以理解为开启了事务的select,InnoDB会使用Next-Key Lock排它锁进行处理,如果发现是唯一索引,可以降级为RecordLock锁
- update/delete…where:直接用Next-Key Lock排它锁进行处理,索引唯一,可以降级为RecordLock排它锁
- insert : 直接对要插入的那一行,设置RecordLock排它锁。
下面以“update t1 set name = xxx where id = 10”操作为例,分析InnoDB对不同索引加锁行为,以RR(Repeatable Read)隔离级别为例。
- 主键加锁:假设id是主键
首先,update操作,是加Next-Key Lock排它锁,此时发现id是主键,是唯一的,可以降级为RecordLock排它锁,最终,这个
RecordLockX(排它)锁只锁住了id=10的这一行记录。
- 唯一键加锁:假设id是唯一键
首先,底层索引树会有两个,一个是唯一键的,还有就是主键索引树(聚簇索引)。那么同样update,要加Next-Key Lock排它锁,此时发现是唯一键,可以降级为RecordLock排它锁。
最终会将两颗索引树id = 10的记录锁住(RecordLock排它锁,先唯一键索引树,然后主键索引树)。
- 非唯一键加锁:假设id是非唯一的键
首先同样的,两颗索引树,update操作加Next_Key Lock排它锁,找到两个id = 10的记录,会将记录本身和间隙锁住,此时(6,10)、(10,10)、(10,11)之间的间隙关系不可改变,锁完非唯一键索引,再锁聚簇索引的行记录,发现是唯一的,给聚簇索引的锁会降级为RecordLock排它锁。
最终会锁住非唯一键索引的记录和范围(Next_Key Lock排它锁),以及聚簇索引的记录(RecordLock排它锁)
- 无索引加锁:假设id字段没有索引
没有索引,update操作,加Next-Key Lock 排它锁,会对整个表的行记录和间隙加锁,相当于直接加了表锁(
整张表加锁,其它任何事务操作都会阻塞,只有普通select走MVCC搞出来的副本,不会阻塞)。因为我们前面说过,InnoDB锁机制的记录锁定实现,是基于索引的。
4.3 悲观锁(Pessimistic Locking)
指在数据处理过程中,将数据处于锁定状态,一般使用数据库锁机制来实现。广义上,前面的行锁、表锁、读锁、写锁、共享锁、排它锁等都属于悲观锁范畴。
| 表级锁 |
|---|
每次操作都会锁住整张表,并发度最低,常用命令如下:
- 手动增加表锁
- read:当前连接为整张表加读锁,整张表将只能执行读操作,当前连接和其它连接都可以执行读操作。对于写操作的情况:当前线程(连接)虽然可以执行update等DML命令进行写操作,但是会直接报错,提示当前表有读表锁,不可修改。其它线程(事务)的写操作会直接阻塞,等待表锁释放。
- write: 当前连接为整张表加写锁,整张表排它,只有当前事务(连接)可以执行操作。其它事务所有操作都将阻塞。
- 通俗来讲,为表加读锁,会阻止所有写操作。为表加写锁,会阻塞除当前连接外,所有其它连接的操作(无论读还是写)。当前连接不受影响,可以执行任何操作。
lock table
tablename1 # 表级锁分read读锁和write写锁
read|write[, # 可以同时给多个表加表级锁
tablename2
read|write,
...
read|write];
- 查看表上的锁
show open tables;
- 删除表锁
unlock tables;
| 行级锁 |
|---|
和表锁一样,也分读锁和写锁,区别是行级锁只锁一行记录,处理并发能力强。
行级锁的实现依靠其对应的索引,如果操作没用到索引,会锁住全表的记录。
- 共享锁(读锁,S锁):只能适用于查询语句,通过select语句后面跟关键字
lock in share mode来使用共享锁。多个事务可以对加共享锁的数据追加共享锁,都可以执行读操作,但是都不能修改。- 排它锁(写锁,X锁):SQL语句后面跟
for update关键字,就可以给操作的对象加排它锁(InnoDB引擎默认给update,delete和insert加上了for update,但是select如果需要排它锁,必须后面手动跟上for update关键字)。加了排它锁后,就不可以再追加任何锁(不能与其它锁共存,而且排它锁就一个),一个事务获取了一个数据行的排它锁,其它事务就不能对该行记录做其它操作,也不能获取该行的锁。直到这个锁被释放。请一定要注意行锁的使用,并发场景下,如果要使用行锁,一定要保证索引的存在。比如where name = ‘java’。如果name没有索引,那么只要加锁,就会锁定整张表。并发量高的话,很可能就会将数据库服务器给爆破了。
4.4 乐观锁(CAS)
不是数据库提供的功能,需要开发者自己实现。乐观的认为这次操作,不会冲突,因此数据库操作时,不做任何处理,即不进行加锁,而是在进行事务提交时再去判断是否有冲突。
因为不涉及锁,所以处理并发的能力非常高,在高并发场景,乐观锁的使用比悲观锁要广泛。
实现原理
- 使用版本字段(version)实现:给数据表增加一个版本version字段,每操作一次,版本号进行加1。提交事务前先记录版本号,如果操作过程中,其它事务进行操作,导致版本号发生改变,当前事务提交时,就会发现版本号不一致,从而进行相应的处理。
会发生ABA问题,比如一个线程读到了A这个版本号,另一个线程改为B,然后又改为A,那么对于第一个线程,版本号没有问题,提交后,就会出问题。所以使用版本号这种方案,必须配合一些原子的操作,比如只能每次+1,保证+1过程是线程安全,不让它们自由修改版本号。
- 时间戳(Timestamp)实现:和version类似,同样给表加一个字段,类型使用timestamp时间戳,提交前先检查数据库中时间戳,提交时,再获取一次时间戳和自己提交前记录的比较,不一致就说明有冲突。
4.5 死锁
死锁的原因永远都是,哥俩互相想要对方资源,但是谁都不想先放手,结果一直僵持在那,死在那。
MySQL中,发生死锁不会就一直在那里阻塞,而是会直接报错Deadlock
1.表锁死锁
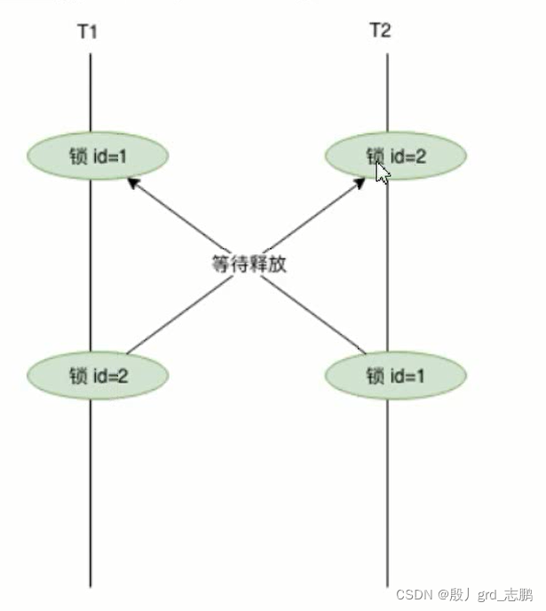
- 当用户A访问表A(锁住表A),然后又访问表B,另一个用户B访问表B(锁住表B),然后想访问表A。此时A用户想要访问B表,但是B用户对B表加了锁,正在访问表A,结果因为表A被用户A加了锁,访问不了,无法释放表B的锁。A用户也因为想要访问表B而无法释放表A的锁。哥俩只能死在那。产生了死锁。
- 解决方法很简单,让哥俩按顺序执行,比如永远先A后B。必须同时锁定两个资源时,要保证任何时候都按照相同的顺序来锁定资源,也就是保证A访问B表时,B没有锁定B表。
2.行锁死锁
- 如果事务中执行没有索引条件的查询,引发全表扫描,将行级锁上升为全表锁住(等价于表锁),此时因为程序中可能无法预估所有情况,很容易发生死锁和阻塞。导致系统崩溃。
- 解决方案,就是不要让它把整个表锁住,还能怎么办?不要使用加锁的太复杂的多表联查,用explain命令对sql执行计划进行查看,看看是不是全用了索引。
- 另一种情况就是上面表锁死锁的情况,锁住第一行记录,想操作第二行,第二个用户锁住第二行记录,想操作第一行,就死了。
- 解决方案,也是改代码,改业务逻辑,这种死锁都是逻辑问题产生的。
3. 共享锁转换为排它锁
- A查询一条记录,然后更新该条记录,B也更新该条记录,此时B的排它锁由于A有共享锁,需要等A释放,只能排队等着。A执行更新操作时,就会发生死锁,因为A需要这个排它锁来更新,但是请求不到这个锁,因为B有一个排它锁请求,正在等待A释放共享锁。
- 解决方案:避免同时对同一条记录的多次操作,比如登录页面,登录按钮等控件,点击完立刻让它失效,不要让用户重复点击。或者使用乐观锁避免长事务中数据库加锁开销。不过乐观锁不够安全,可能有外部系统的用户更新操作不受我们系统的乐观锁控制,造成脏数据被更新的数据库。
| 死锁排查方法 |
|---|
1. 死锁日志
- 通过命令show engine innodb status \G;显示InnoDB的状态,从LATEST DETECTED DEADLOCK选项中可以看到死锁相关的日志信息
2. 查看锁状态的变量- 通过命令show status like 'innodb_row_lock%'命令查看相关命令,分析系统中行锁的争夺情况。如果等待次数很多,每次等待时间也长,那么可能就需要优化了。
1. Innodb_row_lock_current_waits:当前正在等待锁定的数量
2. Innodb_row_lock_time:从系统启动到现在锁定的总时长
3. Innodb_row_lock_time_avg:每次等待所花费的平均时间
4. Innodb_row_lock_time_max:从系统启动到现在等待最长的一次所花时间
5. Innodb_row_lock_waits:系统启动后到现在总共等待的次数
本文深入探讨MySQL事务的ACID特性,包括原子性、一致性、隔离性和持久性,并详细阐述了并发控制中的MVCC机制。介绍了四种事务隔离级别及其对并发问题的解决方案,以及锁的分类、行锁原理和悲观锁与乐观锁的概念。同时,讨论了死锁问题及其排查方法。























被折叠的 条评论
为什么被折叠?



